Page image
Page image
Page image
Page image
Page image
Page image
Page image
Page image
Page image
Page image
Page image
Page image
Page image
Page image
Page image
Page image
Page image
Page image
Page image
Page image
Page image
Page image
Page image
Page image
Page image
Page image
Page image
Page image
Page image
Page image
Page image
Page image
Page image
Page image
Page image
Page image
Page image
Page image
Page image
Page image

E.—No. 7.

SIXTH ANNUAL REPORT ON THE WORKING AND PROGRESS OF THE NEW ZEALAND TELEGRAPH DEPARTMENT

PRESENTED TO BOTH HOUSES OF THE GENERAL ASSEMBLY, BY COMMAND OE HIS EXCELLENCY. WELLINGTON. 1870.

E.—No, 7

SIXTH ANNUAL REPORT OP THE TELEGRAPH DEPARTMENT, NEW ZEALAND.

Office of the Commissioner of Telegraphs, g IE _ Wellington, July 30th, 1870. I have the honor to submit to your Excellency a Report as to the operations of the Telegraph Department of New Zealand during the year ending 30th June, 1870, being the Sixth Annual Eeport on the subject. I have, &c , Julius Vogel, His Excellency Sir George Eerguson Bowen, K.C.M.G. Commissioner of Telegraphs. Governor of New Zealand. » —

EEPOET. Satisfactory progress has, during the year, been made in extending the telegraph in the North Island ; and the Tokomairiro to Queenstown (Lake Wakatipu) section having been purchased from the Provincial Government of Otago, the system throughout the Colony is now wholly under the control of this Department. The uniform charge of 2s. 6d. for an ordinary telegram of not more than ten words, irrespective of distance, has been reduced to Is. ; a similar reduction has been made on Provincial Government messages; and the Press Telegram rate has also been greatly reduced. It need only be said here, that the policy of such reductions has been proved to be a sound one; and that most complete details as to the results of the change will be found in other parts of this report, and in the valuable tables comprised in the Appendix. A system of Telegraph Money Orders has been established. It bids fair to be most useful ; but it has not been in operation for a sufficient time to warrant the expression of a definite opinion. EXTENSION OF LINES. During the past year, some of the lines in course of construction at the close of the financial year 18G8-9 have been completed. They are as follow : — Wellington Jo Wanganui and Patea. The length of this line is 180 miles, namely—"Wellington to "Wanganui, 140 miles ; "Wanganui to Patea, 40 miles. The poles between Manawatu and "Waikanae, on the Wellington and "Wanganui section, were supplied by Natives ; the remainder were supplied, under contract, by Mr Bull, of Rangitikei. The line between Rangitikei and the foot of the Paikakariki was erected by the Natives, under the supervision of Mr. Blake, Inspector, and two linemen. The other portions of each section were completed, under contract, by Mr. O'Malley, the late contractor for the Tenuiand Napier line. All the poles on this line are of heart of totara, and it is not anticipated that, except from casualties, any very heavy outlay for maintenance will be required for many years. Stations have been opened at Otaki, Marton, Wanganui, and Patea, all in connection with the Post Office, except at Wanganui. It is intended hereafter to open a station at Foxton, the line having, with that object, been diverted from the sea coast. The total cost of the line has been £10,093 12s. 3d., or equal to £56 Is. 6d. per mile. Puller particulars of the cost of construction will be found in Table A. Great delays were experienced at first in the works, between the Waikanae and Ohau Rivers, through the unwillingness of the Natives to allow the line to be erected. That unwillingness was however happily overcome by the assistance of the Hon. Dr. Peatherston, the Superintendent of the Province. Hamilton to Cambridge. The old Military line between Newcastle and Alexandra having become much decayed, it was thought advisable to carry the line from Hamilton to Cambridge (twelve miles), and to repair that portion of the old line between Cambridge and Alexandra. This has been done ; telegraph communication is maintained with Alexandra via Hamilton and Cambridge; and the old Military line between Newcastle and Alexandra has been dismantled. The cost of the twelve miles of new line between Hamilton and Cambridge is included in that of reconstructing the line from Auckland to Newcastle.

REPORT ON THE WORKING OE

E.—No. 7

IV

Auckland to Newcastle, This section of the Waikato line has been entirely reconstructed during the year. Two wires have been run as far as Mercer on the new poles, in order to give increased accommodation when telegraph communication is open with the Thames. Totara posts have been used throughout in the reconstruction of this section ;in fact, from Auckland to Cambridge, the poles are all totara The cost of the reconstruction to Newcastle, including the additional wire from Auckland to Mercer, and the twelve miles of new line to Cambridge, has been £3688 13s. lid ,or equal to £44 19s. Bd. per mile. Further details will be found in Table A. Lines in Coitese oe Constetjction. Mercer to the Thames. This line has been completed from Mercer to Pukorokoro, and from the station at Grahamstown to Piako. Should no unforseen difficulties occur, communication between Auckland and Grahamstown will in all probability be completed by the middle of July.* Taupo Line. This line extends from Napier to Tapuaeharuru, a distance of ninety miles, and is all but completed. The great difficulties in procuring poles, and in conveying the wire and insulators to the line of route, have considerably retarded the progress of the work. There is, however, every reason to believe that Wellington will be in telegraphic communication with Tapuaeharuru by the first week in July, as at the time of closing this report the construction of the line was completed to within two miles of Tapuaeharuru. The construction of this line is under the supervision of Mr Bold. Tapuaeharuru to Tauranga, via Maketu. The contract for supplying and delivering poles on this line has been let, and is being rapidly proceeded with. All the material for the wiring has been landed at Tauranga and Maketu. Eight miles, commencing at Tauranga, have been erected, and it is expected that the line will be finished by the end of July. It is intended to open a station at Tauranga, and a lineman's station half-way between Tauranga and Tapuaeharuru. The posts are all to be of totara. The works have been placed under the charge ot Mr Walter Blake. The estimated length of the line is between 100 and 110 miles. Alexandra (Otago) to Naseby. At the request of the Provincial Government of Otago, preliminary operations have been commenced on this line. The survey was completed some time since, and the contract for the supply and delivery of poles (all heart of totara) has been let to Mr G. Proudfoot. The line, after leaving Alexandra, will pass by the township of Blacks, cross the Manuherikia at Beck's, run through the township of Hill's Creek and thence along the main road to Naseby. Owing to the great distance whence poles had to be obtained aud as carting them would have to be done during the most inclement season, it was thought advisable to make the contract time as long as possible, and thus to lessen the cost. Should the material ordered from England arrive in time, however, it may be hoped that Dunedin will be in telegraphic communication with Naseby by the end of October at latest. Maintenance and Repaies. Bluff to Balclutha. Bluff Harbor to Invercargill (twenty miles). The insertion of new poles, all of totara, will shortly be commenced, a contract for the supply and delivery of such poles along the line having been let to Messrs. Driver, M'Lean and Co., lessees of the Southland Railway. It was thought advisable not to call for tenders for this work, as whoever might have obtained the contract would have been compelled to use the railway for delivering the poles. From Invercargill to Balclutha, the poles have been lowered, new ones put in whore necessary, and the route altered in some places. This section will probably not require new poles for two or three years, but none of the poles recently lowered can be expected to last for more than three years from the present time. A station will shortly be opened at the Mataura, about half-way between Invercargill and Balclutha, which, apart from the accommodation it will afford to the public, will be most valuable in cases of interruption on the line. Balclutha to Waitaki. The Balclutha to Waikouaiti portion of this section has been entirely renewed with totara poles and a third wire has been run from Dunedin to Tokomairiro, in order to give Dunedin direct circuit with the gold fields line. Important alterations have been made in the route, by which the stability of the line has been greatly improved, and its length considerably reduced, thus materially lessening the cost of future maintenance. From Waikouaiti to the River Waitaki, the line is now being thoroughly examined and repaired, and this work will probably be completed in a few months. Waitaki to Christchurch. Between the Waitaki and Rakaia Rivers, the line has been thoroughly overhauled, and is now in very fair condition. From the Rakaia to Christchurch, new poles of totara have been inserted and this portion of the line may be considered nearly equal to new. A post and telegraph station will shortly be opened at Waimate, between the Waitaki and Timaru; tenders for the erection of buildings havine been advertised for. ° 5 ♦Communication was completed on the 27th of July.

H.—No. 7

THE TELEGRAPH DEPARTMENT.

V

Christchurch to Hokitika and Greymouth. From thirty miles east of Hokitika to Greymouth, this line has undergone extensive repairs, and is now in excellent condition. The section between the Bealey and Christchurch may require to be poled during next summer. One or two severe casualties have happened on the Bealey to Hokitika section during the last few months; but otherwise the maintenance of the line has been within the ordinary cost. Occasionally this line does not work well, owing to the presence of atmospheric electricity on the wire. The line for the most part runs over very high country, and its general direction is east and west. Greymouth to Westport. This section has been several times injured by falling trees ; but, except in repairing such or similar damages, only ordinary expenditure has had to be incurred. But little deterioration is apparent, and, apart from it, the section seems in as good condition as when it was opened. Christchurch to Blenheim. From Christchurch to Woodend, fourteen miles, has been re-poled, thus completing the reconstruction commenced by Mr. Blake, in IS6B. From Woodend to Blenheim, little beyond cost of maintenance has been required. At the River Waiau, floods have frequently caused accidents, such as it is hoped have now been rendered almost impossible ; the line having been secured by an iron-tube pole, driven twenty feet into the shingle bed of the river. Details of the cost of maintenance, including reconstruction between Christchurch and Woodend, are stated in Table L. Blenheim to Nelson. From Blenheim to Picton fourteen miles of new totara poles have been erected, and the wires have been thoroughly repaired. The Picton to Nelson section has not required repair. The reconstruction of the portion between Havelock and Nelson was completed shortly after the date of the last report. A short distance, between Picton and Havelock, will require to be re-poled during the summer. This part of the line being very difficult of access, it is intended in the reconstruction to use built poles, of picked heart of totara. Such poles do not cost more than 12s. each, and being extremely light they are eminently adapted for places where it would bo almost impossible to use ordinary poles. Tokomairiro to Queenstoion. On December Ist, 1869, this line was bought from the Provincial Government of Otago ; and the transference of the telegraph throughout the Colouy was thus completed. The price was settled by arbitration ; Mr Logan acting for the Provincial Government, and Mr Bird for the General Government. The price as settled for the line, buildings, instruments, &c. was £2,384 2s. 6d. New material imported by the Provincial Government, including 1,120 iron poles, was taken over at invoice price, with charges added (£2,047 18s. 10d.), making the total purchase money £4,432 Is. 4d. Owing to the bad condition of the lino, immediate reconstruction was deemed advisable, and is now being carried out under the supervision of Mr Logan, the iron poles being used. Up to date, the work has been carried as far as Alexandra. Wellington to Napier. The casualties on this section during the year have been very few. One great source of trouble, the falling of trees on the line in the Tauera Bush, has been removed ; the lineman having, in the course of the summer, cut down all doubtful trees that would, by falling, have been likely to cause injury. The cost of this work has been amply repaid, no interruption having since occurred in the bush. At the Hutt River two large poles have been erected, and the one on the Wellington side (because of the constant encroachment of the river) has been placed some chains back from the bank, and may now be regarded as out of danger. The station at Castle Point has been converted into a lineman's station. The arrangement answers well and saves at least £150 per annum. At the Hutt, a station has been opened and the duties of Telegraphist and Postmaster are performed by one officer. Details of the expenditure for the maintenance of each section, will be found in Table L. Cook Steait Cable. The tests for insulation have been more regularly taken this year than they were last year. Nos. 1 and 3 wires, as will be seen from Table M, still give satisfactory results ; but No. 2 is not so. good as could be wished. Miscellaneous. Six complaints by the Public have been recorded during the year, namely : —Three, of late delivery ; one, of breach of confidence; one, of wrongly taking down; one, of failing to deliver a message. Each complaint was strictly enquired into, and measures were taken to avoid cause for similar complaints. The number of telegrams transmitted during the year was 185,423. Considering this large amount of work, it may fairly be said that the duties of the staff have been very satisfactorily performed. Owing to the rapid extension of the Telegraph in the Northern Island, and to the general requirements of the service, the Learners' Gallery has been fully occupied during the year. Eighteen Cadets have been instructed and have been appointed either to fill vacancies caused 'by the opening of new stations or to enable the General Manager to provide for contingencies. During the current year, only a few such appointments may be made ; their number depending to a large extent upon future extension of lines. 2

E.—No. 7

REPORT ON THE WORKING OF

VI

Arrangements have been completed for the reception of telegrams at the Post Offices throughout the Colony; forms and envelopes being procurable at each office. The messages are sent through the Post Office free to the nearest Telegraph Station ; but each telegram must be prepaid by postage stamps affixed. As the arrangement only came into force on the Ist June, no statistics are available ; but there can be no doubt that it will be a great'boon to residents out of the reach of a telegraph station. In the event of a telegram not being sufficiently stamped, the deficiency is collected on delivery. On the 15th of June, a system of Money Order Telegrams was instituted. The money part of the transacrion is completed by the Post Office, this Department simply telegraphing the respective orders and advice. The arrangements are such as not to interfere in any way with existing money order regulations. The public have already largely availed themselves of this privilege —a very great one, in all cases in which the saving of time in the payments of small sums is of importance. Table K. contains a statement of the number of telegrams and of letters despatched within each Province during the year, as compared with the totals for each of the previous two years. It will be seen that the per centage of telegrams to letters shows a large increase during last year. Financial. On the Ist of September, 1869, a uniform rate of charge for ordinary and Provincial Government telegrams was established, namely —2s. Od. for the first ten words, for any distance, and 6d. for each additional five words, or fraction of five words ; Press telegrams being charged, for the first ten words, Is. 6d., and for each additional ten words, or fraction of ten words, 6d. On the Ist April, 1870, a further reduction was made to —Ordinary and Provincial Government telegrams, Is. for the first ten words, for any distance, and 6d. for each additional five words, or fraction of five words ; and Press telegrams, 6d. for the first ten words, and 6d. for each additional fifteen words, or fraction of fifteen words. The charge for the signature of the serdcr of Press telegrams was at the same time discontinued. From table B, it will be seen that the total number of telegrams despatched during the June quarter under the the Shilling Tariff, shews an increase of 22,565 over those during the previous quarter under the half-crown tariff', whilst the cash receipts show a decrease of £101 17s. 6d. Thus the public was largely benefiited by the reduction, the Department doing nearly double the amount of work, and the Government receiving £100 less revenue. It cannot,' however, bo doubted, that as telegraphic facilities are extended —especially by the opening through to Auckland —and as the advantages of a general use of " the wires" come to be appreciated, the reduction of charges will prove a gain to the revenue as well as a great boon to the community. The details furnished last year of the total number of telegrams of each code, and the receipts for each, will be found repeated in Tables C, D, E, F, H. The table shewing the total value of business, the total cash receipts, and the cost of maintenance of each station (G) will be found to be interesting. The number of telegrams of all codes transmitted during the year was 185,423, or an increase of 29,256 on the number (156,167) during 1868-69. This increase is, to some extent, due to the work performed on the old provincial lines, and to the opening of new stations —-but it is mainly attributable to the increased facilities given to the public by the reduced charges. Tho immediate effect of the reduction was well shewn by the fact that during April (the first month it was in force), the users of the telegraph for private purposes were 1333 in excess of those during March. The total cash revenue of the line from Bluff to Napier, including the Patea line (Table .) I, amounts to £16,799 18s. Id. ; the totA value of business done during the same period being £28,233 2s. 6d. After deducting tho cost of maintenance of stations (£14,745 12s. Bd.), and of maintenance and reconstruction of lines (£12,392 13s. 5d.) this leaves a balance of £1,094 16s. sd. to the credit of this portion of the line. The returns of the Auckland line, treated in the same way (Table J.), shew an excess of expenditure over receipts of £2,1(32 Is. 3d. ; but after deducting the amount to the credit of the Bluff, Napier, and Patea line (£1,094 16s. 5d.), there remains only £1,067 4s. lOd. to the debit of the Department. At least £6,000 of the cost of maintenance of Southern lines might, however, be fairly charged to construction, so that there might be said to remain a balance to the credit of the Department of close on £5,000. The total cash receipts of both lines is £17,218 Is. 4d. ; and the total value of business done £29,470 7s. 4d.—(Tables I. and J.). Considering the depressed state of the colony during the year, the prospects of the Department may be regarded as encouraging, and it can confidently be said that the public fully appreciate the advantages resulting from the reduction of charges, by which the telegraph is made a means of convenience usable by all, instead of a luxury, or a costly necessity in cases of emergency.

THE TELEGRAPH DEPARTMENT.

VII

EL—No. 7.

PRE-PAYMENT FOR TELEGRAMS, TO GREAT BRITAIN AND OTHER COUNTRIES. MEMOEANDUM FOB HIS EXCELLENCY THE GOVEENOE. The Commissioner of Telegraphs respectfully requests His Excellency to move the Secretary of Sate for the Colonies to communicate with the Post Office and Telegraph authorities at Home, with the view of ascertaining whether some facilities cannot be afforded for the receipt and transmission of Telegrams to or from the Mother Country. The Commissioner believes that very extensive use would be made of the Telegraph, if persons could feel assured that, without the necessity for writing to a' special or other correspondent in each case, Telegrams would be conveyed to the nearest port in Great Britain or a Colony, and be thence at once forwarded to their respective destinations. Such an arrangement would be especially valuable to New Zealand, which may be entered at so many different ports, from so many different points. It has been the object of the New Zealand Government to enable residents in other countries to forward Telegrams to the Colony, through the nearest station to be thence transmitted to their destinations. To effect this purpose, three things are necessary:—1. That the rates of charge should be generally known. —2. That a convenient means of paying for the Telegrams should be afforded. —3. That separate Post Bags containing such Telegrams should be made up, and be forwarded to the nearest Telegraph Station in New Zealand, for tranmission to their destination. On the other hand, it would doubtless be a great convenience to residents in the Colonies, if bags of Telegrams could, in a similar manner, be sent to Great Brtiain, under an arrangement for their delivery to the telegraphist at the nearest station, and for their being duly transmitted thence. The Commissioner for Telegraphs suggests —That the rates of charge for telegraphic messages within Great Britain should be made known in New Zealand, andthat New Zealand stamps should be declared receivable as payment of telegraphic charges; such stamps, uncancelled, to be returned to the Colony, and payment to the amount of the same to be made by the Colonial Government. In the same way, the Colonial Government would be willing that telegrams from Great Britain for any part of the Colony, should be paid for in English stamps, if the English authorities would agree to refund to the Colony the amount of such stamps on their being forwarded home uncancelled. The English Post Office authorities should also agree to make up a special bag of telegrams, as already described. The Commissioner ventures to suggest, that it would be a very great boon, and very greatly calculated to promote interchange of communication throughout the world, if the Imperial authorities would endeavour to arrange with all countries possessing interior lines of telegraph, for the affording of such facilities as are herein proposed ; and the Commissioner thinks that the matter would be a simple one, as regards any country in which postal or other stamps are used. The Commissioner encloses herewith copies of the rates of charge adopted in New Zealand, together with forms for the transmission of messages. It would not, however, be necessary that those forms should be used or adhered to in carrying out the plan proposed. It would be well that the authorities at home should be asked to state whether they would make it a condition of entering into an arrangement, that the authorised English forms should be adopted ; and if so, the authorities should be requested to send out to the Colony a considerable supply of such forms. JULIUS VOGEL.

THE TELEGRAPH DEPARTMENT.

1

E.—No. 7.

Table A. TOTAL COST of the LINES of TELEGRAPH throughout New Zealand, and of the COOK'S STRAIT CABLE

Section op Line. =+« a o.9 M CO r3 Cost of Clearing Bush. Total Cost of Poles for Section, including Delivery. Cost of Wire Arms, Insulators, &o. including Cartage. Cost of Erection. Total Cost of Section. Cost per Mile. Bluff to Invercargill... Invercargill to Mataura Mataura to Waitaki... W raitaki to Hurunui... Hurunui to Nelson ... White's Bay Line Port Chalmers Christchurch to Greymouth... Greymouth to Westport Blenheim to Woodend,reconstruction, including White's Bay line (194 miles) Tokomairiro to Queenstown. . 19 32 189 218 241 7 8 176 67 £ s. d. 1,229' 3 3 £ s. d. 1,199 0 0 8,353 18 0 6.554 8 8 5,213 14 0 £ s. d. 739 1 4 3,034 7 9 3,427 13 6 3,953 3 4 £ s. d. 812 15 6 469 11 0 1,720 13 3 3,760 19 0 3,661 6 0 503 12 6 800 0 0 3,808 0 0 3,019 17 9 £ s. d. 812 15 6 2,407 12 4 13,108 19 0 13,743 1 2 14,057 6 7 503 12 6 800 0 0 3,808 0 0 7,002 17 0 £ s. d. 42 15 6a 75 4 9 69 7 0 63 0 71 58 6 0c 71 18 lid 100 0 Oe 21 12 9/ 104 10 5> 1,951' 7 6 1,070 16 5 960 15 4 140 100 0 0 5,136 12 5 2,022 15 4 3,484 12 0 4,432 1 4 10,743 19 9 4,432 1 4 55 7 7 31 13 2h Total Middle Island... 1,097 3,280 10 9 27,528 9 6 14,137 16 7 26,473 8 4 71,420 5 2 65 2 li Lyall's Bay to Wellington ... Wellington to Patea via Wanganui Wellington to Masterton Masterton to Castle Point ... Castle Point to Porangahau... Porangahau to Napier Auckland to Cambridge, via old line to Alexandra, including branch line to Hamilton ... Auckland to Newcastle, recon struction 70 miles, including new line from Hamilton to Cambridge, 12 miles 4 180 59| 35f 53 68 67 18 6 264 4 6 22 15 1 176 9 4 74 0 0 123 5 0 4,647 12 7 2,362 10 0 2,459 15 6 104 6 0 2,315 9 5 839 4 4 388 18 6 722 18 6 918 9 8 57 15 0 3,062 11 9 2,357 6 3 1,267 9 1 1,105 16 10 1,252 10 2 285 6 0 10,093 12 3 3,460 15 1 1,679 2 8 4,367 14 8 4,704 15 4 71 6 0 56 1 etc 57 18 4Z 46 19 61 82 8 2m 69 3 9m 152 3,256 0 0 3,256 0 0 21 8 5» 1,393 14 6 841 15 9 1,453 3 8 3,688 13 11 44 19 8 12 Total North Island ... Total Middle Island... 5641 1,097 605 7 5 3,280 10 9 10 986 17 7 27,528 9 6 6,131 2 2 1-4137 16 7 13,812 12 9 26,473 8 4 31,535 19 11 71,420 5 2 55 17 4o 65 2 li 1,6611 3,885 18 2 38,515 7 1 20,268 18 9 40,286 1 1 102,956 5 1 61 19 4p look's Strait Cable, including freight from London, and expense of laying... 'otal Expenditure (exclusive of lines in progress. 29,864 0 0 132,820 5 1 Total number of miles of Line, 1661 \ ; tot! Government, b Includes £ Purchased from private firm, and cost of maintenance guar; )47 18s. lOd. for new materia one by Waipukurau and Wai route), t Supply of Poles ai ection. n Of this amount £2 ? cost of extension from Ngan id. p Total average cost per tal number of miles of Wire, 2897. a Purchased from Southland d Approximate cost of Poles, &e. e cert, and difference between receipts : Government; total cost includes £20 cost of exploration of three routes ; ( Wellington and Wanganui (present ] and supervision included in cost of ore of the line; the balance, £980, is the o Average cost per mile, North Islan £450, purchase of Lyttelton line, c Approximate cost, a. f Purchased from Canterbury Government, g Six per ranteed by Nelson Government, h Purchased from Otago al. i Average cost per mile, Middle Island, h Includes inganui; one by.Masterton and Wanganui; and one by ind supervision included in cost of erection, m Survey !2,276 was paid to the Imperial Government as purchase ruawahia to Hamilton, and from Alexandra to Kihi Kihi. ' mile. Oedinaet, Press, and Provi the Year ended 3 Table B B. ncial Government Te: iOth June, 1870, and the 3LEGEAMS despatched during each Quarter of ; Revenue derived from each Class. Septemb: EE Qr/AKTEE, .869. Decemb: !E Q.l .869. FAETEE, Maec: : QuAETEE, .870. Jun: QtJAETEE, ,870. No. of Telegrams Revenue Derived. No. Of Telegrams Revenue Derived. No. of Telegrams Revenue Derived. No. of Telegrams Revenue Derived. )rdinary Telegrams 'ress Do. 'ro. Govt. Do. 24,307 1,152 877 3753 17 0 340 4 3 271 10 1 21,972 853 897 3558 13 0 216 18 0 216 11 0 23,351 740 870 3781 10 6 182 4 0 198 17 0 44,788 1,460 1,278 3636 10 O 241 14 0 182 10 0 Totals ... 26,336 4365 11 4 23,722 3992 2 0 24 961 4162 11 6 47,526 4060 14 0 The half crown tariff came inti operation on 1st Septei iber, 1869, and the present shilling tariff on 1st A] iril, 1870.

E.—> o. 7,

2

REPORT 03 THE WORKING OE

Table C. ORDINARY TELEGRAMS despatched from EACH STATION during Year ending 30th JUNE, 1870.

1869. 1870. Totals. Name of Station. September Quabtee. Decejusee Quaeteb. Maech Quabtee. June Quaetee. No. of Telegrams. Amount. No. of Telegrams. Amount. No. of Telegrams. Amount. No. of Telegrams. Amount. No. of Telegrams. Amount. Alexandra, Otago Balclutha Bealey Blenheim Bluff Brighton Castle Point... Charlestown... Cheviot Christchurch Clyde Cromwell Dunedin Featherston ... Greymouth ... Grey town Havelock Hokitika Hutt Invercargill ... Kaiapoi Kaikoura Lawrence Lyttelton Martou Masterton ... Napier Nelson Oamaru Otaki Palmerston ... Patea Picton Port Chalmers Queenstown ... lioxburgh 281 55 561 271 254 37 677 100 2.614 3,969 75 1,647 150 227 1,818 £ s. d. 31 18 6 7 8 0 68 15 2 35 3 8 28 1 4 4 17 0 95 9 6 17 2 5 453 14 2 613 18 5 8 7 4 291 10 7 16 11 6 26 11 6 342 10 6 66 203 51 535 241 158 56 573 105 2,088 104 127 3,861 30 1,309 109 206 1,495 £ s. d. 11 18 0 31 4 0 7 3 6 84 8 6 38 2 0 23 7 6 8 11 6 90 4 0 23 2 6 362 17 0 16 4 0 18 19 6 630 11 0 4 5 0 212 10 6 16 12 0 31 10 6 247 19 0 127 228 53 579 182 113 51 403 152 2,267 302 280 4,209 47 1,001 124 283 1,376 7 574 276 90 380 701 43 82 518 1,232 780 37 78 9 231 298 203 101 £ s. d. 19 1 0 35 1 6 7 17 6 96 4 0 28 0 0 17 4 0 7 18 6 63 1 6 33 15 0 395 2 6 50 12 0 42 16 6 684 7 0 6 11 0 163 18 0 19 5 6 41 8 0 230 14 0 12 0 99 8 0 42 8 6 13 2 0 58 2 0 103 14 0 6 11 6 11 11 6 89 7 6 201 2 0 121 5 0 7 5 0 13 0 6 18 0 33 9 0 44 9 6 32 9 6 15 4 6 199 433 61 1,021 334 289 114 959 163 3,927 462 552 7,084 119 1,996 323 539 2,349 123 949 886 169 477 1,783 261 175 1,014 2,259 1,251114 233 337 572 705 488 142 £ s. d. 14 13 0 31 14 6 3 19 0 82 7 6 25 0 6 20 15 6 8 14 6 76 12 6 19 19 6 345 7 0 34 3 6 43 10 0 606 4 9 8 14 0 171 17 6 23 18 0 40 6 6 206 1 0 8 8 6 80 7 0 67 0 0 12 19 0 34 10 6 126 9 0 20 0 0 11 4 6 87 3 3 185 1 6 101 0 6 9 11 6 16 0 0 29 1 0 40 16 0 48 10 6 43 18 6 9 12 0 392 1,145 220 2,696 1,028 814 258 2,612 520 10,896 868 959 19,123 271 5,953 706 1,255 7,038 130 2,780 1,680 427 924 3,832 304 385 2,520 6 154 3,745 159 311 346 1.412 1,645 770 288 £ s. d 45 12 0 129 18 (> 26 8 0 331 15 2 126 6 2 89 8 4 30 1 6 325 7 6 93 19 5 1,557 0 8 100 19 0 105 0 0 2,535 1 2 27 17 4. 839 16 7 76 7 0 139 16 6 1,027 4 6 9 10 6 402 2 5 175 13 9 48 19 4, 102 5 0 397 15 2 26 11 6 37 18 3 352 17 I 854 1 3 468 9 9 18 1 O 29 0 6 30 9 0 154 9 0 163 7 9 90 0 6 32 4 0 648 363 97 114 11 11 42 15 3 12 7 4 609 155 71 67 533 101 15 6 23 10 0 10 11 0 9 13 0 80 2 6 815 87 9 8 70 547 1,224 886 6 11 3 103 18 4 228 17 9 114 4 9 58 441 1,439 828 8 8 11 0 72 8 0 239 0 0 131 19 6 14 6 "379 390 46 "2 0 33 17 9 230 252 81 45 34 2 0 36 10 0 13 12 6 7 7 6

THE TELEGRAPH EEEARTMENT.

3

E—No, 7.

Table C. — (Continued). ORDINARY TELEGRAMS despatched from EACH STATION during Year ending 30th June, 1870.

1869. 1870. Totals. Name op Station. Septembeb Quabtee. Decembeb Quaeteb. Maech Quaeteb. June Quabtee. No. of Telegrams. Amount. No. of Telegrams. Amount. No. of Telegrams. Amount. No. of Telegrams. Amouut. No. of Telegrams. Amount. Selwyn Spit Temuka Timaru Tokomairiro ... Waikouaiti ... Waipawa Waipukurau... Wanganui Wellington ... Government Buildings ... Westport White's Bay... ... 50 268 139 731 830 139 126 133 £ s. d. 5 13 7 43 2 10 13 8 7 111 3 7 95 15 4 18 0 11 15 6 1 17 7 0 30 233 99 670 625 133 93 129 432 1,678 56 992 5 £ s. d. 4 12 6 38 18 6 14 19 6 107 14 6 93 13 6 20 8 6 16 17 6 20 16 0 74 16 0 273 0 0 10 6 6 149 19 6 0 15 0 61 243 122 707 300 148 89 153 593 1,937 34 792 6 £ s. d. 8 9 0 41 6 6 17 17 0 110 19 6 43 10 6 22 17 6 15 12 6 26 17 6 99 7 0 311 15 0 5 9 6 120 9 0 14 6 94 397 289 1,362 444 290 176 295 1,673 3,760 182 1,666 13 £ s. d. 6 3 6 35 17 0 19 14 0 112 18 O 29 3 0 20 11 6 13 8 6 25 7 0 137 7 6 298 9 0 18 5 6 122 0 0 0 18 0 235 1,141 649 3,470 2,199 710 484 710 2.698 9,115 541 4 339 26 £ s. d. 24 18 7 159 4 10 65 19 1 442 15 7 262 2 4 81 18 5 61 4 7 90 7 6 311 10 6 1,175 15 1 101 15 1 539 15 11 3 2 11 1,740 269 889 2 292 11 1 67 13 7 147 7 5 0 5 5 Totals Bluff to Napier and Patea 23,471 3,660 11 0 21,309 3,456 14 6 22,602 3,663 12 6 43,501 3,541 14 6 110,883 14,322 12 6 Alexandra, Auckland Auckland Cambridge ... Hamilton Mercer Newcastle Onehunga 97 255 54 108 79 149 94 12 17 11 28 11 3 7 17 0 12 10 11 8 4 9 14 19 9 8 4 5 69 ' 243 77 97 51 76 50 11 7 6 37 7 6 12 9 6 14 7 6 7 19 6 11 5 6 7 16 49 261 112 92 76 106 53 7 11 6 41 1 0 19 7 0 13 12 6 11 15 6 17 6 0 7 4 6 144 412 133 175 143 198 82 10 14 6 30 17 0 10 12 6 13 16 0 9 17 0 13 14 0 5 4 6 359 1,171 376 472 349 529 279 42 11 5 137 16 9 50 6 0 54 6 11 37 16 9 57 5 3 27 14 11 Totals Auckland Lines 836 93 6 0 663 101 18 6 749 117 18 0 3,535 407 18 0 1,287 94 15 6 ,, Bluff to Napier aud Patea 23,471 3,660 11 0 21,309 3,456 14 6 22,602 3,663 12 6 43,501 3,541 14 6 110,883 14,322 12 6 Grand Totals ... 24,307 3,753 17 0 21,972 3,558 13 0 23,351 3,781 10 6 44,788 3,636 10 0 114,418 14,730 10 6

E.—No. 7

Table D. PRESS TELEGRAMS despatched during Year ended 30th June, 1870.

4

REEORT ON THE WORKING OE

1869. 1870. Totals. Name op Station. Septembee Quaeteb. Decembeb Quabtee. Mabch Quabtee. June Quabtee. No. of Telegrams. Amount. No. of Telegrams. Amount No. of Telegrams. Amount. No. of Telegrams. AmountNo. of Telegrams. Amount. "5 £ s. d. 2 £ s. d. 0 8 6 £ s. d. 0 4 6 0 7 6 £ s. d. 3 7 £ s. d. 0 13 0 5 9 6 Alexandra, Otago Balclutha Bealey Blenheim Bluff Brighton Castlepoint ... Charleston ... Cheviot Christchurch Clyde Cromwell Dunedin Featherston ... Greymouth ... Greytown Havelock Hokitika Hutt Invercargill ... Kaiapoi Kaikoura Lawrence Lyttelton Marton Masterton Napier Nelson Oamaru Otaki Palmerston ... Patea Picton Port Chalmers Q.ueenstown ... Roxburgh 5"2 0 I 1 2 "5 52 0 12 8 39 6 8 9 39 1 116 19 15 6 0 16 14 2 " 0 6 23 l"*8 6 51 91 1 1 21 5 3 2 59 2 2 0 16 0 16 3 0 0 i o'"2 0 14 2 '2 6 "3 o"9 0 1 3 0 1 6 0 0 6 189 57"i8 2 98 27 17 6 124 1 7 71 31 8 6 0 8 0 12 6 11 10 6 176 27 10 6 587 1 10 455 144 14 8 0 8 0 1 10 6 80 5 4 129 19*13 10 2 67 0 7 0 13 6 6 i 188 0 10 35 14 6 19 3 3 9 6 0 3 6 2 1 4 32 0 14 6 0 2 6 0 8 0 12 4 0 10 4 2 16 3 7 1 2 4 6 0 11 0 0 3 6 4 10 0 9 6 15 6 0 2 6 58 3 10 32 1 10 7 5 3 0 0 4 6 0 6 6 2 11 0 0 16 0 11 6 0 15 0 89 11 16 136 4 28 12 11 11 6 116 0 18 0 46 3 6 0 11 0 3 8 4 1 13 0 56 27 "-7 6 5 2 0"l3 4 0 4 6 6 2 018 0 0 11 0 '. 35 10 6 "2 1 0 13 0 0 16 64 1 3 "l 0 0 10 2 100 1 0 13 0 4 3 0 0 10 118 37 2 24 18 11 9 11 10 0 12 73 94 4 20 16 6 27 3 6 1 10 0 95 79 6 29 10 0 20 19 6 10 0 111 I 139 3 23 19 6 19 12 0 0 9 6 397 349 15 99 4 11 77 6 10 3 0 8 1 '. 24 218 9 3 19 1 0 8 6 2 6 0 0 3 0 21 6 2"9 6 1 11 0 "4 127 11 0 11 6 7 6 6 17 6 4 3 191 18 0 11 6 0 8 6 15 0 9 3 16 . ... ... ... ... ...

E.—No. 7.

Table D.— (Continued). PRESS TELEGRAMS despatched during Year ended 30th June, 1870.

5

THE TELEGRAPH DEPARTMENT. ■

1869. 1870. Totals. Name op Station. September Quabtee. December Quaeteb. Maecii Quabter. June Quarter. No. of Telegrams. Amount. No. of Telegrams. Amount. No. of Telegrams. Amount, No. of Telegrams. Amount. No. of Telegrams. Amount. £ s. d. £ s. d. £ s. d. £ s. d. £ s. d. Selwyn Spit Ternuka Timaru ... ,.. Tokomairiro... Waikouaiti ... Waipawa Waipukurau Wanganui ... Wellington ... Government Buildings ... Westport White's Bay 4 3 9 12 13 0 0 6 0 4 8 0 18 8 1 1 19 14 7 0 5 0 0 16 4 14 6 2 12 6 0 18 0 14 5 11 1 18 0 0 12 0 18 0 4 1 39 9 6 0 11 0 0 10 22 17 0 0 10 6 0 10 0 9 5 81 40 24 1 19 0 0 8 6 33 17 6 5 3 8 2 16 0 I 1 0 2 8 301 3 17 0 68 11 0 16 190 518 0 53 1 6 23 385 7 12 1 53 1276 26 31 0 2 8 13 15 0 333 1 6 6 4 10 4 2 0 400 19 1 131 6 6 5 8 10 0 2 6 4 0 0 80 2 6 0 16 0 0 19 6 is 2'"9 6 3 0 10 6 ... ... ... ... ... ... Totals, Bluff to Napier and Patea 1,131 337 11 0 845 215 15 0 715 176 1 0 1,459 241 11 6 4,150 970 18 6 Alexandra, Auckland Auckland Cambridge ... Hamilton Mercer Newcastle Onehunga 14 "i 1 18 8 o'"4 8 4 2 0 12 6 0**3 6 9 11 5 1 14 6 3 14 6 0 14 0 1 0 2 6 28 i'i. 11 4 8 2 3 14 6 12 2 3 0 "9 11 0'7 0 3 2 0 9 11 0 7 0 2 Totals, Auckland Lines 21 1 0 2 6 2 13 3 8 13 0 25 6 3 0 55 10 1 9 Totals, Bluff to Napier and Patea 1,131 337 11 0 845 215 15 0 715 176 1 0 1,459 241 11 6 4,150 970 18 6 Grand Totals ... 1,152 1,460 241 14 0 340 4 3 853 216 18 0 740 182 4 0 4,205 981 0 3

E.—No. 1

REEORT ON THE WORKING OE

6

Table E. Peovincial Government Telegeams despatched during Year ended 30th June, 1870.

1869. 1870. Total Name oe Station. Septemeek Quaeteb. Decembek Quaeteb. Mabch Quaetee. June Quaetee. No. of Telegrams. Amount. No. of Telegrams. Amount. No. of Telegrams. Amount. No. of Telegrams. Amount. No. of Telegrams. Amount. 22 3 19 £ s. d. £ s. d. 0 3 0 10 6 0 3 0 15 0 £ s. d. 1 15 0 16 0 0 7 0 0 18 6 0 4 0 5 4 0 0 12 0 4 17 0 6 4 1 53 £ s. d. 0 10 6 0 12 6 0 2 0 7 12 6 £ s d. 2 8 6 6 11 4 16 4 12 12 3 0 4 0 12 0 8 0 12 0 26 4 1 10 6 5 3 10 10 12 6 7 18 0 170 9 6 2 16 6 59 14 8 7 3 11 2 5 8 177 15 5 0 16 0 0 15 6 1 11 6 10 0 5 15 0 1 19 6 3 5 0 0 16 11 30 18 9 67 7 6 11 14 11 12 0 13 6 Alexandra, Otago Balelutha Bealey Blenheim Bluff Brighton Castle Point Charleston Cheviot Christchurch Clyde Cromwell Bunedin Featherston Greymouth Greytown Havelock Hokitika Hutt Invercargill Kaiapoi Kaikoura Lawrence Lyttelton Marton Masterton Napier Nelson Oamaru Otaki Palmerston Patea Pieton Port Chalmers Queenstown Roxburgh 8 3 12 4 0 14 4 2 16 3 1 4 1 7 9 7 2 5 1 26 3 26 16 37 7 84 1 72 3 158 3 15 69 51 833 18 322 39 16 532 7 3 4 6 39 10 10 5 117 308 70 2 10 11 8 19 3 13 0 19 2"2 0 31 4" 4 7 44 3 5 15 4 213 4 76 8 2 104 10 19 6 10 6 1 17 6 3 3 6 0 17 6 45 17 6 0 18 6 15 15 6 2 0 6 0 7 6 26 8 6 57 6 "3 0 3 180 79 2 3 183 i"i 4 48 6 6 0 6 6 15 13 2 0 4 5 0 11 2 94 0 5 2 22 9 194 4 73 11 1 120 0 7 6 4 7 6 1 12 0 41 10 6 10 0 15 15 0 2 15 0 0 3 6 32 18 6 5 32 38 246 7 94 18 10 125 7 0 11 6 3 16 5 8 6 34 15 0 0 11 6 12 11 0 2 4 0 13 6 24 8 0 0 16 0 3 0"l5 6 2 "5 o"7 0 16 6 1 16 3 0 4 0 2 17 6 0 7 6 2 7 1 0 7 6 15 6 0 3 0 4 1 16 1 10 1 11 6 0 16 1 12 0 0 2 6 3 5 0 1 29 42 15 0 15 8 12 3 11 8 6 2 10 11 1 22 62 20 0 4 0 5 0 6 19 12 0 4 8 0 3 45 71 11 0 11 6 14 0 0 18 0 0 2 0 6 21 133 24 2 8 3 6 0 17 17 0 2 15 6 12 0 0 17 0 "i o"6 6 "i 19 o'"l 6 2 10 10 1 23 7 5 0 2 6 3 19 0 15 0 0 16 6 2 26 17 5 0 5 0 4 5 0 4 18 0 0 18 6 8 30 49 4 0 15 0 2 11 0 13 8 0 0 7 0 12 98 73 14 14 0 13 5 10 19 11 0 2 2 0 ...

E.—No. 7.

Table E.— Continued. PROVINCAIL GOVERNMENT TELEGRAMS despatched during Year ended 30th JUNE, 1870.

7

THE TELEGRAPH DEPARTMENT.

1869. 1870. Totals. Name op Station. September Quabtee. December Quaeteb. March Quarter. June Quabtee. No. of Telegrams. Amount. No. of Telegrams. Amount. No. of Telegrams. Amount. No. of Telegrams. Amount. No. of Telegrams. Amount. £ s. d. £ s. d. £ e. d. £ s. d. £ s. d. Selwyn Spit Temuka Timaru Tokomairiro Waikouaiti Waipawa Waipukurau Wanganui Wellington Government Buildings ... Westport White's Bay ... 1 o"*3 6 1 0 3 6 46 10 7 1 8 16 3 2 4 10 1 15 3 0 7 0 40 10 5 2 42 50 8 69 8 5 6 2 14 0 116 0 9 6 18 14 0 11 19 6 4 19 0 14 0 6 5 10 17 7 7 34 2 77 0 16 6 1 18 0 4 7 6 2 12 6 2 17 0 7 6 6 0 6 6 14 19 6 1 18 19 3 0 3 0 1 14 0 1 15 6 0 7 6 1 109 49 32 10 74 167 97 317 0 3 0 19 12 3 8 12 4 7 11 9 3 9 0 25 10 0 33 4 6 43 6 9 56 2 11 22 73 67 5 12 6 35 11 3 15 11 11 25 61 14 104 3 19 0 8 6 0 2 10 0 11 11 0 ... ... ... ... Totals Bluff to Napier and Patea 876 271 6 7 897 216 11 0 870 198 17 0 1278 182 10 0 I 3921 869 4 7 Alexandra, (Auckland) ... Auckland Cambridge Hamilton ... ... Mercer Newcastle Onehunga * i o'g 6 "i 0*3 6 Totals Auckland Lines l 0 3 6 l 0 3 6 „ Bluff to Napier and Patea 876 271 6 7 897 216 11 0 870 198 17 0 1278 182 10 0 3921 869 4 7 Grand Totals ... 877 271 10 1 897 216 11 0 870 198 17 0 1278 182 10 0 3922 869 8 1

E.—No. 7.

REEORT OjN THE WORKING OE

8

Table F. GENERAL GOVERNMENT TELEGRAMS despatched during Year end 30th JUNE, 1870.

1869. 1870. Totals. Name op Station. September Quaeteb. December Quabtee. Maech Quaetee. June Quaeteb. No. of Telegrams. Amount. No. of Telegrams. Amount. No. of Telegrams. Amount. No. of Telegrams. Amount. No. of Telegrams. Amount. Alexandra, Otago Balclutha Bealey Blenheim ,,. Bluff Brighton Castle Point... Charlestown... Cheviot Christchurch Clyde Cromwell Dunedin Featherston ... Greymouth ... Grey town ... Havelock Hokitika Hutt Invercargill ... Kaiapoi Kaikoura Lawrence Lyttelton Marton Masterton ... Napier Nelson Oamaru Otaki Palmerston ... Patea Picton Port Chalmers Queenstown ... Roxburgh £ s. d. £ s. d. 0 2 6 1 11 0 15 22 £ s. d. 2 15 0 4 4 0 21 31 £ a. d. 2 2 6 5 16 6 37 74 1 340 2,316 9 23 376 3 939 53 28 1,807 186 3,303 47 63 3,945 13 265 20 52 28 4,252 66 59 2,345 5,861 100 14 18 266 1,486 7,247 61 14 £ s. d 5 0 0 13 10 10 0 3 9 56 6 10 285 12 6 1 19 9 5 6 7 73 4 4 0 12 0 217 1 3 8 2 0 3 19 0 460 12 0 33 11 0 532 1 6 7 10 9 11 6 4 705 7 1 1 17 0 75 18 8 3 2 9 10 7 10 4 4 0 501 17 8 17 6 6 9 6 1 1,121 4 9 831 12 11 20 1 5 3 10 0 2 7 6 71 11 0 225 0 11 1,006 11 11 10 9 0 2 6 6 14 60 617 1 9 192 1 19 4 0 3 9 10 13 4 100 5 6 0 2 9 2 11 1 44 3 4 1 7 79 . 666 2 3 109 16 2 0 87 0 6 0 5 6 0 11 0 17 7 6 101 553 6 6 30 3 232 25 6 503 39 919 11 17 1,052 1 58 6 13 8 1,326 13 14 550 2,193 28 5 7 27 485 2,442 24 9 19 3 0 73 5 6 1 11 6 13 0 6 15 6 0 12 0 57 9 6 4 13 6 110 128 18 6 10 12 6 130 15 6 2 13 6 3 16 6 159 19 0 0 5 0 14 2 6 10 0 2 6 6 18 6 182 1 0 3 15 0 3 2 6 281 18 6 310 17 0 6 16 1 12 6 14 6 7 6 6 70 10 6 351 12 0 5 4 0 1 18 6 100 480 10 8 6 25 1 0 5 45 11 6 4 18 0 155 37"9 9 "210 5 65 19 0 0 19 0 342 23 22 664 63 484 18 17 630 12 99 6 15 18 773 53 17 609 742 37 9 11 239 126 727 31 5 56 3 0 2 9 6 2 18 0 116 14 0 7 16 0 33 1 0 1 16 0 2 10 59 12 0 1 12 0 14 13 0 0 10 0 1 12 0 2 7 6 48 10 6 13 11 6 13 6 265 13 0 66 0 0 6 12 0 1 17 6 13 0 64 4 6 8 16 6 39 17 6 4 2 6 0 8 0 263 39 885 8 16 966 103 12 0 6 16 0 222 10 6 15 3 2 12 10 281 7 1 377 45 1,015 10 13 1,297 111 7 6 8 6 6 145 14 6 1 16 0 2 16 0 204 9 0 57 12 35 12 2 0 2 3 3 9 4 51 7 12 2 1,109 11 11 0 1 10 6 3 0 0 0 8 0 149 14 6 1,044 121 "il 8 16 692 1,302 14 2 3 1 315 6 3 213 10 11 2 19 5 12 494 1,624 21 2 17 0 258 7 0 241 5 0 4 8 6 *562 1,855 97 6 5 298 15 11 313 2,223 6 48 7 6 316 6 6 12 6

THE TELEGRAPH DEPARTMENT.

E.—No. 7.

9

Table F.— (Continued). GENERAL GOVERNMENT TELEGRAMS despatched during Year ended 30th JUNE, 1870.

1869. 1870. Totals. Name op Station. Septembee Quaeteb. Decembee Quabtee. Maech Quaetee. June Quabtee. No. of Telegrams. Amount. No. of Telegrams. Amount. No. of Telegrams. Amount. No. of Telegrams. Amouut. No. of Telegrams. Amount. Selwyn Spit Temuka Timaru Tokomairiro ... Waikouaiti ... Waipawa Waipukurau... Wanganui Wellington ... Government Buildings ... Westport White's Bay... ... 1 842 £ s. d. 0 6 6 154 12 3 1 670 2 62 28 19 19 10 973 2,633 1,284 1,120 £ s. d. 0 4 0 93 17 6 0 7 6 11 17 6 5 12 0 7 13 6 4 8 6 1 16 6 187 17 6 434 9 0 438 13 6 150 2 6 1 819 1 59 7 6 11 84 1.233 2,714 1.629 900 £ s. d. 0 5 0 126 13 6 0 4 0 10 7 6 16 6 15 6 2 11 0 57 15 0 248 2 0 429 15 6 519 0 6 117 4 0 2 176 2 67 17 12 11 10 462 1,179 1,929 179 £ s. d. 0 3 0 30 8 6 0 6 0 9 4 6 1 13 6 3 8 0 2 7 0 1 16 0 136 19 0 151 7 0 402 15 0 15 11 0 5 2,507 5 229 102 . 45 48 129 2,668 9,043 6,014 3,413 £ s. d. 0 18 6 405 11 9 0 17 6 36 4 11 18 17 11 14 7 0 11 4 7 68 3 3 572 18 6 1,530 0 3 1,897 3 3 536 13 1 41 50 8 7 25 4 15 5 10 5 11 2 0 0 1 18 1 6 15 9 2,517 1,172 1,214 514 8 9 536 14 3 253 15 7 ... ... Totals Bluff to Napier and Patea 14,658 3,392 2 5 16,534 3,040 5 0 18,213 3,370 5 6 10,520 1,630 11 6 59,925 I 11,433 4 5 Alexandra, Auckland Auckland Cambridge ... Hamilton Mercer Newcastle Onehunga 167 192 11 223 72 89 35 56 16 4 58 14 10 1 18 11 46 8 6 22 19 6 23 8 9 3 16 9 40 155 20 179 24 52 35 11 10 0 55 1 0 4 2 6 45 4 6 6 14 6 14 1 6 5 13 0 112 279 343 373 23 75 4-4 33 16 6 96 11 6 144 0 6 99 5 6 7 15 6 21 6 0 7 3 0 45 83 19 175 5 46 37 5 11 6 13 10 0 2 17 0 21 1 0 0 13 6 6 3 0 2 16 6 364 709 393 950 124 262 151 107 14 4 223 17 4 152 18 11 211 19 6 38 3 0 64 19 3 19 9 3 Totals Auckland Lines 789 214 3 7 505 142 7 0 1,249 409 18 6 410 52 12 6 2,953 819 1 7 „ Bluff to Napier and Patea 14,658 3,392 2 5 16,534 3,040 5 0 18,213 3.370 5 6 10,520 1,630 11 6 59,925 11,433 4 5 1 Grand Totals ... 15,447 3,606 6 0 17,039 3,182 12 0 19,462 3,780 4 0 10,930 1,683 4 0 62,878 12,252 6 0

E.—No. 1.

10

REPORT ON THE WORKING OE

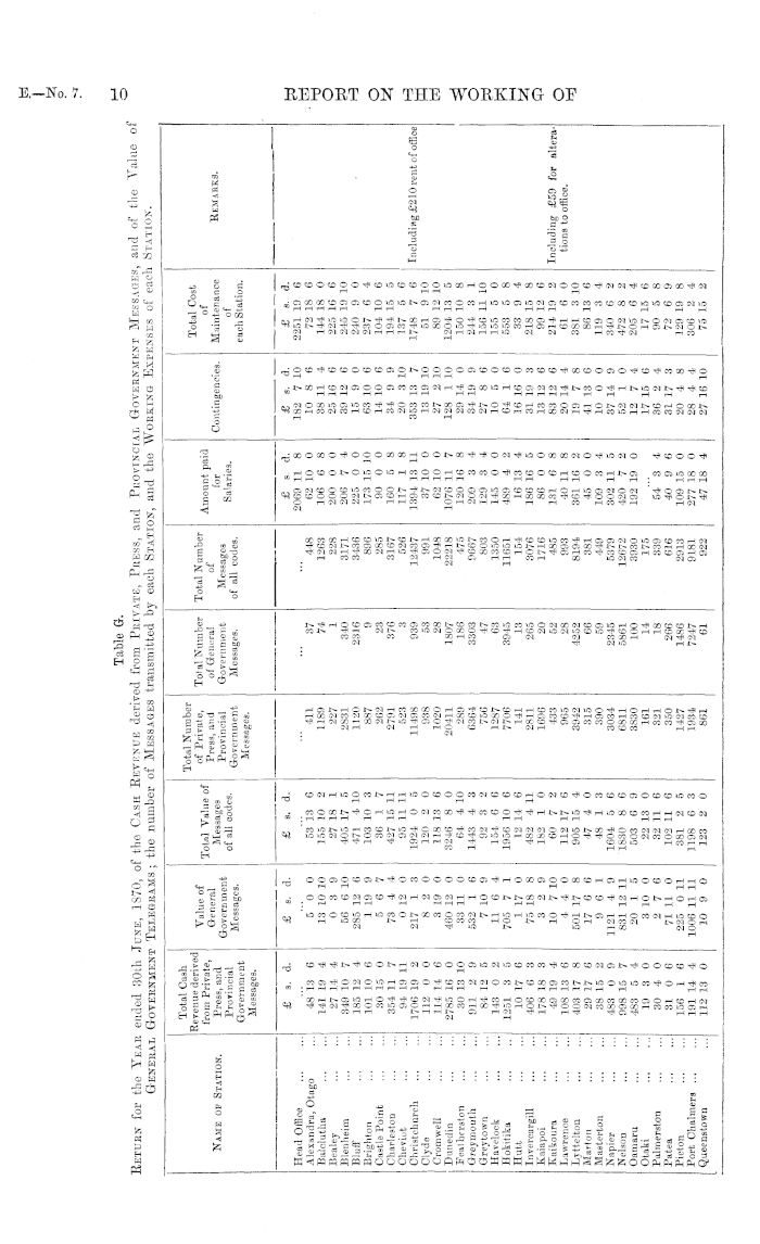
Table G. RETURN for the YEAR ended 30th JUNE, 1870, of the CASH REVENUE derived from PRIVATE, PRESS, and PROVINCIAL GOVERNMENT MESSAGES, and of the Value of GENERAL GOVERNMENT TELEGRAMS; the number of MESSAGES transmitted by each STATION, and the WORKING EXPENSES

Name op Station. Total Cash Revenue derived from Private, Press, and Provincial Government Messages. Value of General Government Messages. Total Value of Messages of all codes. Total Number of Private, Press, and Provincial Government Messages. Total Number of General Government Messages. Total Number of Messages of all codes. Amount paid for Salaries. Contingencies. Total Cost of Maintenance of each Station. Bkmabks. Head Office Alexandra, Otago Balclutha Bealey Blenheim Bluff Brighton Castle Point Charleston Cheviot Christchurch Clyde Cromwell Dunedin Featherston Greymouth Grey town Havelock Hokitika Hutt Invercargill Kaiapoi Kaikoura Lawrence Lyttelton Marton Masterton Napier Nelson Oamaru Otaki Palmerston Patea Picton Port Chalmers ... Queenstown £ s. d. 48 13 6 141 19 4 27 14 4 349 10 7 185 12 4 101 10 6 30 15 0 354 11 7 94 19 11 1706 19 2 112 0 0 114 14 6 2785 16 0 30 13 10 911 2 9 84 12 5 143 0 2 1251 3 5 10 17 6 406 6 3 178 18 3 49 19 4 108 13 6 403 17 8 29 17 6 38 15 2 483 0 9 998 15 7 483 5 4 19 3 0 30 4 0 31 0 6 156 1 6 191 14 4 112 13 0 £ s. d. 5 0 0 13 10 10 0 3 9 56 6 10 285 12 6 1 19 9 5 6 7 73 4 4 0 12 0 217 1 3 8 2 0 3 19 0 460 12 0 33 11 0 532 1 6 7 10 9 11 6 4 705 7 1 1 17 0 75 18 8 3 2 9 10 7 10 4 4 0 501 17 8 17 6 6 9 6 1 1121 4 9 831 12 11 20 1 5 3 10 0 2 7 6 71 11 0 225 0 11 1006 11 11 10 9 0 £ s. d. 53 13 6 155 10 2 27 18 1 405 17 5 471 4 10 103 10 3 36 1 7 427 15 11 95 11 11 1924 0 5 120 2 0 118 13 6 3246 8 0 64 4 10 1443 4 3 92 3 2 154 6 6 1956 10 6 12 14 6 482 4 11 182 1 0 60 7 2 112 17 6 905 15 4 47 4 0 48 1 3 1604 5 6 1830 8 6 503 6 9 22 13 0 32 11 6 102 11 6 381 2 5 1198 6 3 123 2 0 411 1189 227 2831 1120 887 202 2791 523 11498 938 1020 20411 289 6364 756 1287 7706 141 2811 1696 433 965 3942 315 390 3034 6811 3830 161 321 350 1427 1934 861 37 74 1 340 2316 9 23 376 3 939 53 28 1807 186 3303 47 63 3945 13 265 20 52 28 4252 66 59 2345 5861 100 14 18 266 1486 7247 61 448 1263 228 3171 3436 896 285 3167 526 12437 991 1048 22218 475 9667 803 1350 11651 154 3076 1716 485 993 8194 381 449 5379 12672 3930 175 339 616 2913 9181 922 £ s. d. 2069 11 8 62 10 0 106 6 8 200 0 0 206 7 4 225 0 0 173 15 10 90 0 0 160 5 8 117 1 8 139-4 13 11 37 10 0 62 10 0 1076 11 7 120 16 8 209 3 4 129 3 4 145 0 0 489 4 2 16 13 4 186 16 5 86 0 0 131 6 8 40 11 8 361 16 2 45 0 0 109 3 4 302 11 5 420 7 2 192 19 0 £ s. d. 182 7 10 10 8 6 38 11 4 25 16 6 39 12 6 15 9 0 63 10 6 14 10 6 34 9 9 20 3 10 353 13 7 13 19 10 27 2 10 128 1 10 29 14 0 34 19 9 27 8 6 10 5 0 64 1 6 16 16 0 31 19 3 13 12 6 83 12 6 20 14 4 19 7 8 41 13 6 10 0 0 37 14 9 52 1 0 12 7 4 17 15 6 36 2 4 31 17 3 20 4 8 28 4 4 27 16 10 £ s. d. 2251 19 6 72 18 6 144 18 0 225 16 6 245 19 10 240 9 0 237 6 4 104 10 6 194 15 5 137 5 6 1748 7 6 51 9 10 89 12 10 1204 13 5 150 10 8 244 3 1 156 11 10 155 5 0 553 5 8 33 9 4 218 15 8 99 12 6 214 19 2 61 6 0 381 3 10 86 13 6 119 3 4 340 6 2 472 8 2 205 6 4 17 15 6 90 5 8 72 6 9 129 19 8 306 2 4 75 15 2 Including £210 rent of office Including £59 for alterations to office. 54 3 4 40 9 6 109 15 0 277 18 0 47 18 4

E.-No. 7.

Table G.— Continued. RETURN for the YEAR ended 30th June, 1870, of the CASH REVENUE derived from PRIVATE, PRESS, and PROVINCIAL GOVERNMENT MESSAGES, and of the Value of GENERAL GOVERNMENT TELEGRAMS ; the number of MESSAGES transmitted by each STATION and the WORKING EXPENSES of each STATION.

11

THE TELEGRAPH DEPARTMENT.

Name op Station. Total Cash Revenue derived from Private, Press, and Provincial Government Messages. Value of General Government Messages. Total Value of Messages of all codes. Total Number of Private, Press, and Provincial Government Messages. Total Number of General Government Messages. Total Number of Messages of all Codes. Amount paid for Salaries. Total Cost of Maintenance of each Station. Remarks. Contingencies. Roxburgh Selwyn Spit Temuka Timaru Tokomairiro Waikouaiti Waipawa Waipukurau Wanganui Wellington Government Buildings ... Westport White's Bay £ s. d. 34 6 0 24 18 7 161 7 4 66 7 7 476 16 1 286 18 3 93 6 9 68 16 4 93 19 2 350 15 6 1542 1 1 151 6 8 600 0 10 3 2 11 £ s. d. 2 6 6 0 18 6 405 11 9 0 17 6 36 4 11 18 17 11 14 7 0 11 4 7 68 3 3 572 18 6 1530 0 3 1897 3 3 536 13 1 £ s. d. 36 12 6 25 17 1 566 19 1 67 5 1 513 1 0 305 16 2 107 13 9 80 0 11 162 2 5 923 14 0 3072 1 4 2048 9 11 1136 13 11 3 2 11 302 235 1151 654 3552 2348 783 516 721 2825 10558 664 4687 26 14 2507 5 229 102 45 48 129 2668 9043 6014 3413 316 240 3658 659 3781 2450 828 564 850 5493 19601 6678 8100 26 £ s. d. 62 10 0 109 3 4 109 3 4 109 3 4 160 8 4 209 3 4 94 13 4 110 0 0 115 0 0 133 19 0 1078 4 9 185 8 4 209 3 4 414 6 8 £ s. d. 12 3 10 15 3 7 30 15 6 19 0 0 18 3 0 31 17 4 10 18 4 24 1 3 32 13 6 43 0 0 200 4 0 10 4 0 18 12 0 43 1 3 £ s. d. 74 13 10 124 6 11 139 18 10 128 3 4 178 11 4 241 0 8 105 11 8 134 1 3 147 13 6 176 19 0 1278 8 9 195 12 4 227 15 4 457 7 11 Totals Bluff to Napier and Patea... 16,162 15 7 11,433 4 5 27,596 0 0 118,954 59,925 178,879 12,599 8 3 2,146 4 5 14,745 12 8 Alexandra, Auckland Auckland Cambridge Hamilton Mercer Newcastle Onehunga 46 19 7 137 16 9 54 0 6 55 9 1 37 16 9 57 15 2 28 5 5 107 14 4 223 17 4 152 18 11 211 19 6 38 3 0 64 19 3 19 9 3 154 13 11 361 14 1 206 19 5 267 8 7 75 19 9 122 14 5 47 14 8 387 1171 387 483 349 532 282 364 709 393 950 124 262 151 751 1880 780 1433 473 794 433 91 5 0 314 15 7 94 11 8 89 11 8 89 11 8 89 11 8 93 15 7 89 14 6 339 3 4 47 0 8 72 18 10 105 12 11 55 6 11 98 14 8 180 19 6 653 18 11 141 12 4 162 10 6 195 4 7 144 18 7 192 10 3 Includes extra assistance during Native disturbances Do. do. and rent of office. Includes extra assistance during Native disturbances Do. Do. Do. Do. Includes gratuity to invalided officer. Totals Auckland Lines Totals Bluff to Napier and Patea ., 418 3 3 16,162 15 7 819 1 7 11,433 4 5 1,237 4 10 27,596 0 0 3,591 118,954 2,953 59,925 6,544 178,879 863 2 10 12,599 8 3 808 11 10 2,146 4 5 1,671 14 8 14,745 12 8 Grand Totals 62,878 185,423 13,462 11 1 2,954 16 3 16,417 7 4 16,580 18 10 12,252 6 0 28,833 4 10 122,545

E.—No. 7.

Table H CASH VALUE of SHIPPING TELEGRAMS and the Amounts chargeable to each DEPARTMENT of the GENERAL GOVERNMENT for TELEGRAMS transmitted during the Year ended 30th JUNE, 1870.

12

REPORT ON THE WORKING OE

- July. Auoust. Septemeee. October. November. December. Januaey. Feebuary. Maech. Apeil. May. June. Totals. £ s. d. £ s. d. £ s. d. £ s. d. £ s. d. £ s. d. £ s. d. £ s. d. £ s. d. £ s. d. £ 8. d. £ s. d- £ s. d. Colonial Secretary ... 67 1 0 129 5 1 83 19 0 158 0 0 121 2 0 143 11 0 113 19 0 157 9 0 87 9 6 126 9 6 85 12 0 46 10 0 1,320 7 1 Crown Lands 20 8 7 11 2 1 2 14 6 6 18 6 3 17 6 7 15 6 8 4 0 6 12 6 6 6 0 10 15 0 15 11 0 10 7 0 110 12 2 Customs 15 13 0 20 6 1 18 0 0 18 4 0 12 9 0 13 13 0 18 15 0 19 9 0 22 2 0 12 11 0 24 0 6 16 5 0 211 7 7 Defence 335 6 1 188 6 8 162 0 6 175 8 6 146 8 0 134 16 0 316 0 0 254 3 0 259 9 6 214 4 0 I 194 10 ' 6 212 4 6 2,592 17 3 Judicial 63 11 6 53 17 2 36 16 0 32 6 0 54 18 0 51 16 6 53 13 0 43 18 6 64 8 0 35 10 0 36 11 0 36 8 0 563 13 8 Marine 11 15 11 12 0 10 3 13 0 5 11 0 9 2 6 18 6 0 6 7 0 7 6 0 3 0 6 2 18 6 2 17 6 2 4 0 85 2 9 Native 21 8 0 18 15 6 13 3 0 8 6 0 7 4 6 9 9 0 9 16 6 23 12 6 8 13 0 12 11 0 10 7 0 22 3 0 165 9 0 Postal 39 5 11 38 11 10 51 9 6 65 4 6 44 16 6 76 18 6 89 6 0 75 15 6 115 17 0 66 13 6 59 6 0 64 0 6 787 5 3 Registrar 2 7 4 4 8 4 3 4 6 2 17 6 1 16 6 11 9 6 7 9 6 8 3 0 6 11 6 5 3 6 4 6 0 3 16 60 18 8 Telegraph 4 4 3 4 0 6 0 12 6 0 7 6 0 7 0 9 11 9 Treasury 93 1 3 127 10 4 52 16 6 54 17 6 51 10 0 53 14 6 53 3 6 55 8 0 41 14 6 45 19 6 35 8 6 ! 62 9 0 727 13 1 Shipping Reports 636 18 11 769 4 10 489 18 6 464 9 0 580 11 6 634 4 0 611 6 0 579 15 0 644 14 0 70 8 0 72 10 0 63 8 0 5,617 7 9 Totals 1,306 17 6 1,377 13 0 921 15 6 992 15 0 1,033 16 0 1,156 1 0 1,287 19 6 1,231 12 0 jl,260 12 6 603 3 6 541 0 0 539 0 6 12,252 6 0

THE TELEGRAPH DEPARTMENT.

R—No. 7.

13

Table I. DEBTOR AND CREDITOR STATEMENT of LINES from BLUFF to NAPIER and PATEA.

Db. To total cost of maintenance of stations „ Total cost of maintenance of lines £ s. d. £ s. d. Ce. . By Cash Receipts as under : Ordinary, Press, and Provincial Government Telegrams Subscriptions from the Press and other receipts £ s. d. £ s. d. 14,745 12 8 12;392 13 5 27,138 6 1 16,162 15 7 637 2 6 16,799 18 1 Balance (credit of lines from Bluff to Napier and Patea) Total cash revenue , Valueof Gen. Gvt. telegrams 27,138 6 1 1,094 16 5 16,799 18 1 11,433 4 5 £28,233 2 6 £28,233 2 6 Tab: le J. De :tor and Creditor Stat :ement for Auckland Lines. De. Co total cost of maintnance Stations „ Total cost of maintenance of Lines £ s. d. 1,671 14 8 £ s. d. Ch. By cash receipts for Ordinary, Press, and Provincial Government tele- £ s. d. £ s. d. 1,727 11 5 3,399 6 1 418 3 3 grams By value of General Government telegrams 819 1 7 Balance (debit to Auckland lines) 1,237 4 10 2,162 1 3 £3,399 6 1 £3,399 6 1 Genera: Balance. 'o Balance to debit of Auckland lines 2,162 1 3 By balance to credit of lines from Bluff to Napier and Patea 1,094 16 5 By balance to debit of Department 1,067 4 10 £2,162 1 3 £2,162 1 3 Table K. UMBER of INTERPROVI] number of Telegrai proportion of Teleg: year. cial Letters forwarded during the year ended 31st December, 1869 ; :s despatched in each Province during the year ended 30th June, 1870; ;ams to every 100 Letters ; together with a similar return for the previous 1869-70. 1868-9. Province. Number of Letters. Number of Telegrams. Proportion of Telegrams sent for every 100 Letters. Number of Letters. Number of Telegrams. Proportion of Telegrams sent for every 100 Letters. Vellington larlborough felson Canterbury Vestland 302,209 53,562 176,903 397,352 242,400 538,329 75,445 65,967 26,578 495,315 34,494 7,945 25,361 27,255 21,318 44,927 6,512 10,451 616 6,544 11.41 14.83 14.33 6 85 8.79 8.34 8.63 15.84 2.31 1.32 328,180 45,523 203,537 539,610 251,108 595,062 84,235 62,539 24,412 6,819 22,592 25,911 17,649 39,123 6.498 8,661 7.43 14.97 1109 48 7 02 6.57 7.71 13.84 )tago louthland lawke's Bay ?aranaki Luckland 439,694 4*502 L02 Total number of letters 'elegrams... grams to every 1869-70. ... 2,374,060 185,423 7 100 Letters ... 7.81 1868-69. 2,549,488 156,167 6.12 1867 1,938, 106, \ f-68. ,578 ,104 5.47 Pronortion of Te]

E.—No. 7

14

REPORT ON THE TELEGRAPH DEPARTMENT.

Table L. COST of MAINTENANCE of TELEGRAPH LINES for the Financial Year ending 30th June, 1870.

Bluff to Balclutha Tokomairiro to Queenstown ... Balclutha to Waitaki Waitaki to Christchurch Christchurch to Greymouth ... Greymouth to Westport Christchurch to Blenheim Blenheim to Nelson, including White's Bay line Wellington to Napier ... Wellington to Patea ... Section. No. of Miles. 114 140 152 148 176 67 208 Salaries of Linemen. £ s. d. 168 17 5 213 6 1 257 1 8 308 6 8 397 10 0 150 0 0 427 10 3 Travelling Expenses. £ s. d. 260 15 3 269 6 10 369 14 6 256 9 3 502 4 0 242 16 4 278 5 5 Extra Labour. £ s. d. 277 19 6 482 16 4 872 12 4 360 13 3 481 14 0 Cost of Material used for repairs. £ s. d. 158 9 0 796 13 3 1,047 9 1 381 9 1 311 5 6 26 3 6 407 0 1 Total Cost of Maintenance. £ a. d. 866 1 2 1,762 2 6 2,546 17 7 1,306 18 3 1,692 13 6 418 19 10 1,489 1 1 Cost Per Mile. £ s. d. 7 11 Ilia 12 11 9 6 16 15 Oe 8 16 7i<2 9 12 4 e 6 5 1 7 3 2/ 376'"5 4 92 221 180 333 13 4 560 0 7 108 14 9 119 14 2 288 3 0 206 14 2 292 13 6 142 7 2 32 19 6 98 4 8 82 15 2 43 19 6 844 5 8 1,073 5 11 392 7 11 9 3 G\g 4 17 0 h 2 3 7 Auckland lines 1,498 164 2,925 0 9 729 11 8 2,794 2 11 633 7 3 3,320 0 11 157 19 0 3,353 8 10 206 13 6 12,392 13 5 1,727 11 5 8 5 5i* 10 10 8 j Totals 3,427 10 2 1,662 3,654 12 5 3,477 19 11 3,560 2 4 14,120 4 10 8 9 11 tc * Cost per mile Bluff to Napier and Patea. a Includes cost of lowering old poles between Invercargill and Balclutha. h Includes cost of reconstruction from Tokomairiro to Alexandra, c Includes cost of reconstruction from Balclutha to Waikouaiti, and insertion of new poles and running third wire from Dunedin to Tokomairiro to join goldfields line, d Includes cost of reconstruction from, limaru to Christchurch. e Includes cost of reconstruction of thirty miles of line from Hokitika to Bealey. f Includes 30st of reconstruction from Christchurch to Woodend. g Includes cost of reconstruction of three miles of line south of Nelson; insertion of new totara poles from the junction of Bienheim and White's Bay line to Picton, and insertion of fifty ;otara polos, and running of third wire from junction to White's Bay. h Includes cost of clearing bush at the Taueru; running the second wire from Tenui junction to Castle Point, and sundry deviations of the line between Featherston and Hutt. i Includes cost of repairs of line between Cambridge and Alexandra; dismantling of old line between Alexandra jnd Newcastle; also of branch line to Kihi Kihi, and extra cost of maintenance of old line between Newcastle aud Auckland prior to reconstruction. Tc Total average cost per mile. Table M. Insulation Tests of the Cook Strait Cable for the Tears ending 30th June, 1868, 1869, and 1870, respectively, showing the resistance per knot, after two minutes' electrification, in millions of Ohmads (British Association units of resistance). ', and milDate. rH d CM d te o d te Date. d H d to d 6 te 03 CO d te Date. rH 'O 6 h 6 CD s co d .867— September 1 30 ... October 14 ... November 1 ... 14 ... )ecember 2 ... 1868— September 11... 17... 1869— July 27 .. August 24 ... September27 ... 649 667 745 9. 7. 13. 1,104 1,200 1,274 473 634 547 598 574 608 71 102 179 32.6 10.6 10.5 554 634 620 667 643 709 630 697 22.5 63.5 946 1,000 fOctober November 8 ... 582 5."' 1,'2*53 December 3 ... 1870— January 22 ... February 22 ... March 18 ... 20 ... April 26 ... May 31 ... 638 2.5 1,159 1869— March 27 ... 467 26 729 526 417 442 344 430 456 2. 3. 3.4 2.06 8.6 .446 865 707 967 619 |812 871 April May >> June 19... 11 ... 17... 22... 483 562 531 522 30 31 14 15 748 950 963 931 .868— 'June 7 ... June 26 ... 355 2.3 622 930 5.5 1,094 # This lest was tal :en witl zinc to earth, and the oti lers with co to earth. Noti :st takei

This report text was automatically generated and may include errors. View the full page to see report in its original form.I whakaputaina aunoatia ēnei kuputuhi pūrongo, e kitea ai pea ētahi hapa i roto. Tirohia te whārangi katoa kia kitea te āhuatanga taketake o te pūrongo.
Permanent link to this item
Hononga pūmau ki tēnei tūemi

https://paperspast.natlib.govt.nz/parliamentary/AJHR1870-I.2.2.5.8

Bibliographic details
Ngā taipitopito pukapuka

SIXTH ANNUAL REPORT ON THE WORKING AND PROGRESS OF THE NEW ZEALAND TELEGRAPH DEPARTMENT, Appendix to the Journals of the House of Representatives, 1870 Session I, E-07

Word count
Tapeke kupu
12,751

SIXTH ANNUAL REPORT ON THE WORKING AND PROGRESS OF THE NEW ZEALAND TELEGRAPH DEPARTMENT Appendix to the Journals of the House of Representatives, 1870 Session I, E-07

SIXTH ANNUAL REPORT ON THE WORKING AND PROGRESS OF THE NEW ZEALAND TELEGRAPH DEPARTMENT Appendix to the Journals of the House of Representatives, 1870 Session I, E-07

Log in or create a Papers Past website account

Use your Papers Past website account to correct newspaper text.

By creating and using this account you agree to our terms of use.

Log in with RealMe®

If you’ve used a RealMe login somewhere else, you can use it here too. If you don’t already have a username and password, just click Log in and you can choose to create one.


Log in again to continue your work

Your session has expired.

Log in again with RealMe®


Alert