Page image
Page image
Page image
Page image
Page image
Page image
Page image
Page image
Page image
Page image
Page image
Page image
Page image
Page image
Page image
Page image
Page image
Page image
Page image
Page image
Page image
Page image
Page image
Page image
Page image
Page image
Page image
Page image
Page image
Page image
Page image
Page image
Page image
Page image
Page image
Page image

G.—lt

1908 NEW ZEALAND.

NATIVE LANDS AND NATIVE-LAND TENURE: REPORT OF NATIVE LAND COMMISSION, ON AGREEMENT BY NGATITUWHARETOA TRIBE AND A COMPANY FOR SALE OF TIMBER AND CONSTRUCTION OF RAILWAY.

Presented to both Houses vf the General Assembly by Command of His Excellency.

Native Land Commission, Rotorua, 11th September, 1908. To His Excellency the Governor. May it please Your Excellency,— We have the honour to submit for your consideration a report on an agreement made by persons of the Ngatituwharetoa Tribe and a company for the sale of the timber standing or growing on their lands, also for the construction of a railway running through their lands. The Ngatituwharetoa people own a very large area of land. The agreement involves 134,500 acres, and of this area 82,000 acres have milling-timber growing thereon. The company have selected an area of 40,160 acres, which it is estimated contains 35,000 feet per acre, and which can be profitably worked. Of the residue area, only about 19,285 acres may be worked at a profit, provided always that the railway is completed and the demand for timber increases; the balance, about 75,055 acres, does not contain the necessary milling-timber in sufficient quantities, or else it is at inaccessible places. In 1906 an agreement was entered into with the Tongariro Timber Company, and it has been signed by Maoris who own nine-tenths of the aforesaid area. On the 22nd January, 1908, an Order in Council was issued excepting certain portions of the aforesaid area from the operations of section 117 of " The Native Land Court Act, 1894," to enable the land to be sold for £1 per acre for the purposes of constructing a railway; and thus the construction of a railway was inferentially sanctioned. Since the agreement was signed and the said Order in Council issued, the agreement has been brought before the Maniapoto-Tuwharetoa District Maori Land Board under section 26 of " The Maori Land Claims Adjustment and Laws Amendment Act, 1907." The Board has recommended for approval, with certain modifications, the agreement for the sale of the timber on the Whangaipeke and other blocks to the Tongariro Timber Company. We understand the company and the Maori owners accede practically to the whole of the modifications. The Commission held a sitting at Rotorua on the 3rd and 4th September, 1908. The company was represented by counsel, Mr. D. M. Findlay; and Mr. Atkinson, manager of the Company : while the Maoris were represented by counsel, Mr. Blair (appearing on behalf of Mr. C. P. Skerrett, K.C.); Mr. Te Heuheu Tukino, a chief of the Ngatituwharetoa Tribe; and Mr. Lawrence Grace, who is closely connected by marriage with the tribe.

I—G. It.

G.—lt

2

We were given to understand that no objections have been raised by any of the Maori owners to the agreement, nor had any refused to sign. The only reason why some of the signatures have not been obtained is on account of the distance and inaccessibility of their present address, and that successors have not as yet been appointed to some of the interests. Mr. Seeley, surveyor and timber expert to the company, gave evidence as to the quantity of timber on the land. His estimates are shown in detail in Appendix A of this report. In Appendix B to this report we give a copy of the original agreement, and showing the modifications as suggested by the Board. The main terms of the agreement, as now modified and consented to before us, are as follows : — 1. The owners sell the timber on 40,180 acres as defined on the plan, copy attached (coloured green). 2. The company is to have the option to purchase the milling-timber on the 19,285 acres. The option to be determined within ten years from the date of the completion of the title to the company of the timber on the 40,180 acres. The price to be the same as that paid per acre for the timber on the 40,180 acres. 3. The prices to be. paid by the company to the vendors for timber taken during— £ s. d. The first 15 years ... ... ... 10 0 0 per acre. The next 10 '„ ... ... ... 12 10 0 10 „ 15 0 0 10 „ 17 10 0 5 „ 20 0 0 Thereafter ... ... ... 100 0 0 4. The company has no right to the land save only to the use of it so far as it is requisite to have the timber cut and removed. 5. Any timber of less than 18 in. in diameter measured 1 ft. from the ground-line must not be cut, and is the property of the Maoris owning the land. 6. The company is to construct a railway from Kakahi Station, on the North Island Main Trunk line, to Lake Taupo, a distance of about forty miles. 7. The Maori owners are to sell for £1 per acre the fee-simple of the land necessary for the said railway, in terms of the Order in Council dated the 22nd January, 1908. 8. The timber on the areas proposed to be taken in pursuance of the aforesaid Order in Council is to be paid for by the company at the same rates as for timber as set out in paragraph 3 hereof. 9. The railway shall be fully completed and supplied with the necessary rolling-stock within the period of five years from the acquisition by the company of a registrable title to the timber sold : Provided that, if the company, proceeding with all due diligence, shall be unable to complete the construction of the said railway within the time aforesaid, it may obtain a reasonable extension of time, not exceeding twelve months, from the vendors. 10. The railway shall be constructed in a substantial manner, and the following requirements shall be observed in such construction : namely,— (a.) The gauge shall be 3 ft. 6 in. (b.) The sleepers shall be heart of totara or matai, and shall not be less than 2,200 to the mile. (c.) Rails shall be of steel, weighing not less than 30 lb. per lineal yard. (d.) Curves shall be of not less than 2 chains radius. (c.) The grade shall not be steeper than 1 in 40 on a straight line, with flatter grades to compensate for curvature. (/.) All bridges shall be heart of totara, iron, or concrete. (g.) Cuttings shall be made at least 9 ft., and banks 10 ft. wide, measured at formation-level. (h.) Slopes of cutting in pumice country to be practically vertical, and in other material as steep as may be found reasonably safe. (i.) Ballast to be of any pumice or other porous soil found contiguous to the line,

3

G.—lt.

11. If the agreement is put an end to, or if the company fails to continue running the railway, or after the term of fifty years, the Maori owners are to have the option of purchasing the railway at £1 per acre for the land and paying for the line, bridges, buildings, &c.; but no price is to be allowed for any goodwill or privilege of running. The price is to be fixed by arbitration if the parties do not agree. 12. The moneys payable by the company in terms of this agreement to the Maori vendors are to be paid to the Maniapoto-Tuwharetoa District Maori Land Board, whose receipt shall be a sufficient and valid discharge. 13. The moneys payable under paragraph 3 hereof shall be paid on the Ist day of March after any tree is felled upon any acre pursuant to this agreement; but so also that, while the payments made under paragraph 14 hereof shall exceed the sums per acre mentioned in paragraph 3 hereof for all timber so felled, no further payment shall become due hereunder. 14. The company shall from the Ist day of March, 1906, pay to the vendors the sum of two thousand five hundred pounds (£2,500) per annum on account and in anticipation of the consideration payable under paragraph 3 hereof, whether any royalties or moneys shall or shall not be payable under such paragraph in any year until the-company shall have obtained a valid and registrable title to the said trees and to the rights and other property benefits and advantages intended to be secured by this agreement or until the expiration of seven years from the Ist day of March, 1906, whichever event shall first happen. And thereafter the company shall pay to the vendors the sum of five thousand pounds (£5,000) per annum during the continuance of this agreement on account and in anticipation of such consideration, whether or not the royalties or moneys payable under such clause shall amount to such sum or not in any year; but the company shall not be entitled to deduct from such annual payment of £5000 any annual payment of £2,500 made under this clause. No deduction is to be made by the company from the sums payable under paragraph 3 hereof to the owners of the land selected, marked off, and surveyed, by reason merely of any part of the moneys payable under this paragraph having been paid to persons who shall upon such lands being selected, marked off, and surveyed as aforesaid, be ascertained to have no interest in such lands. 15. If any payments are overdue, further timber is not to be removed. 16. Out of the moneys received the Board is to retain 5 per cent., to be expended as follows :— (a.) To defray the costs of completing the title, ascertaining relative interests, appointment of successors, surveys, and such other proper and lawful expenses; (b.) Towards reforesting; (c.) Towards paying for improving any portions of the said lands, such as clearing, fencing, grassing, and purchasing stock; (d.) Towards paying rates and taxes; (c.) Towards the construction of roads as means of access to any property of the owners. 17. The company is to pay a commission of per cent, on the amount payable by the company in each year to the Board, to defray the cost of receiving and paying out such moneys to the individual Maori owners in the respective blocks; and this commission is to be deemed .a sufficient payment to the Board for all the control it may undertake in carrying out the agreement. 18. The sums stated as payable under paragraph 3 hereof shall belong and be paid to the vendors in the same proportion that their respective interests in the lands in the said blocks containing timber-trees and comprised in this agreement or any duplicates thereof bear to the total of the interests of the owners of such lands. If at any time hereafter any of the said trees in any block within the area selected, marked off, and surveyed shall before the timber shall have been taken therefrom revert.to the owners thereof, either by the surrender of such trees by the company, or by the determination of this agreement, or otherwise, then the owners of the blocks of land from which the trees shall have been cut shall be entitled to a pecuniary contribution from the owners of the trees

G.—lt.

4

so reverting equivalent to the amounts received by such owners from the company, and the company shall be jointly and severally liable with the owners of the trees so reverting for the amount of such pecuniary contribution; and provided, further, that the owners of the blocks of lands from which the trees shall have been cut, and the company, if the company shall have been compelled to make such pecuniary contribution, shall have a charge upon the lands and trees Of the owners so reverting as aforesaid for the amount of such pecuniary contribution. 19. Maori owners are to have preference of employment. 20. The local and other rates are to be paid by the Maori vendors (see paragraph 16). In making up an estimate of the cost of the timber to the company it would, we think, be fair to take £12 10s. as the average price per acre for the whole term of fifty years, as no doubt the greatest quantity would be taken during the first fifteen years. From the tables (Appendix A) supplied to us it will be found that the estimate of timber on the area selected is as follows :—■ Per Cenfe Per Cent. Per Cent. Totara .. 23 Kahikatea .. 5 Maire .. 2 Matai .. 29 Miro .. 8 Kimu . . 33 The average superficial feet per acre of the selected area is about 35,200 ft.; and over the outlying area 12,700 ft. Taking the average 35,200 ft., and the percentage of kinds, it will be found that £12 7s. per acre will give the following royalties : — s. d. Totara ... ... ... ... 1 2 per 100 ft. Matai ... ... ... ... 0 8 Other timbers ... ... ... 0 6 „ And if the cost of paying the amount, 2-g per cent., be added, and something allowed for the loss on the railway, it will tie found that the cost to the company will much exceed these royalties. The two main questions for our consideration are— (1.) Is this a fair and equitable agreement so far as the Maori owners are concerned ? (2.) Is it such an agreement that in the public interest should be approved of % 1. We are of opinion that the agreement is in the interest of the Maori owners. The price to be paid, compared with prices paid for timber in similar districts, is fair (see evidence given before the Native Affairs Committee, Appendix to the Journals of the House of Representatives, 1903, 1.-3 a). In considering the price, the advantage to the Maori owners of the railway which has to be constructed by the company cannot be overlooked. The railway will connect them with the North Island Main Trunk Railway, and give the Maoris an easy mode of access and egress to and from their kaingas and property, and will also insure an increase in the value of their lands. It will be the means of opening up the country round about Lake Taupo mostly belonging to the Maoris concerned in this agreement, which in the ordinary course of events would not be readily accessible for a very long period of time. The railway charges are to be the same as those charged on the Government lines. The construction of this railway will give valuable employment to the Maoris, and the employment that will be insured to them through the timber-works is of inestimable value. The Maoris have not the means of opening up their lands, and this must be done either by the Government or a company. 2. We are of opinion that the agreement is in the public interest. It will be the means of bringing a great area of land practically lying waste into profitable use not only to the owners, but to the Dominion. The railway proposed will be the means of opening up a new district and helping settlement. It may be said that such an agreement grants a monopoly of a large timber area; but

G.—lt

5

the only way, as we have already said, in which the area can be opened up is either by the Government or a company. Would the Government be prepared to pay the price of £10 per acre for the timber and to construct a railway in five years ? The construction by the Government of a similar railway, though with heavier rails, has cost between £6,000 and £7,000 per mile (the Stratford line, for example). Is the Government prepared to expend a quarter of a million on the railway, and to buy the timber at the price mentioned ? The price paid for similar land, containing enormous areas of bush, by the Government averaged about 10s. per acre; and it must not be forgotten that this price included the freehold. We mention as an example the Waimarino and Eangitoto-Tuhua Blocks. If the Government is not prepared to give better terms than those offered by the company to the Maoris, then no just reason can be raised against the owners entering into this agreement and doing their best with their timber and lands. No doubt the company would not enter into the agreement if it did not think that it would be a profitable one; but neither would settlers take up land, or work mines, or build shops, or undertake any enterprise if a profit did not seem certain. There are many companies, corporations, and banks in New Zealand, and they are not philanthropic institutions. Is the Government to undertake all these enterprises ? The terms as set out in this report are, in our opinion, what should be embodied in the agreement; and in order that the new agreement may be effectively and quickly carried out we recommend that the Maniapoto-Tuwharetoa District Maori Land Board be authorised by statute to enter into the agreement as agent for the Maori owners. Seeing the great advantages that will accrue to both the Maori owners and the Dominion, the Government and Parliament should, in our opinion, lend their beneficent aid to the speedy execution of the agreement. We have the honour to be Your Excellency's most humble and obedient servants, Eobebt Stout, A. T. Ngata, Commissioners.

G.—lt

6

TONGARIRO TIMBER COMPANY (LIMITED). Selected Areas (Estimated).— Total Areas, Quantities, and Kinds of Timber. (22/7/08.)

APPENDICES. APPENDIX A.

Divisions. Area. Totara. Matai. Kahikatea. Rimu. Miro. Maire. o -r ce -£ a o oo o A Division Totals. t a> W>— ft =3 eg O S's«-i >cc u * Is. P_ H. 3 Acres. Per Cent. Superficial Feet. Per Cent. Superficial Feet. Per Cent. Superficial Per Feet. Cent. Superficial Feet. Per Cent. Superficial Feet. Per Cent. Superficial Feet. Per Cent. Superficial Per Feet. Cent. Northern .. Eastern A . . 5 Eastern B . .' Western A .. 18,585^ 13,998: 4,715 2,882! 46 35 12 7 161,741,000 85,153,000 70,268,000 3,207,000 320,369,000 28-3 15-7 33-6 3-4 149,756,000! 186,140,000 66,270,000 12,732,000 26-2 34-6 31-7 13-4 950,000 25,797,000 275,000 49,640,000 0.2 4-8 01 51-7 180,799,000 192,211,000 57,425,000 29,203,000 31-7 35-7 27-6 30-1 58,528,000 35,856,000 14,274,000 570,000 10-3 6-7 6-8 0-6 18,742,000 13,571,000 349,000 733,000 3-3 2-5 0-2 0-8 100 100 100 100 570,516,000 538,728,000 208,861,000 96,085,000 40 38 7 30,70 38,501 44,30 33,301 Totals .. 22-7 : 29-3 5-4 i 32-5 7-7 ! 2-4 40,180; 100 414,898,000 76,662,000! 459,638,000 109,228,000 33,395,000 100 1,414,190,000: 100 35,201

G.—lt

7

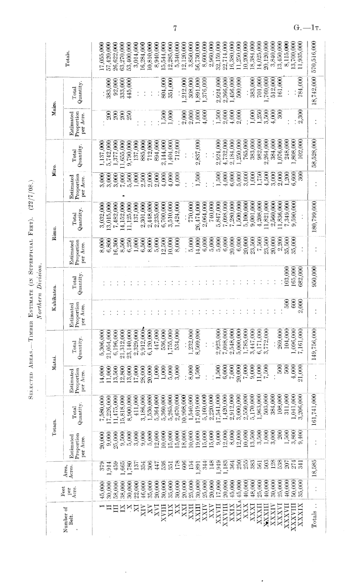
Selected Areas.— Timber Estimate (in Superficial Feet). (22/7/08.) Northern Division.

Totara. Matai. Kahikatea. Rimu. Miro. Maire. Number of Belt. Feet Area, Acres. per Acre. Estimated Proportion per Acre. Total Quantity. Estimated Proportion per Acre. ! Total Quantity. Estimated ™ . , t, .. lotal Proportion ... per Acre. : Q uant %- Estimated Proportion per Acre. Total Quantity. Estimated T . , r, .. lotal Proportion Quantit per Acre. ; J Estimated „, . , t, ,. lotal Proportion Quantit per Acre. J Totals. I I II III IX i X XI XIV XV XVI XVIII XIX XX XXI XXII XXIII XXIV XXV XXVII XXVIII XXIX XXIXa XXX XXXI XXXII XXXIII XXXIV XXXVI XXXVII XXXVIII XXXIX 45,000 30,000 58,000 38,000 30.000 22,000 46,000 35,000 20,000 30,000 35,000 30,000 20,000 25,000 30,000 25,000 20,000 17,000 20,000 45,000 45,000 40,000 48,000 25,000 40,000 30,000 25,000 40,000 50,000 35,000 I 379: 1,914 459 : 1,665; 1,780 137 354: 306 447 536 351 178 606' 154 1,891 344 148 1,949 1,183 364 250 255 383 561 503 128 538 207 274 341 20,000 9,000 25,000! 9,500 5,000 3,000 9,000 5,000 12,000 10,000 15,000 15,000! 18,000 10,000 19,000 15,000 15,000 9,000 12,000 8,000 12,000 10,000 13,500 3,500 1,000 3,000 200 1,500 3,800 9,400 7,580,000 17,226,000 11,475,000 15,818,000 8,900,000 411,000 3,186,000 1,530,000 5,364,000 5,360,000 5,265,000 2,670,000 10,908,000 1,540,000 17,019,000 5,160.000 2,220,000 17,541,000 1,420,000 2,912,000 3,000,000 2,550,000 5,170,000 1,963,000 503.000 384,000! 108,000 311,000 1,041,000 3,206,000 14,000 11,000 13,500 12,8001 13,000! 17,000 28,000 20,000 1,000 l,000j 5,000 3,000 8,000 4,500 1,500; 6,000! 7,000j 20,000 7,000; 9,000 11,000 7,500 500 500 ! 4,000 21,000' 5,306,000: 21,054,000 6,196,000; 21,312,000 23,140,000 2,329,000 9,912,000'6,120,000; 447,000 536,000 1,755,000 534,000 1,232,000 8,509,000 2,923,000 7,098,000 2,548,000 5,000,000! 1,785,000. 3,447,000 6,171,000 3,772,000 269,000 104,000 1,096,000 7,161,000 500 600 2,000 103,000 165,000 682,000 8,000 6,800 16,300 8,500 6,250 1,000 6,500 8,000 5,000 12,500 10,000 8,000 5.000 14,000 6,000 5,000 5,000 6,000 20,000 6,000: 20,000 23,500 7,500 23,500 20,000 2,200 35,500 35,000 3,032,000 13,015,000! 7,482,000 14,152,000 11,125,000 137,000 2,301,000; 2,448,000 2,235,000; 6,700,000 3,510,000 1,424,000 770,000 26,474,000 2,064,000 740,000 5,847,000 7,098,000! 7,280,000 1,500,000 5,100,000 9,001,000 4,208,000 11,821,000 2,560,000 11,836,000 7,349,000 9,590,000 I 3,000 3,000 3,000 7,000 5,500 1,000 2,500 2,000 2,000 4,000 4,000 4,000 •• 1,500; 1,137,000 5,742,000 1,377,000 11,655,000 9,790,000 137,000 885,000 712,000 894,000 2,144,000 1,404,000 712,000 2,837,000 200 200 200 250 1,500 1,000 2,000 2,000 1,000 4,000 383,000 92,000 333,000 445,000 •• i 804,000 351,000 1,212,000 308,000 1,891,000 1,376,000 17,055,000 57,420,000 26,622,000 63,270,000 53,400,000 3,014,000 16,284,000 10,810,000 8,940.000 15,544,000 12,285,000 5,340,000 12,120,000 3,850,000 56,730,000 8,600,000 2,960,000 32,159,000 22,714,000 16,380,000 11,250,000 10,200.000 18,384,000 14,025,000 20,120,000 3,840,000 13,450,000 8,115,000 13,700,000 11,935,000 " 1,500 4,000 6,000 5,000 3,000 1,000 1,750 4,500 3,000 2,000 1,200 6,600 300 2,924,000 4,732,000 2,184,000 1,250,000 765,000 383,000 982,000 2,264,000 384,000 1,076,000 248,000 1,808,000 102,000 1,500 2,000 4,000 2,000 1,000 1,250 3,500 4,000 300 2,924,000 2,366,000 1,456,000 500,000 383,000 701,000 1,760,000 512,000 161,000 2,300| 784,000J Totals .. " • • 18,585 ] 161,741,000 161,741,000 149,756,000 149,756,000 950,000 180,799,000 58,528,000! 18,742,000 570,516,1 _j 1

G.—lt

8

Selected Areas.— Timber Estimate, etc.—continued. Eastern Division, Section A.

Totara. Matai. Kahikatea. Rimu. Miro. Maire. Number of Belt. Feet Area, Acres. per Acre. Estimated Proportion per Acre. Total Quantity. Estimated Proportion per Acre. Total Quantity. Estimated Proportion per Acre. Total Quantity. Estimated [ Proportion per Acre. ; Total Quantity. Estimated m . , t, lotal Proportion n , .., r . Quantity. per Acre. J Estimated n, . , t, Total Proportion ~ ... per Acre. Q uantlt yTotals. • II III IV V VI •VII VIIa VIII IX X XI XII XIII XIV XVIII XXIII XXIV XXV XXVI XXVII XXVIII XXIX XXX XXXI XXXII XXXIII XXXIV XXXV XXXVI XXXVII 35,000 55,000 40,000 40,000 20,000 50,000 50,000 55,000 70,000 35,000 37.000 45,000 30.000 25,000 42,000 30,000 45,000 50,000 25,000 55,000 35,000 50,000 90,000 66,000 40,000 30,000 20,000 30,000 45,000 30,000 277 165 362 197 548 589 1,129 391 10 215 400 475 471 210! 70 121 1,783 622 389 149 306 92 83 108 568 ; 957! 344! 609 1,3911 1,000 8,000: 10,000 16,000 7,000 2,000 2,000 3,000 1,500 500 7,000 5,000 7^000 7,000 500 2,000 7,000 3,000 60,000 40,000 12,000 2,000 4,000 3,000 9,000 5,000 165,000 2,896,000 1,970,000 9,424,000 7,903,000 782,000 800,000 1,425,000 707,000 105,000 490,000 605,000 12,481,000 4,354,000 194,000 298,000 2,142,000 276,000 4,980,000 4,320,000 10,404,000 1,136,000 3,828,000 1,032,000 5,481,000 6,955,000 5,000 9,000 25,000 25,000 20,000 19,000 10,000 8,000! 10,000 30,000 7,000 5,000 3,000 13,000 18,000 3,000 10,000 18,000 5,000! 7,000 12,000 ! 3,000 25,000, 20,000; 22,000 25,000 10,000 17,000 9,000 15,000 1,385,000 1,485,000 9,050,000 4,925,000 10,960,000 11,191,000 11,290,000 3,128,000 100,000 6,450,000 2,800,000 2,375,000 1,413,000 2,730,000 1,260,000! 363,000 ; 17,830,000, 11,196,000 1,945,000 1,043,000 3,672,000 276,000 2,075,000 2,160,000 19,074,000 14,200,000 9,570,000 5,848,000 5,481,000 20,865,000 1,000 6,000 2,000 18,000 25,000 6,000 8,000 3,500j 197,000 3,534,000 2,258,000 7,038,000 250,000 .. 2,850,000 3,768,000 245,000 30,000 45,000 7,000 4,000 9,000 22,000 27,000! 35,000 2,000 22,000 29,000| 16,000 3,500 8,000 20,000 23,000 20,000 17,000 45,000 12,000' 35,000 4,000 1,000; 4.000; 8,310,000: 7,425,000 2,534,000 788,000 5,301,000 24,838,000 10,557,000 350,000 645,000 8,800,000 13,775,000 7,536,000 735,000 560,000 2,420,000 41,009,000 12,440,000 6,613,000 6,705,000 3,672,000 3,220,000 332,000 108,000 3,468,000 •■ - 8,000 3,000 3,000 6,500 4,500 1,000 3,000 3,500 1,000 1,000 3,500 8,000 1,000 5,000 1,500 1,000 2,000 4,000 7,000 2,500 •■ 9,032,000 430,000 1,200,000 1,365,000 315,000 121,000 5,349,000 2,177,000 389,000 149,000 1,071,000 736,000 83,000 540,000 1,301,000 568,000 1,914,000 1,376,000 4,263,000 3,477,000 1,000 2,000 2,000 1,500 1,500 1,000 1,000 2,000 1,500 1,000 1,129,000 800,000 950,000 706,000 315,000 70,000 121,000 3,566,000 933,000 389,000 9,695,000 9,075,000 14,480,000 7,880,000 10,960,000 29,450,000 56,450,000 21,505,000 700,000 7,525,000 14,400,000 21,375,000 14,130,000 5,250,000 2,940,000 3,630,000 80,235,000 31,100,000 9,530,000 8,195,000 10,710,000 4,600,000 7,470,000 7,128,000 34,680,000 17,040,000 19,140,000 10,320,000 27,405,000 41,730,000 500 500 153,000 46,000 500 46,000 500 1,500 500 433,000 852,000 478,000 •• 500 500 284,000 479,000 1,500 2,000 913,000 2,782,000 3,000 6,000 18,000 3,000! 2,871,000 2,064,000 10,962,000 4,173,000 305,000 3,478,000 500 2,500 ! i | Totals I .. 13,998 -- 85,153,000 -- 186,140,000 25,797,000 192,211,000| 35,856,000 13,571,0001 538,728,000

G.—lT

9

Selected Areas.— Timber Estimate, etc.— continued.

2—G. It.

Totara. Matai. Kahikatea. Rimu. Miro. Maire. Number of Belt. Feet Area, Acres. per Acre. I Estimated Proportion per Acre. I Total Quantity. Estimated Proportion per Acre. Total Quantity. Estimated ™ . , r, ,. lotal P p r e 0 r P ~ Q— %■ Estimated Proportion ! per Acre, i Total Quantity. Estimated m . , t, ,. lotal Proportion Quantit per Acre. J Estimated t o i -, . lotal Proportion r. 1 . Quantity, per Acre. J Totals. Eastern Division, Section B. III 40,000 IV 50,000 §IVa 45,000 V 55,000 VI 40,000 VII 45,000 IX 50,000 X I 32,000 XI 40,000 XII 30,000 XIII 40,000 208 141 275 672J 406 272 921 233 1,245 131 211 15,000 30,000 30,000 17,000 7,000 10,000 14,000 7,000 15,000 2,000 20,000 3,120,000 4,230,000 8,250,000 11,424,000 2,842,000 2,720,000 12,894,000 1,631,000 18,675,000 262,000 4,220,000 22,000 20,000 10,000 22,000 12,000 9,000 12,000 7,000 13,000 20,000 12,000 4,576,000 2,820,000 2,750,000 1,000 275,000 2,000 14,784,000 .. .. 12,000 4,872,000 .. .. 16,000 2,448,000 .. .. 21,000 11,052,000 .. .. 23,000 1,631,000 .. .. 14,500 16,185,000 .. .. 8,000 2,620,000 .. .. 3,000 2,532,000 .. .. 8,000 550,000; 8,064,000 ! 6,496,000 ' 5,712,000 21,183,000 3,379,000 9,960,000 393,000 1,688,000 3,000 2,000 4,000 5,000 5,000 1,000 2,000 4,000 5,000 624,000 550,000 2,688,000 2,030,000 1,360,000 921,000 466,000 4,980,000 655,000 •• I .. .. 8,320,000 7,050,000 12,375,000 36,960,000 16,240,000 12,240,000 46,050,000 7,456,000 49,800,000 3,930,000 8,440,000 1,500 349,000 .. Totals .. 4,715 70,268,000 66,270,000 275,000 57,425,000 14,274,000 349,000 208,861,001 WW estern Di •ision, Section A. I III IV VIII 65,000 210 48,000 394 28,000 555 28,000 1,723 3,000 4,000 250 500 630,000 1,576,000 139,000 862,000 7,500 10,000 4,000 2,900 1,575,000 3,940,000 2,220,000 4,997,000 42,000 26,000 18,000 12,000 8,820,000i 12,000 10,244,000! 7,500 9,900,000 5,500 20,676,000 12,000 2,520,000 2,955,000 3,052,000 20,676,000 ■■ •• 139,000 431,000 500 500 105,000 197,000 13,650,001 18,912,001 15,450,001 48,073,00( 250 250 250 431,000 Totals .. i I 2,882 3,207,000 12,732,000 49,640,000 29,203,0001 570,000 ■ - 733,000 96,085,001

G.—lt.

Outlying Areas (Estimated).— Total Areas, Quantities, and Kinds of Timber. (22/7/08.)

Outlying Areas.— Timber Estimate (in Superficial Feet). (22/7/08.) Northern Division.

10

Totara. Matai. Kahikatea. Rimu. Miro. Maire. Number of Belt. Feet Area, Acres. per Acre. Estimated Proportion per Acre. Total Quantity. Estimated Proportion per Acre. Total Quantity. Estimated n, , , D .. Total Proportion r. ... per Acre. Q uan *%- Estimated Proportion per Acre. I Total Quantity. Estimated Proportion per Acre. Total Quantity. Estimated ~ , Proportion r, ... per Acre. Quantity. Totals. IV V VII VIII XII XXVI XXXV XL 12,000 10,000 9,000 15,000 12,000 10,000 15,000 8,000 199 184 1,218 210 1,412 140 255 137 1,000 1,000 4,500 1,000 6,000 10,000 3,000 1,000 199,000 184,000 5,481,000 210,000 8,472,000 1,400,000 765,000 137,000 5,000 4,000 1,100 12,000 3,300 995,000 736,000 1,240,000 2,520,000 4,660,000 4,000 4,000 500 .. 796,000 736,000 609,000 2,000 1,000 2,700 2.000 2,300 398,000 184,000 3,289,000 210,000 3,248,000 200 400 243,000 565,000 2,388,001 1,840,00( 10,862,001 2,940,001 16,945,001 1,400,001 3,825,001 1,096,001 1,000 137,000 8,000 4,000 2,040,000 548,000 1.000 137,000 4.000 1,000 1,020,000 137,000 Totals .. 3,755 16,848,000 10,288,000! 4,729,000! 7,466,000 1,965,000 41,296,01

Area. Totara. Matai. Kahikatea. Rimu. Miro. Maire. 9 bo — te Division Totals. 42 SO o O n't -j i 2P-C " Divisions. . Per Superficial Per Acrea - Cent. Feet. Cent, : I Superficial Feet. Per Cent. Superficial Per Feet. Cent. Superficial , Per Feet. j Cent. Superficial Per Feet. Cent, Superficial Feet. | ! Per Cent. o co -- 1 g CD Superficial Feet. Per Cent. > ft DO Northern Eastern A .. Eastern B . . Western A . . Western B . . 3,755 1,512 1,369! 854| 12,319 18-9 16,848,000 40-8 7-7 2,774,000 12-8 6-9 7,762,000 40-7 4-3 835,000 9-9 62-2 9,541,000 6-2 100 37,760,000 15-4 10,288,000 3,298,000 7,617,000 835,000 4,097.000 24-9 15-1 40-0 9-9 2-6 401,000 2,638,000 4,361,000 i ; i 1-8 311 2-8 4,729,000 11,583,000 3,243,000 3,340,000 125,912,000 11-4 531 17-0 39-1 81-4 7,466,000 1,643,000 432,000 417,000 3,075,000 18-1 1,965,000 4-8 7-5 2,131,000 9-8 2-3 5-0 418,000 5-0 1-9' 7,751,000 5-1 ! 100 100 100 100 100 41,296,000 16-8 21,830,000 8-9 19,054,000 7-8 8,483,000 3-5 154,737,000 630 245,400,000 100 10,900 14,500 13,900 9,900 12,600 I 10-7 — Totals .. 19,285 26,135,000 7,400,000 30 148,807,000 60-6 13,033,000 5-3 ; 12,265,000 50 100 12,700

11

G.— lt

Outlying Areas.— Timber Estimate, etc.— continued.

Totara. Matai. Kahikatea. Rimu. Miro. Maire. Number of Belt, Feet per Acre. Area, Acres. Estimated Proportion per Acre, i Total Quantity. Estimated : ™ . , t, ,. lotal 5*gH Quantity. Estimated T Proportion .-, per Acre. Q» antlt yEstimated Proportion per Acre. Total Quantity. Estimated Total Proportion Quantit per Acre. J Estimated .-, . , t, ,. lotal Proportion Quantit per Acre. J Totals. j Eastern Division, Section A. XIV XVII XIX XXI XXII 15,000 20,000! 20,000' 20,000: 8.000; 160 240 401 118 593 1,000 4,250 2,000' 1,000 240,000 1,705,000 236,000 593,000 3,000 7,000 2,250 2,000 480.000 .. .. 11,000 1.680,000 .. .. 10,000 902,000 1,000 401.000 8,500 236.000 .. .. 14,000 4,000 1,760,000 2,400,000 3,409,000 1,642,000 2,372,000 > 1,000 2,000 1,000 240,000 810,000 593,000; 1,000 1,000 1,000 2,000 2,000 160,000 240,000 902,000 236,000 593,000 2,400,001 4,800,001 8,129,001 2,350,001 4,151,001 Totals .. j I 1,512 2,774,000 I 3,298,000 401,000! 11,583,000 1,643,000! 2,131,000! 21,830,001 Eastern Division, Section B. II 15,000 XIV 20,000 XV 10,000 432 342 595 8,500 5,000 4,000 3,672,000 1,710,000 2,380,000 i 7,762,000; 4,000 12,000! 3,000 1,728,000 .. .. 1,000 4,104,000 .. .. 3,000: 1,785,000 .. .. 3,000 7,617,000 432,000 1,026,000 1,785,000 3,243,000 1,000 432,000 432,000 6,264,00* 6,840,00* 5,950,00* 19,054,00* _ . '" Totals .. J 1,369 7,762,000; 7,617,000! 3,243,000 [ 19,054,001 Western Division, Section A. ii ; 11,000 V : 7,000 Totals .. J 835 19 854 1,000 835,000 835,000; 1,000 835,000! 3,000 2,505.000 4,000 7,000 133,000 835,000 .. 2,638,000: 3,340,000 3,340,000 500 ~~t 417,000 417,000 500 418,000 418,000 i I 8,350,0( 133,(M 8,483,0( 854 835,000: 835,000! 2,638,000: 3,340,000 i 417,000 418,000 8,483,00* I [20,000 i III 7,000 ; ( IV ; 10,000 5,652 6.169 498 : 5,652 6.169 498 : 1,600 1,600 9,043,000 498,000 9,043,000 498,000 200 400 200 400 Western Division, Section B. 1,131,000 400! 22,261,000 15,200: 2,468.000 300: 1,851.000 6.000 498.000 .. 249.000 Western Division, Section B. 1,131,000 400J 22,261,000 15,200: 2,468.000 300: 1,851.000 6.000 498,000 .. 249.000 85,910,000 37,014,000 2,988,000 85,910,000 37,014,000 2,988,000 500 : 500 , 2,826,000 249,000 2,826,000 249,000 1,000 ! 300 1,000 300! 5,652,000 1,850,000 249,000 5,652,000 1,850,000 249.000 i 1 i 106,823,00* 43,183,00* 4,731.00* 106,823,0* 43,183,01 4,731.0* Totals .. .. U 12,319 2,319 9,541, OOO: 9,541, OOOJ 4.097,000 4,097,000 .. 4.361.000 .. 1 i i I ! 4.361.000 125,912,000 125,912,000 3,075,000! 3,075,000 7,751,000 7,751,000 154,737,001 154,737,0*

G.—lt

12

B.

An Agreement, made the day of , 1906, between fhe persons named and described in the first column at the foot hereof or any duplicate hereof, being such of the owners of the blocks of land described in the schedule hereof as shall sign these presents or any duplicate hereof (who and whose executors, administrators, .successors, and assigns are hereinafter called the Vendors), of the one part, and the Tongariro Timber Company (Limited) (which, and its successors and assigns, are hereinafter called the Company), of the other part: Whereby it is agreed as follows: — 1. Each of the Vendors (on executing these presents) hereby agrees, subject to the provisions hereinafter contained, to sell, and the Company hereby agrees to buy, for the purpose of cutting for timber, all the totara, matai, maire, kahikatea, rimu, toatoa, kahikawaka, manoao, kowhai, miro, rewarewa, hinau, and kahikatoa trees, being of a diameter of not less than eighteen inches at a length measured one foot from the ground-line, at the date hereof fit for cutting for timber purposes, standing or being upon all those blocks of land described in the schedule hereto, and delineated on the plan drawn hereon and coloured red, all which trees are hereinafter referred to as " the said trees." 2. The property in the said trees shall pass to and vest in the Company immediately upon the execution of these presents if it is lawful or legally possible for the Company to then acquire ths same upon the terms set forth herein. 3. If it is not lawful or legally possible for the Company to acquire any property in the said trees or any of them whilst standing, upon the terms set forth herein (on the ground that if it did it would be acquiring an estate or interest in the said piece of land or for any other reason), then the property in each of the said trees shall (subject to the provisions of paragraph 4 hereof) pass to and vest in the Company immediately on such tree being at any time felled, whether by the Vendors or any of them, or b} - the Company, or any other person or persons, and whether in pursuance or intended pursuance of these presents or not. 4. If it is neither («) lawful nor legally possible for the Company to acquire property in the said trees or any of them as provided in paragraph 2, nor (b) lawful for the Vendors to contrad as jn paragraph 3, nor legally possible for them to bind themselves and the property in the said trees as therein provided, then the property in any of the said trees shall pass to and vest in the Company immediately on such tree being at any time felled, either b} - or on behalf of the Company, or by or on behalf of the Vendors or any of them, in pursuance or intended pursuance of these presents. 5. Subject to the provisions contained in paragraphs 8, 9, and 10 hereof, each Vendor as from the date of the execution of these presents by him or her doth hereby give to the Company full license and permission at any time and from time to time to enter upon any part of the said blocks of land, and to fell and cut all or any of the said trees or any other trees then standing on the said blocks of land, and to remove and take away all or any of the said trees and all other trees when felled either by the Company or by the Vendors or any of them, or any other person or persons, or otherwise in any way severed from the land ; and for all or any of such purposes to make, maintain, and use all such roads, tracks, bridges, and tramways upon any part of the said blocks of land as the Company may require, and to use any rivers or streams flowing through or along the boundary of the said blocks of land for the purpose of floating down the said trees, and to construct such dams and booms as the Company shall deem necessary ; and to cut and use any timber or wood they may find on the said blocks of land convenient for the making or maintaining of any such roads, tracks, bridges, or tramways, and dams or booms. 6. The respective Vendors shall and will, at their own cost and expense, forthwith take all steps and proceedings which may be necessary to enable them to grant to the Company a registrable title to the said trees and to the rights and other benefits and advantages intended to be secured by this agreement. And the Company shall and will, at its own cost, do and take all acts, steps, deeds, and proceedings reasonably within its power to assist the Vendors in procuring such registrable title. 7. When and so soon as the Vendors shall be in a position to grant a registrable (or otherwise valid) title to the said trees and to the said rights, benefits, and advantages, the Vendors will, at their own cost, execute such documents, instruments, and assurances, and do all such other acts, matters, and things as shall be necessary to grant to or vest in the Company a registrable title as aforesaid, but all such documents, instruments, and assurances shall be prepared and registered and completed by and at the cost of the Company. 8. The Company shall not be bound to purchase the trees standing or being upon any acre of land which does not contain trees of the kind or any of them described in paragraph 1, aggregating at least 30,000 feet superficial of timber measured as provided by paragraph 10, unless such acre shall have bee?/ or be part of the lands selected, marked off, and surveyed under the provisions of paragraph 10 hereof: Provided that the company shall not be compelled to purchase any of the said trees unless the lands selected as provided in the said paragraph 10 shall contain at least five hundred million feet of inch superficial totara and matai timber. The Company in cutting the said trees shall as far as practicable do so in such a manner as to leave in final form rectangular areas of cleared land, and for the purposes of these presents the Company shall from

13

Gk—lt

time to time, on the reasonable request of the Vendors and at the cost of the Company, have the areas of the said blocks of land from which the said trees shall be cut surveyed by an authorised surveyor, and deliver a copy of the survey plan to the Vendors. 9. All trees which the Company declines to accept under paragraph 8 hereof shall be deemed to be excepted from and released from the operation of paragraphs 1, 2, 3, 4, and 5 of this agreement. 10. The Company shall within five years of the Ist March, 1906, cause the lands on which they have agreed to purchase the trees, as provided by paragraphs 1, 2, 3, 4, 5, and 8 hereof, to be selected, marked off, and surveyed, and where necessary the trees thereon measured at their own cost; and in measuring the said trees they shall be measured or calculated in the round as standing timber, in the same manner as Crown Lands Boards measure and calculate timber in selling the same on Crown lands, and the Company shall within the same period select and decide upon the route for the railway hereinafter mentioned. 11. If the Company shall be unable, after taking all reasonable steps for that purpose, to obtain the execution by the whole of the necessary owners of the said blocks of land of these presents or a duplicate thereof, the Company may at any time give notice to the Vendors that they desire the said blocks of land, or any one or more of them, to be partitioned in such a manner that a distinct part thereof may be awarded to or amongst the Vendors alone in one or more subdivisions, and the remainder to the Native owners who have not executed these presents, and thereupon the Vendors shall at once take and prosecute all necessary proceedings for obtaining such partition. 12. Upon any such partition as is provided for in paragraph 11 hereof being carried out these presents shall (as regards all things thereafter to be done or to take place, and as regards the property in such of the said trees as shall then be standing) apply, and be deemed to have applied in every respect as nearly as may be, as if they had been executed immediately after such partition and had comprised and referred to such and such only of the said trees as shall at the date of such partition be standing upon the subdivision or subdivisions which shall be awarded to the Vendors or any of them, and had referred to the said subdivision or subdivisions onl} T instead of to the whole of the said piece of land. In the event of the said blocks of land being partitioned no reduction shall be made in the amounts payable under paragraph 16 hereof. 13. When and so soon as a registrable title has been obtained by the Company to the said trees and to the timber rights and other rights and interests comprised within this agreement the work of felling the said trees and removing the same from the said blocks of land shall be commenced, carried on, and completed as soon as shall be reasonably possible having regard to the circumstances of the case, to the means of access, and to the time required for making preliminary arrangements, and for economically and profitably commencing, carrying on, and completing the said work according to the ordinary course of sawmilling or timber-merchant's business: Provided that nothing herein contained shall prejudice the right of the Company to fell and remove the said trees before such title shall have been obtained. 14. As part of the consideration for the rights hereby conferred upon the Company it shall pay to the Vendors for any of the said trees felled during the periods hereinafter mentioned at the rates following—that is to say, during the period of fifteen years from the Ist March, 1906, ten pounds per acre, during the following period of ten years twelve pounds ten shillings per acre, during the following period of ten years fifteen pounds per acre, during the following period of ten years seventeen pounds ten shillings per acre, during the following period of five years the sum of twenty pounds per acre, and thereafter the sum of one hundred pounds per acre ; but, so that the Company shall not be required to take any trees after the expiration of the last-mentioned period of five years, and so that if the Company shall thereafter cease operations, all trees growing or being on the said blocks of land shall forthwith revert to and revest in the Vendors. 15. The moneys payable under paragraph 14 hereof shall be paid on the Ist day of March after any tree is felled upon any acre, pursuant to this agreement ; but so also that, while the payments made under paragraph 16 hereof shall exceed the sums jut acre mentioned in paragraph 14 hereof, for all timber so felled no further payment shall become due hereunder. 16. The Company shall from the Ist day of March, 1906, pay to the Vendors the sum of two thousand five hundred pounds (£2,500) per annum on account and in anticipation of the consideration payable under paragraph 14, whether any royalties or moneys shall or shall not be payable under such paragraph in any year, until the Company shall have obtained a valid and registrable title to the said trees and to the rights and other property benefits and advantages intended to be secured by this agreement, or until the expiration of seven years from the Ist day of March, 1906, whichever event shall first happen. And thereafter the Company shall pay to the Vendors the sum of five thousand pounds (£5,000) per annum during the continuance of this agreement on account and in anticipation of such consideration, whether or not the royalties or moneys payable under such clause shall amount to such sum or not in any year : but the Company shall not be entitled to deduct from such annual payment of £5,000 any annual payment of £2,500 made under this clause. The first payment to be made under this paragraph shall be made on the execution of this agreement, and succeeding payments upon the Ist day of March in each year, so that the second payment shall become due upon the Ist day of March, 1907; provided that, for the purpose of calculating the amount payable under this paragraph to each Vendor before the Company shall have made the selection referred to in paragraph 10 hereof, it shall be assumed that the whole of tlio owners of the said blocks have signed this agreement, but upon such selection any portion of the said payments of ,£2,500 and £5,000 which may not have been appropriated shall be paid to the owners of the selected lands in proportion to their respective interests therein : Provided always that no deduction shall be made by the Company from the sums payable under paragraphs H and 15 hereof to the owners of the land selected, marked off,

G.—lt

14

and surveyed under the provisions of paragraph 10, by reason merely of any part of the moneys payable under this paragraph having been paid to persons who shall, upon such lands being selected, marked off, and surveyed, as aforesaid,, be ascertained to have no interest in such blocks. 17. The Company shall, as part, of the consideration for the rights hereby conferred upon the Company, at its own cost, construct a railway from the North Island Main Trunk Railway-line, commencing at a point thereon as nearly as possible opposite Whangaipeke or Taurewa Blocks, through such of the lands described in the schedule hereto as may be found convenient. And such line of railway shall run in the latter part of its course entirely to the north of the Kuharua Mountain, and continue north of such mountain until it strikes the shores of Lake Taupo at a terminal point situated northward of the Oreti No. 1 Block. The railway shall be constructed in a substantial manner, and the following requirements shall be observed in such construction, namely: — (a.) The gauge shall be 3 feet t> inches. (b.) The sleepers shall be heart of totara or matai, and shall not be less than 2,200 to the mile. (c.) Rails slinll be of steel weighing not less than 30 lb. per lineal yard. (d.) Curves shall be of not less than 2 chains radius. (c.) The grade shall not be steeper than 1 in 40 on a straight line, with flatter grades to compensate for curvature. (/.) All bridges shall be of heart of totara, iron, or concrete. (g.) Cuttings shall be made at least 9 feet, and banks 10 feet wide, measured at forma-tion-level. (h.) Slopes of cutting in jaumice country to be practically vertical, and in other material as steep as may be found reasonably safe. (i.) Ballast to be of any pumice or other porous soil found contiguous to the line. 18. The aforesaid railway shall be fully completed and supplied with the necessary rollingstock within the period of five years from the acquisition by the Company of such registrable title as aforesaid: Provided that if the Company, proceeding with all due diligence, shall be unable to complete the construction of the said railway within the time aforesaid it may obtain a reasonable extension of time not exceeding twelve months from the Vendors: Provided always that if the Company is, or shall be, unable to obtain a valid and registrable title to the said trees and to the rights and other property benefits and advantages intended to be secured by this agreement (including the railway-line) there shall be no obligation on its part to build such railway. 19. The Vendors shall transfer to the Company (if they are legally authorised to do so), free of cost, all land required by the Company for the railway-line mentioned in paragraph 17 hereof, and for such extensions and branches thereof as the Company may reasonably require, and also for the necessary railway-stations, provided that the land for the said railway-line extension and branches shall not exceed an average of more than one chain in width and the railway-stations shall not be more than six in number or contain a greater area than five acres each; and shall also transfer to the Company, at the fair value thereof (not being less than one pound [£I~\ per acre), such further areas as the Company may reasonably require for mill-sites, yards, and workmen's cottages, and the widening of railway-lines if required; and shall grant to the Company the exclusive right to erect, maintain, and exclusively use, for so long as this agreement shall remain in force, at or near the point where the aforesaid railway strikes Lake Taupo, such sheds, wharves, moles, and other erections as may be necessary or convenient to enable all goods and passengers to be stored, shipped, and unshipped. 20. The sums stated as payable under paragraph 14 hereof shall belong and be paid to the Vendors in the same proportion that their respective interests in the lands in the said blocks containing timber-trees, and comprised in this agreement or any duplicate thereof, bear to the total of the interests of the owners in such lands : Provided always that the owners of any block shall not receive more than the value of the lands containing timber-trees in such block estimated at the rate mentioned in the said paragraph 14 : And provided further that if at any time hereafter any of the said trees in any block within the area selected, marked off, and surveyed, as provided by paragraph 10 hereof, shall, before the timber shall have been taken therefrom, revert to the owners thereof, either by the surrender of such trees by the Company or by the determination of this agreement or otherwise, then the owners of the blocks of land from which the trees shall have been cut shall be entitled to a pecuniary contribution from the owners of the trees so reverting equivalent to the amounts received by such owners from the Company, and the Company shall be jointly and severally liable with the owners of the trees no reverting for the amount of such pecuniary contribution: And provided, further, that the owners of the blocks of land from which the trees shall have been cut, and the Company, if the Company shall have been compelled, to make such pecuniary contribution, shall have a charge upon the lands and trees of the owners so reverting, as aforesaid, for the amount of such pecuniary contribution. 21. If any of the said trees shall be destroyed after the date hereof, or damaged by fire, then, unless such fire shall have been caused by the Company, its servants or agents, a fair reduction shall be made from the price payable under paragraph 14 hereof in respect of each acre of timberaffected by such fire. 22. All payments to be made hereunder may be made at Tokaanu, Marton, Taumarunui, or the place of business for the time being of the Company on the said blocks of land, or may be made by sending the amount due to any Vendor in a duly registered letter, addressed to such Vendor's last-known place of abode in New Zealand ; provided that the Company shall send to each of the said places, at some time during the month of March in each year while this agreement shall remain in force, an agent, who shall pay to each of the Vendors who may apply to him for the same the

G.—lt

15

moneys due to such Vendor. All payments shall be made without any deduction for commission or otherwise, and shall not (unless the Company is legally compelled to do so) be paid by or through the Public' Trustee. All expenses incurred by the Company in connection with such payments shall be defrayed by the Company. 23. The Vendors shall pay all rates and taxes from time to time accruing, due to, or leviable by the Government or by any local bodies in respect of the said blocks of land and upon the timber thereon until felled. 24. The Company shall from time to time, upon the request of any of the Vendors, surrender, freed from all rights and interests of the Company, all or any of such parts of the said blocks of land belonging to the Vendor or Vendors making the request from which the timber has been cut and removed, provided the same shall not be land actually occupied by ways, buildings, erections, or plant, or otherwise required for the purpose of carrying on the Company's operations. 25. The Company shall, if it legally may, upon the construction of the railway in accordance with the provisions of paragraph 17 hereof, carry goods (other than timber and green and dressed flax) and passengers thereon, and shall not charge for the carriage of goods and passengers on the said railway higher rates than shall fin- the time being be charged on the New Zealand Government railways, provided that it shall not be compelled to work the said railway unless there is a payable traffic thereon. 26. The Company shall fence the railway-line whenever required for the protection of Native gardens and cultivations, and shall, if it elects or desires to fence the said railway or any part thereof, or is compelled to do so by the Government or by any local authority, or for any other reason, make no claim against the Vendors for contribution in respect of such fencing. 27. If and when the Company shall erect sawmills on the said blocks of land, and can conveniently do so, the Vendors shall be entitled to purchase sawn timber delivered at the mills at rates not exceeding for totara and matai eight shillings, and for rimu and other timbers six shillings per one hundred superficial feet, provided such timber shall not be purchased for sale, but for the erection of buildings to be occupied personally by the Vendors. 28. The Company will allow such of the Vendors as may for the time being be occupying or living on the said blocks of land to cut and use for their own purposes only, and not for sale, such of the said trees as they may reasonably require from time to time for building or fencing on any part of the said blocks of land, or other like purpose on the said lands, or for use as fuel on the said lands; but they shall not take any of the trees that may have been cut down, prepared, cut, or marked for removal by or on behalf of the Company, and for the purposes of fuel only waste timber shall be used; and in exercising the powers hereby reserved the Vendors shall in no way interfere with, hinder, or obstruct the work of the Company. 29. All costs incurred by the Company for preparation of this agreement and of any other documents ancillary thereto, including all fees for Native interpreters and attesting witnesses for interpreting and witnessing the execution of the said agreement and documents, shall be paid by the Company. 30. If any of the vegetation or timber on the said lands shall be burned, either designedly or by accident, it shall be lawful for the Vendors, at their own cost, to sow the same with grassseed, even though no surrender shall have been made as provided in paragraph 24 hereof. 31. The granting of the rights hereby conferred upon the Company shall not interfere with, limit, or curtail the rights of the Vendors in residing upon, cultivating, hunting, snaring birds, fishing, and shooting on the said blocks of land, or running pigs, horses, cattle, sheep, and other stock thereupon : Provided that in exercising such rights the Vendors shall not interfere with the Company's operations upon the said land. 32. The Company shall not, unless legally compelled so to do, appoint the Public Trustee, his agent, or attorney in any matters connected with the said railway or any other of the transactions or undertakings herein mentioned or described. 33. The Company shall, as far as practicable, employ the Vendors, or as many of them as they conveniently can (either alone or in conjunction with such other , workmen, either European or Native, as the Company may think fit to employ), in connection with their operations upon the said blocks of land ; provided they shall personally apply to the Company or its agent for such employment, and provided they are capable of doing such work satisfactorily and are willing to do the same for wages which the Company is prepared to pay to others for the same work, and shall do such in a satisfactory manner : Provided that if any Vendor shall refuse any such employment when offered, or neglect to do the work for which he shall have been employed, or fail to do it satisfactorily, such Vendor shall not thereafter have any right to further employment by the Company. 34. The Company shall keep proper books of account and plans showing the area of timberland cut, the date when each acre of the same has been cut, and the royalties paid in respect thereof ; and the Vendors shall be entitled at all reasonable times to have access thereto a*nd to make copies thereof. 35. All timber fit for sawmilling purposes on any lands transferred, in pursuance of the provisions contained in paragraph 19 hereof, shall be paid for at the rates mentioned in paragraph 14 hereof. 36. The Company hereby expressly disclaims any intention of acquiring any estate or interest in the said blocks of land or any part thereof, and it is hereby expressly agreed and declared by and between the Company and the Vendors that if any provision or portion of any provision hereof shall be void, on the ground that if valid the Company would under it acquire an estate or interest in the said blocks of land or any part thereof, or on any other ground, the fact of the same being void shall not affect the validity of any other provision or portion of a provision

G.—lt

16

hereof; but the same shall, notwithstanding, remain in full force and effect, and this agreement shall be read and interpreted as if the invalid provision or portion of a provision had not been originally inserted therein. ■37. Any notice to be given to the Vendors under any of the provisions hereof shall be deemed to be sufficiently given to the whole of the Vendors if it is personally served upon Te Heuheu Tukino at his residence for the time being in New Zealand, or sent to him in a registered letter to his last-known residence; and in the event of his death to be served in like manner upon some person to be appointed by the Vendors by notice in writing to the Company; and in the event of no person being so appointed the notice shall be deemed to be sufficiently given if it is published in the Kahiti. 38. The benefits and obligations hereby conferred and imposed upon the Vendors and the Company respectively shall extend to, and be binding upon, their respective successors, executors, administrators, and assigns. 39. The Company shall, out of the moneys payable to the Vendors under this agreement, pay to Messrs. Travels, Russell, and Campbell the sum of five hundred and fifty pounds (£550), being amounts due to them and for which they are responsible in connection with the negotiation, preparation, and perusal of these presents; and the receipt of the said Travers, Russell, and Campbell shall be a sufficient discharge for the same, the said five hundred and fifty pounds (£550) to be deducted by equal sums out of the three first years' payments to be made pursuant to the provisions of paragraph 16 hereof. 40. The Company shall from time to time deduct and retain five per cent, of the moneys from time to time due and payable to the Vendors under the provisions of this agreement, and shall from time to time pay the moneys so deducted and retained to the Public Trustee, upon trust, to hold and apply the moneys so received by them in discharging any legal or other costs that may from time to time be incurred by the Vendors in relating to the carrying-out of these presents or any matter or proceeding incidental thereto, and in reforesting and planting the said blocks of land. And these presents shall operate as a sufficient authority to the Company to deduct the said percentage and to pay the same to the said Public Trustee, whose receipt therefor shall be a sufficient discharge for the same: Pro rid f<l always that the Public Trustee shall pay thereout such sum only for legal and other costs so incurred as he shall deem to be reasonable under the circumstances. 41. If by reason of the default of the Company, or from any other reason or cause whatsoever, this agreement shall be cancelled or determined after the execution of the conveyance or transfer mentioned in paragraph 19 hereof the Company shall, so soon as the railway shall be completed, carry all timber and green and dressed flax cut and prepared by the Vendors, or by their assigns or licensees, along or over the said line at rates not exceeding those charged on the New Zealand Government railways. 42. If this agreement shall be cancelled and determined either by mutual agreement or through the default of the Company or of the Vendors, the Vendors shall grant to the Company, free of cost, such an area of the said trees on Hauhungaroa, Waituhi, Puketapu, Waimanu, or Waione and Whangaipeke Blocks, to be selected by the Compain*, as shall be equivalent in value to the amounts actually advanced in cash by the Company to the Vendors under the provisions of this agreement and in respect of which the Company shall not have cut and received timber, provided that in estimating such value it shall be calculated on the basis of fifty pounds per centum advance on the rates specified in paragraph 14 hereof: Provided that the Company's rights under this paragraph shall determine upon the expiration of fifteen years from the date of the acquisition by the Company of a registrable title to the said lands agreed to be transferred and the said trees hereunder. 43. Until such time as the Company shall obtain valid leases sufficient to enable it to graze the working-bullocks, horses, and milch-cows required for carrying on its operations, it shall be entitled to graze and run working-bullocks, horses, and not more than twenty (20) milch-cows on and over the said blocks of land, paying therefor the sum of one pound (£1) per annum for each bullock, horse, and cow running or grazing upon the said blocks of land in pursuance of this provision. 44. If the Company shall make default in any material matter in the observance or performance of any act, matter, or tiling to be by it done, observed, or performed under the provisions of this agreement, then the Vendors may serve upon the Company a notice demanding the observance or performance of such act, matter, or thing, and if such act, matter, or thing shall be such as may then be observed or performed, and if default shall be made for a further period of six months from the date of the service of such notice in the observance or performance of such act, matter, or thing, then the Vendors may cancel and determine this agreement without being liable to repay any moneys received by them under the provisions hereof, and without prejudicing or affecting any liability or obligation incurred by the Company under this agreement antecedent to such cancellation or determination : Provided always that such cancellation or determination shall not affect the title of the Company to any lands and rights transferred to it pursuant to paragraph 19 hereof, or to any area of the said trees granted or which the Company may properly claim to be granted under paragraph 42 hereof. 45. The marginal notes to this agreement shall not form part of this agreement, nor affect in any way the construction of any paragraph of this agreement. The Schedule hereinbefore referred to. All those blocks of land situated in the West Taupo County, and being known by the names of Whangaipeke, Pukepoto, Waione, Oraukura, Waimanu, Waiunu, Mangahouhou, Puketi (including all partitions thereof) (excepting, however, all the trees on the said Puketi Block), Raumata, Wai-

17

G.—lt

tuhi-Kuratau No. Iβ (762 acres), Waituhi-Kuratau No. 4, Waituhi-Kuratau No. 3 (100 acres), Hauhungaroa Nos. 1, 2, 6, 7, Pukawa Nos. 2d, 2e, 2f, 2g, Pukawa Nos. 3b, 3c, 3c 1 (10 acres), 3d, (excepting, however, all the trees on the said Pukawa 3d Block), 3d 1 (2 acres), Pukawa Nos. 4b 1, 4b 2, Okahukura Nos. 3, 4, 6, and also all those respective portions of the Puketapu and Hohotaka Blocks lying to the eastwards of a straight line drawn from Hauhungaroa trigonometrical station No. 1711 to the Hohotaka trigonometrical station No. 1699, and produced in a straight line southwards until it intersects the southern boundary of the said Hohotaka Block ; as the said blocks and parts of the said blocks respectively are delineated on the plan hereto and coloured red. Signed by the said several persons named in the first column hereunder, who respectively signed their names in the second column hereunder in the presence of us who respectively subscribe our names in the third and fourth columns hereunder as witnesses to the signatures opposite which our signatures respectively appear: And we, the persons so subscribing our names as witnesses, hereby severally certify that before this agreement was signed by the persons whose signatures are attested by us respectively it had indorsed thereon a translation in the Maori language of the contents thereof, certified as correct by a duly licensed interpreter, and also a plan of the blocks of land upon which the said trees are growing, and that this agreement was explained to each of the persons whose signature is attested by us respectively, by a licensed interpreter (who is also one of the attesting witnesses to such signature), before such person signed the same, and that we are satisfied that every one so signing understood the meaning and purport of this agreement.

By Authority : John Mackay, Government Printer, Wellington. —l9oB.

3—G. It.

Fibst Column. Second Column. Third Column. Fourth Column. Names of Persons signing. Signatures of Parties. Signatures of Attesting Witnesses. Signatures of Interpreters.

G It

This report text was automatically generated and may include errors. View the full page to see report in its original form.I whakaputaina aunoatia ēnei kuputuhi pūrongo, e kitea ai pea ētahi hapa i roto. Tirohia te whārangi katoa kia kitea te āhuatanga taketake o te pūrongo.
Permanent link to this item
Hononga pūmau ki tēnei tūemi

https://paperspast.natlib.govt.nz/parliamentary/AJHR1908-I.2.4.3.24

Bibliographic details
Ngā taipitopito pukapuka

NATIVE LANDS AND NATIVE-LAND TENURE: REPORT OF NATIVE LAND COMMISSION, ON AGREEMENT BY NGATITUWHARETOA TRIBE AND A COMPANY FOR SALE OF TIMBER AND CONSTRUCTION OF RAILWAY., Appendix to the Journals of the House of Representatives, 1908 Session I, G-01t

Word count
Tapeke kupu
10,832

NATIVE LANDS AND NATIVE-LAND TENURE: REPORT OF NATIVE LAND COMMISSION, ON AGREEMENT BY NGATITUWHARETOA TRIBE AND A COMPANY FOR SALE OF TIMBER AND CONSTRUCTION OF RAILWAY. Appendix to the Journals of the House of Representatives, 1908 Session I, G-01t

NATIVE LANDS AND NATIVE-LAND TENURE: REPORT OF NATIVE LAND COMMISSION, ON AGREEMENT BY NGATITUWHARETOA TRIBE AND A COMPANY FOR SALE OF TIMBER AND CONSTRUCTION OF RAILWAY. Appendix to the Journals of the House of Representatives, 1908 Session I, G-01t

Log in or create a Papers Past website account

Use your Papers Past website account to correct newspaper text.

By creating and using this account you agree to our terms of use.

Log in with RealMe®

If you’ve used a RealMe login somewhere else, you can use it here too. If you don’t already have a username and password, just click Log in and you can choose to create one.


Log in again to continue your work

Your session has expired.

Log in again with RealMe®


Alert