Page image
Page image
Page image
Page image
Page image
Page image
Page image
Page image
Page image
Page image
Page image
Page image
Page image
Page image
Page image
Page image
Page image
Page image
Page image
Page image

Pages 21-40 of 81

Pages 21-40 of 81

Page image
Page image
Page image
Page image
Page image
Page image
Page image
Page image
Page image
Page image
Page image
Page image
Page image
Page image
Page image
Page image
Page image
Page image
Page image
Page image

Pages 21-40 of 81

Pages 21-40 of 81

1939-1940.

NEW ZEALAND

SUPPLEMENTARY ESTIMATES OF THE EXPENDITURE OF THE GOVERNMENT OF NEW ZEALAND FOR THE YEAR ENDING 31st MARCH, 1940.

SUPPLEMENTARY ESTIMATES, 1939-40.

1939-1940.

SUMMARY.

1*

3

Summary of Services chargeable on ,, . . - Total. „ ... . , c , Mam Estimates. Estimates. the Consolidated Fund. Credits-in- AT , rr„-t„i„ Credits-in- Credits-in-aid. N Totals. aid _ Net Totals. ai(J _ Net Totals. CONSOLIDATED FOND. jg J0 jg jg jg jg ORDINARY REVENUE ACCOUNT. Permanent Appeopriations :— Civil List .. .. .. .. .. 30,200 .. .. .. 30,200 Debt Services, — Interest .. .. .. .. .. 8,036,380 .. .. .. 8,036,380 Sinking Fund .. .. .. .. 10,859 .. .. .. 10,859 Repayment of Public Debt . . .. 1,907,144 .. .. ., 1,907,144 Administration and Management .. .. 67,100 .. .. .. 67,100 Payments on Guaranteed Loans .. .. Cr. 1,500 . . .. .. Cr. 1,500 Securities redeemed .. .. .. 2,000 j .. .. .. 2,000 10,021,983 .. j .. .. 10,021,983 Under Special Acts of the Legislature,— Exchange .. .. .. .. 1,500,000 .. | .. .. 1,500,000 Highways .. .. .. .. 3,233,000 .. .. .. 3,233,000 Other Special Acts .. .. .. 345,991 .. .. .. 345,991 5,078,991 .. .. .. 5,078,991 •• 15,131,174 .. .. .. 15,131,174 — Vote, Legislative .. .. .. 1,293 109,995 .. .. 1,293 109,995 — ,, Prime Minister's Department .. •• 26,000 .. .. .. 26 000 Finance, — .— Vote, Treasury .. .. .. 9,336 48,200 .. .. 9,336 48,200 — ., Customs .. .. .. 28,425 174,958 .. .. 28,425 174,958 6 ,, Land and Income Tax .. 122,220 158,000 .. 9,600 122,220 8 ,, Stamp Duties .. .. 1,200 103,000 .. 778 1,200 103^778 10 „ Audit .. .. .. 37,000 42,979 .. .. 37,000 42^979 198,181 527,137 .. 10,378 198,181 537,515 General Administration, — — 11 Vote, Public Service Commissioner's 880 14,500 .. 360 880 14 860 Office 12 ,, Internal Affairs .. .. 135,389 609,500 .. Cr, 2,158 135,389 607,342 14 ,, External Affairs .. .. 41,500 214,722 .. 4,538 41,500 219^260 15 ,, Printing and Stationery .. .. 298,000 .. 1,200 .. 299.200 16 ,, Marine .. .. .. 4,965 204,112 .. .. 4,965 204'112 18 „ Labour .. .. .. 13,223 2,720,000 2,750 3,443 15,973 2,723,443 20 ,, Native .. .. .. 23,841 529,990 .. 9,220 23,841 539,210 — ,, Valuation .. .. .. 19,000 53,000 .. .. 19,000 53,000 —. „ Electoral .. .. .. 28 14,000 .. .. 28 14,000 22 ,, Census and Statistics .. 2,200 36,500 .. 100 2,200 36^600 241,026 4,694,324 2,750 16,703 243,776 4,711,027 Law and Order, — -- 24 Vote, Justice and Prisons .. .. 79,137 303,000 .. 5,000 79,137 308,000 —- ,, Crown Law .. .. .. 350 8,449 .. .. 350 8'449 26 ,, Police .. .. .. 5,534 625,000 .. 4,259 5,534 629^259 85,021 936,449 .. 9,259 85,021 945,708 Defence, — Vote, Navy .. .. .. 65,395 919,970 .. .. 65,395 919,970 — j „ Army .. .. .. 51,380 1,594,468 .. .. 51,380 1,594*468 — ,, Air .. .. .. 114,400 700,000 .. .. 114,400 700,000 231,175 3,214,438 .. j .. 231,175 3,214,438

4

SUPPLEMENTARY ESTIMATES, 1939-40.

SUMMARY—continued.

Page Summary of Services chargeable on 39-40. Supplementary Total. the Consolidated Fund and other Main Estimates. Estimates. Accounts— continued. — Credits-in- Credits-in- „ , „ , , Credits-in- AT _ , ai(1 _ Net Totals. aid Net Totals. aid Net Totals. Annual® Appropriations—continued. ££££££ J\£CLZTl/tSTbCLTtOS 28 Vote, Maintenance of Public Works 918,800 750,000 1,500 21,400 920,300 771,400 and Services Development of Primary and Secondary X ndustvics 29 Vote, Lands and Survey .. .. 69,150 323,996 .. 15,660 69,150 339,656 31 „ Agriculture .. .. .. 133,265 1,002,500 3,330 30,454 136,595 1,032,954 36 ' „ Industries and Commerce, Tourist 52,968 370,300 .. 1,429 52,968 371,729 and Publicity 37 ,, Scientific and Industrial Research 50,811 170,000 100 4,470 50,911 174,470 — „ Mines .. .. .. 13,960 90,000 .. .. 13,960 90,000 41 „ Transport .. .. .. 13,045 83,000 1,922 2,433 14,967 85,433 333,199 2,039,796 5,352 54,446 338,551 2,094,242 / SiOVIM P.0S - ———— — — ■ 44 Vote, Health' .. .. .. 75,715 1,537,000 275 9,978 75,990 1,546,978 47 „ Mental Hospitals .. .. 271,450 409,000 49,361 Or. 45,000 320,811 364,000 48 „ Education .. .. .. 162,657 4,470,000 30,000 40,482 192,657 4,510,482 — „ War and other Pensions .. 3,130 2,080,000 .. .. 3,130 2,080,000 — ,, Social Security .. .. ■■ 2,000,000 .. .. .. 2,000,000 50 „ National Provident and Friendly 5 117,467 .. 7,000 5 124,467 Societies 512,957 10,613,467 79,636 12,460 592,593 10,625,927 2,521,652 22,911,606 89,238 124,646 2,610,890 23,036,252 TOTAL—ORDINARY REVENUE AC- — COUNT 2,521,652 38,042,780 89,238 124,646 2,610,890 38,167,426 __ PUBLIC WORKS FUND. GENERAL PURPOSES ACCOUNT. 51 Public Works, Departmental .. .. 328,369 210,000 2,219 .. 330,588 210,000 Railways— 5 J Railway Construction .. .. 46,000 1,230,000 .. 25,000 46,000 1,255,000 — Railways Improvements and Additions to Open Lines 305,850 3,300,000 .. .. 305,850 3,300,000 53 Public Buildings .. .. .. 16,800 1,250,000 .. .. 16,800 1,250,000 — Education Buildings .. .. .. 7,000 900,000 .. .. 7,000 900,000 55 Lighthouses and Harbour-works .. 110 37,000 .. 5,100 110 42,100 56 Development of Tourist Resorts .. 500 35,000 .. 15,000 500 50,000 57 Roads,&c. .. .. .. .. 75,000 1,400,000 .. .. 75,000 1,400,000 — Telegraph Extension .. .. .. 250,000 600,000 .. .. 250,000 600,000 62 "Lands Improvement .. .. 20,000 330,000 2,200 .. 22,200 330,000 63 Irrigation, Water-supply, and Drainage .. 9,300 285,000 .. 105,000 9,300 390,000 — Swamp Land Drainage .. .. 7,450 14,000 .. .. 7,450 14,000 — Settlement of Unemployed Workers .. 55,000 695,000 .. .. 55,000 695,000 64 Native Land Settlement .. .. 675,000 675,000 .. .. 675,000 675,000 — f Defence .. .. .. .. 700,000 2,200,000 .. .. 700,000 2,200,000 TOTAL—GENERAL Purposes Account 2,496,379 13,161,000 4,419 150,100 2,500,798 13,311,100 65 ELECTRIC SUPPLY ACCOUNT .. 17,610 1,840,000 .. 38,000 17,610 1,878,000 TOTAL—PUBLIC WORKS FUND .. 2,513,989 15,001,000 4,419 188,100 2,518,408 15,189,100 * Includes vote " .Dairy Industry Loans " previously shown as separate vote, t Expenditure on Land and Buildings for Air Defence previously included in vote " Public Buildings—Subdivision I —General—Item: Air Defence."

SUPPLEMENTARY ESTIMATES, 1939-40.

SUMMARY —continued.

5

r T- Summary of Services changeable on Separate Accounts and Accounts Mam Estimates. Estimates. outside the Public Account. —— ; . rwHtain Credits-in- Net Tota)s Credits-m- Net Totals _ Credits-m- | Net Totals _ aid. aid. aiu. SEPARATE ACCOUNTS. £ £ £ £ £ 66 LAND FOR SETTLEMENTS ACCOUNT 100 260,000 .. 9 ?o'o00 100 000 5 51'7*200 67 MAIN HIGHWAYS ACCOUNT .. 100,000 5,267,200 .. 250,000 100,000 5,517,200 68 SOCIAL SECURITY FUND .. .. 56,300 1,754,625 .. 3,000 o6,300 69 STATE COAL-MINES ACCOUNT .. 1,660 337,563 .. 800 1,650 w», o 70 STATE FORESTS ACCOUNT .. '10,362 649,855 .. 145 10,362 ' 72 WORKING RAILWAYS ACCOUNT .. 2,749,150 ; 8,353,488 65,396 , 2,749,150 | 8,41»,»»a TOTAL—SEPARATE ACCOUNTS .. 2,917,562 16,622,731 347,141 2,917,562 | 16,969,872 ' ' | ACCOUNTS OUTSIDE THE PUBLIC ACCOUNT. 73 POST OFFICE ACCOUNT .. .. 255,300 4,186,838 40,980 34,048 296,280 4,220,886 75 PUBLIC TRUSTEE'S ACCOUNT .. 540 •• -0,679 540 , 77 NATIVE TRUSTEE'S ACCOUNT .. 14,700 .. 2,000 .. io./w _ GOVERNMENT INSURANCE ACCOUNT 500 223,139 .. .. 500 223,133 — PUBLIC SERVICE SUPERANNUATION 50 9,143 .. .. "" J ' i+ ' 5 78 STATEVIRE mluRANCE ACCOUNT 22,250 140,838 .. 50,000 22,250 190,838 — GOVERNMENT ACCIDENT INSUR- 50 45,895 ANCE ACCOUNT nrin \ , r .- 4 49 773 — "DAIRY INDUSTRY ACCOUNT .. 4,554 •' '< fi0 'o00 lie'388 80 INTERNAL MARKETING ACCOUNT 200 114,928 .. 1,460 200 Ilb,38» 81 BROADCASTING ACCOUNT .. 26,500 309,968 .. 2,040 26,500 312,008 82 IRON AND STEEL INDUSTRY 200 180,821 .. 44,855 200 2-5,b7fa ACCOUNT ________ J TOTAL—OUTSIDE ACCOUNTS .. 310,144 5,622,720 40,980 155,082 351424 5,777,802

SUPPLEMENTARY ESTIMATES, 1939-40.

LAND AND INCOME TAX DEPARTMENT.

6

Salaries. Other Charges. I Total. VOTE No. .—LAND AND INCOME TAX— £ £ £ Gross Total .. .. .. .. _ 9,600 9,600 Credits-in-aid NET TOTAL .. .. .. .. .. _ g6()0 9^60Q j VrFor Services chargeable on the Consolidated Fund. £ £ £ ORDINARY REVENUE ACCOUNT. VOTE No. .—LAND AND INCOME TAX. Charges for and incidental to — Office expenses .. .. .. .. , _ ( a ) 300 Overtime and meal allowance (additional) .. .. (6)3,000 Printing and stationery (additional) .. .. .. (c) 6,'000 Telephone services (including installations, extensions, maintenance, rent, and calls), (additional) .. . . (d) 300 9,600 Gross Total .. .. .. .. . 9 goo Credits-in-aid NET TOTAL—VOTE No 9 6 qq

7

SUPPLEMENTARY ESTIMATES, 1939-40.

LAND AND INCOME TAX DEPARTMENT—continued.

REMARKS. : ... ,tATG : . V J-J )'.J.r. >1 ll>.\ !.'/ I • (a) To provide for incidental office expenses as result of Department renting premises. Previously included in assessed rent. (b) To provide for additional overtime to be worked. Extra work through increased number of taxpayers. £7,000 provided in Main Estimates. (c) Amount of £8,300 provided in Main Estimates insufficient. Portion of cost of income-tax returns not paid last financial year. (d) To provide for extension to telephone-exchange system and extra telephone fees not previously anticipated. £500 provided in Main Estimates.

SUPPLEMENTARY ESTIMATES, 1939-40.

STAMP DUTIES DEPARTMENT.

8

I I I | Salaries. J Other Charges. | Total. VOTE No. .—STAMP DUTIES— £ £ £ Subdivision I. —Stamp Duties .. .. .. .. 15 758 773 „ II.—Land and Deeds .. . . 5 .. 5 GROSS Total .. .. .. .. 20 758 778 Credits-in-aid NET TOTAL .. .. .. .. 20 758 778 _ _ For Services chargeable on the Consolidated Fund— £ £ £ continued. ORDINARY REVENUE ACCOUNT -continued. VOTE No. .—STAMP DUTIES. Subdivision No. I. —Stamp Duties. Salaries — Cashiers' allowances .. .. .. .. .. 15 Other Charges for and incidental to — Office equipment, fittings, and requisites, &c. (additional) . . (a) 260 Refunds of — Death duty after statutory period has elapsed .. (b) 10 Stamp duty, Firemen's and Cleaner's Association . . (c) 38 Stamp-production (printing), (additional) .. .. (d) 450 758 Total —Subdivision No. I .. .. — 773 Subdivision No. II.—Land and Deeds. | Salaries— Cashier's allowances .. .. .. .. . . 5 j Total—Subdivision No. II .. .. .. 5 j Gross Total .. .. .. .. .. 778 Credits-in-aid NET TOTAL—VOTE No. .. —— 778

SUPPLEMENTARY ESTIMATES, 1939-40.

STAMP DUTIES DEPARTMENT—continued.

REMARKS. (а) Accommodation at Head Office and Wellington District Office records. £750 provided in Main Estimates. (б) Estate duty paid in error and claimed after expiration of statutory period. (c) Refund made through cancellation of contract caused through Crown taking property. (d) Increased charges by Post Office. £1,000 provided in Main Estimates.

9

SUPPLEMENTARY ESTIMATES, 1939-40.

AUDIT DEPARTMENT.

10

I | Salaries. Other Charges. Total. VOTE No. .—AUDIT— £ £ £ Gross Total Credits-in-aid NET TOTAL .. .. | I i For Services chargeable on the Consolidated Fund — £ £ £ continued. ORDINARY REVENUE ACCOUNT —continued. VOTE No. .—AUDIT. Charges for and incidental to — Grant to officer in lieu of leave on retirement . . .. I 109 Less amount provided in Main Estimates but not required .. .. .. .. .. 109 Gross Total Credits-in-aid NET TOTAL—VOTE No. .. .. .. ..

SUPPLEMENTARY ESTIMATES, 1939-40.

PUBLIC SERVICE COMMISSIONER'S OFFICE.

11

Salaries. Other Charges. Total. VOTE No. .—PUBLIC SERVICE COMMISSIONER'S OFFICE— £ £ £ Gross Total .. .. .. .. .. .. .. 360 360 Credits-in-aid NET TOTAL .. .. .. .. .. .. .. 360 360 For Services chargeable on the Consolidated Fund — £ £ £ continued. ORDINARY REVENUE ACCOUNT—continued. VOTE No. .—PUBLIC SERVICE COMMISSIONER'S OFFICE. Charges for and incidental to — Compensation and legal expenses .. .. .. (a) 360 Gross Total .. .. .. .. 360 Credits-in-aid NET TOTAL—VOTE No 360 (a) Compensation and legal expenses following Court of Appeal decision.

SUPPLEMENTARY ESTIMATES, 1939-40.

DEPARTMENT OF INTERNAL AFFAIRS.

(a) Headquarters of officers undertaking deer-destruction in Fiordland, National Park area, Lake Monowai. (b) Quarters for workmen employed at Game Farm. (c) To strengthen the ground floor of the building and to make the basement gas-proof and splinter-proof.

12

j Salaries. J Other Charges, i Total. VOTE No. .—INTERNAL AFFAIRS— £ £ £ Subdivision I.—Head Office .. .. .. .. •. 830 830 ,, IV. —High Commissioner's Office .. .. .. .. 500 500 SUB-total .. .. .. .. 1,330 1,330 Credits-in-aid NET SUB-total .. .. .. .. 1,330 1,330 Subdivision VI. —Miscellaneous Services .. .. .. .. .. Cr. 3,488 Or. 3,488 Credits-in-aid Net Total, Subdivision VI .. .. .. .. Cr. 3,488 Cr. 3,488 Gross Total .. .. .. .. .. .. .. Cr. 2,158 Cr. 2,158 Credits-in-aid NET TOTAL .. .. .. .. .. .. Or. 2,158 Cr. 2,158 For Services chargeable on the Consolidated Fund — £ £ £ continued. ORDINARY REVENUE ACCOUNT—continued. VOTE No. .—INTERNAL AFFAIRS. i Subdivision No. I. —Head Office. Charges for and incidental to — House, &c., Fiordland, National Park, erection of .. (a) 700 Fresh-water Fisheries and Game —Game Farm, Rotorua : Workmen's quarters, erection of .. .. .. (b) 130 Total—Subdivision No. I .. .. .. 830 Subdivision No. IV. —High Commissioner's Office. Charges for and incidental to — Air-raid precautions : Strengthening building .. (c) 500 Total—Subdivision No. IV .. .. 500

SUPPLEMENTARY ESTIMATES, 1939-40.

DEPARTMENT OF INTERNAL AFFAIRS—continued.

(a) To complete the furnishing of the luncheon and retiring room, Auckland. (b) To furnish and equip a luncheon-room in the Defence Services Building, Wellington. (c) To provide additional furnishings for the retiring-room adjoining the refreshment-room, mam Government Buildings, Wellington.

13

For Services chargeable on the Consolidated Fund— £ continued. ORDINARY REVENUE ACCOUNT— continued. VOTE No. . —INTERNAL AFFAIRS —continued. Subdivision No. VI.—Miscellaneous Services. Charges for and incidental to — Government Buildings— Luncheon and retiring rooms, Auckland : Furnishings . . (a) 10 Luncheon-room, Defence Services Building, Wellington : Furnishings .. .. • ■ • • • ■ (b) 282 Retiring-room, Wellington: Furnishings . . . . (c) 20 Visit of Minister of Finance and Secretary to EnglandGrant : Minister (additional) .. . . • • 200 512 Less amount provided in Main Estimates but not required .. . • • ■ • • • • , 000 Total—Subdivision No. VI .. j Cr. 3,488 Gross Total .. .. ■ • • ■ ■ ■ C r ■ 2,158 Credits-in-aid NET TOTAL—VOTE No Cr. 2,158

SUPPLEMENTARY ESTIMATES, 1939 40.

DEPARTMENT OF EXTERNAL AFFAIRS.

(а) Amount required to reimburse Samoan Administration for sums advanced to Tokelau Islands The amount will be recovered from island revenues. ' uuulj (б) Additional sum required to meet expenditure in connection with new copra plantings at Aigailetai to renins worked-out areas. £2,418 provided in Main Estimates. ° replace (c) Additional sum to meet increased working-expenses, and cost of operating re-entered areas taken over from former lessees. £20,705 provided m Mam Estimates. (d) Provision to meet expense of renewing copra drier burnt down and expenses of rehabilitating worked-out areas (e) Additional sum required to meet increases in salaries. £2,675 provided in Main Estimates (/) Adjustment due to requirements for stores and general expenses being less than originally'anticipated

14

Salaries. Other Charges. Total. VOTE No. .—DEPARTMENT OF EXTERNAL AFFAIRS— Subdivision I.—Head Of/ice .. .. .. 250 a II-—New Zealand Reparation Estates .. .. .. 4 288 4 288 GeossTotal JJsJ Ceedits-in-aid NET TOTAL .. .. ~ ~ 4,538 4,538 For Services chargeable 011 the Consolidated Fund — £ £ £ continued. ORDINARY REVENUE ACCOUNT—continued. VOTE No. .—EXTERNAL AFFAIRS. Subdivision No. I.—Head Office. Charges for and incidental to — Tokelau Islands .. .. .. _ _ 250 Total—Subdivision No. I .. .. ,, 250 Subdivision No. II.—New Zealand Reparation Estates. \ Salaries, Wages, Purchase of Stores, Maintenance of Plantations, . and General Expenses (including capital expenditure)— Improvements (additional) .. .. . 374 Maintenance of plantations (additional) . . .. ( c ) 3 735 Public Service Superannuation Fund contribution (additional) ' 13 Renewals (d) 1,121 [salaries and wages (additional) .. .. — , , n 5,915 Less amount provided m Main Estimates but not required (/) 1,627 Total—Subdivision No. II .. .. , _ 4 288 Gross Total .. .. .. 4~538~ Credits-in-aid NET TOTAL—VOTE No J 4 g3g ; I I '

SUPPLEMENTARY ESTIMATES, 1939-40.

PRINTING AND STATIONERY DEPARTMENT.

(а) To provide for additional staff engaged. (б) Additional essential repairs urgently required. £400 provided in Main Estimates.

15

I I Salaries. Other Charges. | Total. VOTE No. .—PRINTING AND STATIONERY— £ £ £ GROSS Total .. .. .. .. . .. 1,000 200 1,200 Credits-in-aid NET TOTAL .. .. .. 1,000 200 1,200 For Services chargeable on the Consolidated Fund — £ £ £ continued. ORDINARY REVENUE ACCOUNT—continued. VOTE No. .—PRINTING AND STATIONERY. Salaries— General Division. Noil-permanents (additional) .. .. .. .. (a) 1,000 Other Charges for and incidental to — Repairs to premises, &c. (additional) .. .. .. (6) 200 — — 1,200 Gross Total .. .. .. .. .. 1,200 Creditb-in-aid NET TOTAL—VOTE No 1,200

SUPPLEMENTARY ESTIMATES, 1939-40.

MARINE DEPARTMENT.

(a) Provision for extra assistance at certain lighthouses during winter months. (b) Provision for chemical lavatories at all light stations. £9,900 provided in Main Estimates. (c) Provision of wireless telephones at the outlying island lighthouses for communication with mainland. (d) Salary of Supervising Shipwright at Auckland. (e) The full amount (£15,800) provided in Main Estimates for " Coastal survey " will not be required, as " H.M.S, Endeavour " has not yet been replaced.

16

Salaries. Other Charges, i Total. VOTE No. .—MARINE— £ £ £ Subdivision III.—Lighthouses .. .. .. .. .. 300 800 1,100 „ IV. —Mercantile Marine .. .. .. .. 190 Or. 6,200 Cr. 6,010 VI.—Fisheries .. .. 406 4,300 4,706 „ VII.—Westport Harbour .. .. .. .. 204 .. 204 Gross Total .. .. .. .. .. .. 1,100 Cr. 1,100 Credits-in-aid NET TOTAL .. 1,100 Cr. 1,100 of N Persons. F° r Services chargeable on the Consolidated Fund — £ £ £ ' continued. 1939—id 193S-39 OEDINAEY KEVENUE ACCOUNT —continued. VOTE No. .—MARINE. Subdivision No. III. —Lighthouses. Salaries — Non-permanents. Temporary keepers' wages (additional) . . . . . . (a) 300 Other Charges for and incidental to— Repairs and maintenance of lighthouses, dwellings, &c. (additional) . . .. . . . . . . (b) 150 Wireless-telephones, Centre Island and Dog Island .. (c) 650 I 800 Total—Subdivision No. Ill .. .. — 1,100 Subdivision No. IV. —Mercantile Marine. Salaries — General Division. 1 1 (£380 to £425), (part year) .. .. .. . . (d) 190 Less amount provided in Main Estimates, but not required .. . . .. .. (e) 6,200 Total —Subdivision No. IV .. .. — Cr. 6,010 Subdivision No. VI. —Fisheries. Salaries — General Division. £ 1 (£335), (part year) .. .. .. .. 140 2 1 (£295), (part year) .. .. .. .. 123 I 263

SUPPLEMENTARY ESTIMATES, J 939-40.

MARINE DEPARTMENT—continued.

(a) Additional salaries through manning of fisheries patrol vessel for five months. (b) The additional amount is to provide for a wireless-telephone installation on the fisheries vessel. £7,500 (on account) provided in Main Estimates. (c) Planting programme extended in Kaipara Harbour. £1,000 provided in Main Estimates. (d) Salary of engineering assistant on loan from Public Works Department. (e) Salary of typist (new appointment).

9

17

I ofPereons or Services chargeable on the Consoiidated Fund — £ £ ~ contmued. 1939-401938-39 ORDINARY REVENUE ACCOUNT—continued. VOTE No. ; —MARINE —continued. Subdivision No. VI.—Fisheries —continued. Salaries —continued. . _ Non-permanents. 1 (£241), (part year) .. .. .. .. 101 2 1 (£82), (part year) .. .. .. .. 33 134 4 Increase in Salary— Professional Division. Class VI— 1 (£335), (£20, 5 months) .. .. .. .. 9 | (a) 406 Other Charges for and incidental to — Launch, purchase of (additional) .. .. .. (b) 300 Planting oysters (recoverable) (additional) .. .. ! (c) 4,000 Total—Subdivision No. VI .. .. 4,300 — 4,706 Subdivision No. VII.—West-port Harbour. Salaries —- General Division. 1 1 (£295), (part year) .. .. .. .. .. {d) 148 N ON-PERMANENT. 1 1 (£85), (part year) .. .. .. .. .. (e) 50 Instrument allowance .. .. . . .. 6 2 I — Total —Subdivision No. VII .. .. j 204 Total Number of Persons. GROSS TOTAL . . . . . . 7 ; .. —— Cre:dits-in-aid .. .. . . NET TOTAL—VOTE No. .. .. .. ! : j I j ]_

SUPPLEMENTARY ESTIMATES, 1939-40.

DEPARTMENT OF LABOUR

(a) £2,750 provided in Main Estimates. (b) Travelling-expenses, &c., of tribunal to investigate cessation of employment by freezing workers at Auckland. (c) £20 provided in Main Estimates. (d) Salaries of new appointees and salary increases. (e) Repairs heavier than anticipated, also additional amount to cover charges in respect of new vehicles to be purchased. £1,000 provided in Main Estimates. (/) Additional overtime due to pressure of work. £425 provided in Main Estimates.

18

Salaries. Other Charges. Total. VOTE No. .—LABOUR— £ £ £ Subdivision I.—Labour .. .. .. .. .. .. 213 213 » II-—Immigration .. .. .. .. .. .. go 80 „ III. —Employment Promotion .. .. .. 3, 970 1,930 5 900 Gross Total 3 >970 2,223 6,193 Credits-IN-aid .. .. .. .. .. .. .. 2,750 2,750 NET TOTAL 3,970 Or. 527 3,443 ofPCTsoM. F° r Services chargeable on the Consolidated Fund— £ £ £ continued. 1QQQ-4.0 1Q3R-3Q OEDINAEY EE VENUE ACCOUNT—continued. VOTE No. .—LABOUR. Subdivision No. I.—Labour. Charges for and incidental to — Cost of Tribunal, freezing workers' dispute .. .. («) 200 Motor-vehicles : Maintenance, &c. (additional) .. .. (b) 13 Total—Subdivision No. I .. .. .. 213 Subdivision No. II. —Immigration. Charges for and incidental to — Administration and general expenses (additional) .. (c) 80 Total—Subdivision No. II .. .. .. - 80 Subdivision No. III.—Employment Promotion. Salaries— Non-permanents. £ 6 (£355 to £380), (part year) .. .. .. 1,700 22 16 (£65 to £295), (part year) .. .. .. 920 2,620 Increases in salaries .. .. .. .. .. 1 350 (d) 3,970 Other Charges for and incidental to — Motor-vehicles: Maintenance of and repairs to (additional) (e) 300 Overtime and meal allowances (additional) . . .. [f) 125

SUPPLEMENTARY ESTIMATES, 1939-40.

DEPARTMENT OF LABOUR—continued.

(a) Additional amount required due to increased activity under Scheme 4b. £1,200 provided in Main Estimates. (b) To cover increased rentals and charges in respect of premises not taken over by Social Security Department. £4,455 provided in Main Estimates. (c) Increase due to appointment of Liaison Officers. £1,445 provided in Main Estimates.

o*

19

For Services chargeable on the Consolidated Fund — £ £ f continued. ORDINARY REVENUE ACCOUNT—continued. VOTE No. .—LABOUR—continued. Subdivision No. III.—Employment Promotion—continued. Other Charges for and incidental to—continued. Postages, telegrams, and rent of letter-boxes (additional) . . (a) 250 Rent, heating, and lighting (additional) .. . . (6) 400 Travelling allowances and expenses (additional) .. .. (c) 855 1,930 Estimated credits-in-aid under Section 51 of the Public Revenues Act, 1926 (additional) — £ Promotion of employment: Fares, &c. .. 2,750 Total—Subdivision No. III.. .. .. 5,900 Gross Total .. .. .. .. .. 6,193 Credits-in-aid .. .. .. .. .. 2,750 NET TOTAL—VOTE No. . 3,443

SUPPLEMENTARY ESTIMATES, 1939-40.

NATIVE DEPARTMENT.

20

| Salaries. | Other Charges, j Total. j j - VOTE No. .—NATIVE— £ £ £ Gross Total .. .. .. .. .. .. 2,804 6,416 9,220 Credits-in-aid NET TOTAL .. .. .. .. 2,804 6,416 9,220 ofpersons. For Services chargeable on the Consolidated Fund — £ £ £ continued. 1939—40|1938— 39 0RDINAEY REVENUE ACCOUNT—continued. VOTE No. .—NATIVE. ' Salaries— Clerical Division. Class VII— 9 .. 9 (£80 to £1] 5), (part year) .. .. .. .. 654 Non-permanents . 17 .. 17 (£55 to £286) .. .. .. .. .. 2,060 Cadets' lodging-allowances .. . . .. . . 90 26 • ■ j (a) 2,804 | Miscellaneous Services— Other Charges for and incidental to — Ahuwhenua Trophy : Expenses of presentation, &c. .. (6) 30 Agents' commission (additional) .. . . . . (c) 20 Centennial Exhibition : Maori participation .. . . 5,000 Centennial pageant float representative of the Maori Race, for procession i .. .. .. ... .. Id) 150 Contribution towards cost of memorials to representative Maoris (additional) . . . . . . , . (e) 50 Fuel, light, power, water, and cleaning (additional) .. (/) 100 Grant to Chief Judge, Native Land Court, in lieu of retiring leave .. . . .. .. .. .. 81 Law-costs (additional) .. .. .. . . (g) 50 Motor-vehicles : Maintenance and repairs of (additional) .. 300 Overtime and meal allowances (additional) .. .. (h) 400 Rent (pare recoverable), (additional) . . .. . . (%) 200 ! Contingencies (additional) . . . . .. .. ( j) 35 6,416 Gross Total .. .. .. .. . 9 ; 220 Credits-in-aid NET TOTAL—VOTE No. .. .. .. .. j gg2G

SUPPLEMENTARY ESTIMATES, 1939-40.

NATIVE DEPARTMENT —continued.

REMARKS. (а) Increase due to new appointments upon expansion of activities in Native-land development, Native housing, and promotion of Maori employment. (б) To cover expenses previously charged to other items. (c) Additional provision to meet commissions payable for the collection of housing repayments from Natives in outlying districts. £10 provided in Main Estimates. (■d) Cost of pageant-float for centennial processions in various centres. (e) Provision to meet cost of memorials to late chiefs of the Tuhoe Tribe. £50 provided in Main Estimates. (/) Increased provision required through expansion of office accommodation. £500 provided in Main Estimates. (g) To provide expenses incurred for cases dealt with by Mortgage Adjustment Commissions. £100 provided in Main Estimates. (h) Additional overtime required to expedite presentation of reports and accounts. £600 provided in Main Estimates. (i) Increased rentals and expansion of sub-offices. £1,700 provided in Main Estimates. (j) £5 provided in Main Estimates.

21

SUPPLEMENTARY ESTIMATES, 1939-40.

CENSUS AND STATISTICS DEPARTMENT.

22

Salaries. Other Charges. Total. VOTE No. .—CENSUS AND STATISTICS— £ £ £ GROSS TOTAL .. .. .. .. .. .. m m r 'RF,DITS-IN-AID NET T0TAL ~ For Services chargeable on the Consolidated Fund— £ £ £ continued. ORDINARY REVENUE ACCOUNT—continued. VOTE No. .—CENSUS AND STATISTICS. Charges for and incidental to—■ Rent of offices (additional) .. .. .. .. (a) 40 Transfer to new premises, alterations, fittings, &c. (suboffice) •. .. .. .. .. .. (6) 60 100 Gross Total .. .. .. .. ., j00 Credits-in-aid NET TOTAL—VOTE No _ jqq

SUPPLEMENTARY ESTIMATES, 1939-40.

CENSUS AND STATISTICS DEPARTMENT —continued.

REMARKS. . ' ■ ' (а) Lease of previous sub-office premises not renewable; additional rent required on removal to more commodious new premises. £1,170 provided in Main Estimates. (б) Includes cartage, floor covering, fitting up, &c.

23

SUPPLEMENTARY ESTIMATES, 1939-40.

DEPARTMENT OF JUSTICE AND PRISONS.

24

Salaries. Other Charges. ! Total. VOTE No. .—JUSTICE AND PRISONS— £ £ £ Subdivision I j —Justice .. .. .. qqq qqq » II—Prisons .. .. .. . 4,100 4,100 Gross Total .. ~ ~~ Credits-in-aid NET T0TAL ~ 5,000 5,000 _ _ __ I For Services chargeable on the Consolidated Fund— £ £ £ continued. ORDINARY REVENUE ACCOUNT—continued. VOTE No. .—JUSTICE AND PRISONS. Subdivision No. I.—Justice. Justice: Miscellaneous Services. Charges for and incidental to — Mechanical recording of evidence in Courts .. .. (a) 700 Registrar-General's Office. Charges for and incidental to — Overtime and meal allowances (additional) .. . . (6) 200 Total—Subdivision No. I .. .. .. . 900 j Subdivision No. II.—Prisons. Charges for and incidental to — Prisons and institutional upkeep : Vehicles, purchase and maintenance of, hire charges, &c. (additional) .. .. ( c ) 250 General prison industries, farms, works, &c. : Materials, equipment, rents, royalties, and other expenses in connection with— Farms, gardens, &c. : Development and maintenance (additional) .. .. .. .. (rf) 3,500 Road-construction, (additional) . . . . . . ( e ) 300 Probation Branch— Charges for and incidental to — : Printing and stationery (additional) .. . . .. (/) 50 I Total—Subdivision No. II .. .. .. 4,100 Gross Total .. .. ' .. .. _ _ j 5 000 Credits-in-aid ___ NET TOTAL—VOTE No. .. .. .. j, 5^000

SUPPLEMENTARY ESTIMATES, 1939-40

DEPARTMENT OF JUSTICE AND PRlSONS—continued.

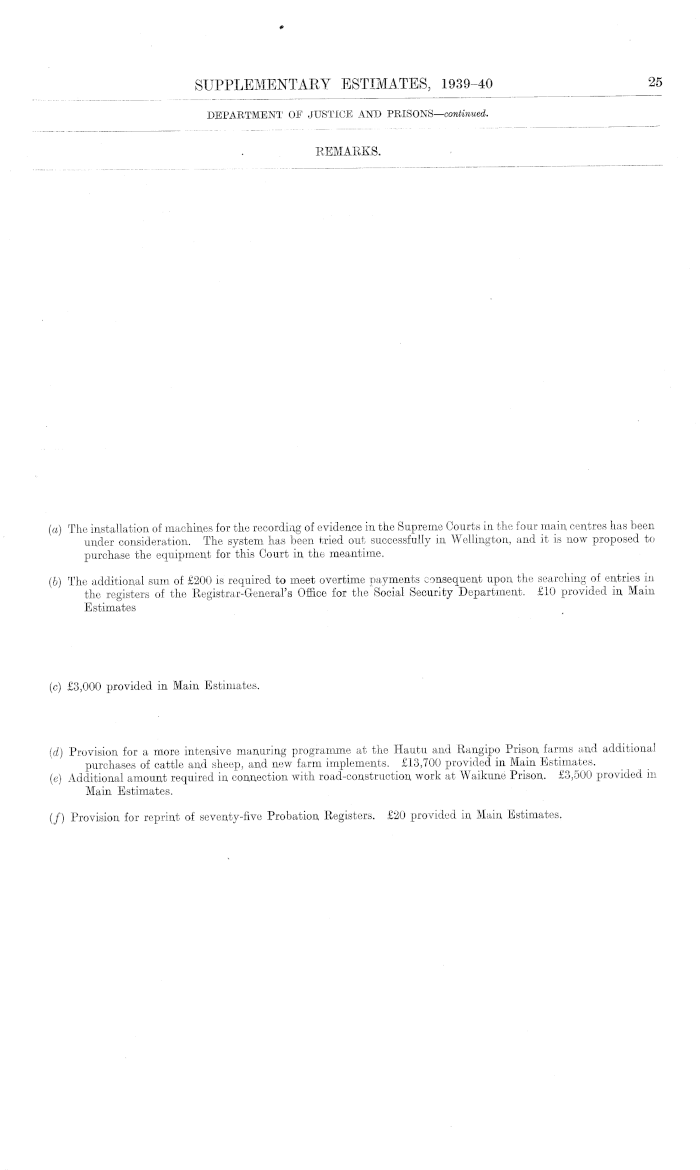
REMARKS. (a) The installation of machines for the recording of evidence in the Supreme Courts in the four main centres has been under consideration. The system has been tried out successfully in Wellington, and it is now proposed to purchase the equipment for this Court in the meantime. (b) The additional sum of £200 is required to meet overtime payments consequent upon the searching of entries in the registers of the Registrar-General's Office for the Social Security Department. £10 provided in Main Estimates (c) £3,000 provided in Main Estimates. (d) Provision for a more intensive manuring programme at the Hautu and Rangipo Prison farms and additional purchases of cattle and sheep, and new farm implements. £13,700 provided in Main Estimates. (e) Additional amount required in connection with road-construction work at Waikune Prison. £3,500 provided in Main Estimates. (/) Provision for reprint of seventy-five Probation Registers. £20 provided in Main Estimates.

25

SUPPLEMENTARY ESTIMATES, 1939-40.

POLICE DEPARTMENT.

26

Salaries. I Other Charges. Total. VOTE No. .—POLICE— £ £ £ Subdivision I. —Police .. .. .. .. .. 3,000 1,100 4 100 ,, II. —Miscellaneous Services .. .. .. .. .. 259 159 GROSS Total .. .. .. .. .. .. 3>0 00 1,259 4,259 Credits-in-aid NET TOTAL .. .. .. .. 3j0 00 1,259 4,259 Number ! of Persons. For Services chargeable on the Consolidated Fund— £ £ £ continued. 1939-401938-39 ORDINARY REVENUE ACCOUNT—continued. VOTE No. .—POLICE. Subdivision No. I. —Police. Police Officers. Salaries— 30 .. 30 Constables (£300), (part year) • • («) 3,000 Other Charges for and incidental to — Motor-vehicles, maintenance of .. .. .. l 100 Total—Subdivision No. I .. .. .. 4,100 t Subdivision No. 11.—Miscellaneous Services. Charges for and incidental to — Compassionate grants to widows of deceased members, equivalent to leave due— £ Widow of Constable T. J. Grace .. .. 12 Widow of Constable D. Wallace .. .. 24 Widow of Constable J. A. Weir .. .. 43 79 Grant to Commissioner of Police towards expenses attending Conference of Commissioners of Police at Brisbane .. 80 Total—Subdivision No. II .. .. .. 159 Gross Total .. .. .. .. .. 4,259 Credits-in-aid NET TOTAL—VOTE No 4 } 259

SUPPLEMENTARY ESTIMATES, 1939-40.

POLICE DEPARTMENT—continued.

(a) To provide for necessary increases in strength of Force.

27

SUPPLEMENTARY ESTIMATES, 1939-40.

MAINTENANCE OF PUBLIC WORKS AND SERVICES.

28

i Salaries. Other Charges. Total. VOTE No. .—MAINTENANCE OF PUBLIC WORKS AND £ £ £ SERVICES— Subdivision III.—Irrigation, Drainage, and, River Protection and Imment Works .. .. .. .. .. 4,500 4,500 • ,, V. —Plant, Material, and Miscellaneous Services .. .. 18,400 18,400 GROSS Total .. .. .. .. .. .. .. 22,900 22,900 CREDITS-IN-aid .. .. .. .. .. .. .. 1,500 1,500 NET TOTAL .. .. .. .. .. .. .. 21,400 21,400 For Services chargeable on the Consolidated Fund— £ £ £ continued. ORDINARY REVENUE ACCOUNT—continued. VOTE No. .- MAINTENANCE OF PUBLIC WORKS AND SERVICES. Subdivision No. III.—Irrigation, Drainage, and River Protection and Improvement Works. Charges for and incidental to — "Land improvements, West Coast .. .. .. 3,000* Waihou and Ohinemuri river-improvement (maintenance), (additional) .. .. . . . . . . 1,500 Estimated credits-in-aid under Section 51 of the Public Revenues Act, 1926 (see end of vote) — Miscellaneous (additional) .. .. £1,500 Total—Subdivision No. Ill .. .. 4,500 Subdivision No. V. —Plant, Material, and Miscellaneous Services. Charges for and incidental to — Matakaoa County : Hicks Bay Wharf : Repairs, &c. .. ' 3,400 Radio facilities for aerodromes and air routes (additional). . 15,000 Total—Subdivision No. V .. .. .. 18,400 GROSS Total .. .. .. .. .. 22,900 Credits-in-aid .. .. .. .. .. 1,500 NET TOTAL—VOTE No. .. .. .. .. 21,400 * It is estimated that approximately one-half of this amount will be recovered.

SUPPLEMENTARY ESTIMATES, 1939-40.

DEPARTMENT OF LANDS AND SURVEY.

(a) An increase is required to provide for salaries of twelve 4b Scheme Supervisors who are required for six months. (b) This item is to cover the travelling-expenses of temporary Supervisors required for six months. (c) To provide counsel in contesting Native claims to various lands. £600 provided in Main Estimates. (d) On account of opening up new office at Rotorua and increased accommodation for Auckland offices. £3,195 provided in Main Estimates. (e) Purchase of Zeiss Multiplex equipment as a means of speeding up the production of topographical maps required by the Mapping Committee of the Organization for National Security. £1,900 provided in Main Estimates. (/) Additional amount required to provide for an accident which has occurred and for any further accidents which may happen, and to meet administration charges of State Fire Office. £100 provided in Main Estimates. (g) An amount to enable a further three miles of river-bed to be treated. It is anticipated that no further funds will be required after this financial year. (h) This additional item is required to enable refund to be made in a case where the mortgagee of a property has accepted £100 as his interest in the improvements. The lease over the property has been surrendered and will not be reoffered. £530 provided in Main Estimates.

29

| Salaries. j Other Charges. Total. , - . - - - j VOTE No. .—LANDS AND SURVEY— £ | £ £ Subdivision I. —Administration .. .. .. .. •• 1,500 6,050 7,550 „ II. —Miscellaneous Services .. .. .. •• 8,110 8,110 Gross Total .. .. .. .. •• 1,500 14,160 15,660 Credits-in-aid NET TOTAL .. .. •• 1,500 14,160 15,660 Number p or s erv ; ces chargeable on the Consolidated Fund — £ £ £ ofPersonB - continued. 1939-401938-39 ORDINARY REVENUE ACCOUNT —continued. VOTE No. .—LANDS AND SURVEY. Subdivision No. I. —Administration. Salaries — 12 .. Non-permanents (additional) .. .. .. (a) 1,500 Other Charges for and incidental to — Inspection, management, &c., expenses of settlement, forest and flax land (additional) — £ Motor-mileage allowances . . . . ■ • 1,400 Travelling-expenses . . .. . • 70 Travelling-allowances . . . • • • 290 (b) 1,760 Law-costs (additional) . . . • ■ • • ■ (c) 500 Office fittings and equipment (additional) . . . . (d) 500 Survey and engineering instruments —Surveyors' equipment, | camp gear, &c. : Purchase (additional) .. .. (e) 3,290 12 | .. 6 >°50 j Total —Subdivision No. I .. .. 7,550 Subdivision No. II. —Miscellaneous Services. Charges for and incidental to — Compassionate grant to widow of deceased officer . . 158 Payment of costs arising out of motor accident, including administration (additional) . . . . .. ■ • (/) 100 Rangitaiki Land Drainage : Willow extermination, Rangitaiki River . . .. . . • ■ ••(.?)!> 600 Refunds for improvements effected (additional) .. .. (h) 100

SUPPLEMENTARY ESTIMATES, 1939-40.

DEPARTMENT OF LANDS AND SURVEY continued.

(а) £10 provided in Main Estimates. (б) An additional amount is required to enable payments to be made to approximately forty lessees whose areas it is anticipated will be amalgamated with other holdings during current financial year. £2,000 provided in Mam Estimates. r (c) Wording of item revised to meet Audit requirements to enable grants to Scenic Boards to be approved.

30

£ £ £ For Services chargeable on the Consolidated Fund— continued. ORDINARY REVENUE ACCOUNT— continued. VOTE No. .—LANDS AND SURVEY—continued. Subdivision No. II.—Miscellaneous Services—continued. Charges for and incidental to —continued. Refunds of amounts credited in previous years to Discharged Soldiers Settlement Account (abolished), (additional) .. (a) 152 Uneconomic holdings: Payment to outgoing lessees (additional) (6) 6,000 Total—Subdivision No. II .. . . .. g i Subdivision No. III.— Preservation, Bird Sanctuaries, National Paries, Recreation Grounds, and Domains. Charges for and incidental to — Scenic and historic reserves— Aquisition and improvements, including grants to Scenic (c) 3,450 Boards Less amount provided in Main Estimates under item " Scenic and historic reserves: Acquisition and improvements" .. .. .. 3,450 Total—Subdivision No. Ill .. .. GBOSS Total .. .. .. . 25 g 6 Q Credits-in-aid NET TOTAL—VOTE No gg 0

SUPPLEMENTARY ESTIMATES, 1939-40.

DEPARTMENT OF AGRICULTURE.

31

I Salaries. | Other Charges. | Total. VOTE No. .—AGRICULTURE— (a) Administrative Services. £ £ £ Subdivision I. —Head Office .. .. .. .. .. 452 10 462 „ II-—Live-stock Division .. .. .. .. 1,003 .. 1,003 „ HI■ —Horticulture Division .. .. .. 112 1,330 1,442 ,, IV.—Dairy Division .. .. .. .. 706 .. 706 V. —Fields Division .. .. .. .. 790 .. 790 ,, VI.—Animal Research Division .. .. .. 861 1,285 2,146 GROSS SUB-total .. .. .. .. .. .. 3,924 2,625 6,549 LESS Credits-IN-aid .. .. .. .. .. 750 2,580 3,330 NET Sub-total .. .. .. .. .. .. 3,174 45 3,219 (c) Miscellaneous Services. Subdivision VIII .. .. .. .. .. .. .. 27,235 27,235 Gross Total («) and (c) .. .. .. .. .. 3,924 29,860 33,784 Less Credits-in-aid (a) .. 750 2,580 3,330 NET GRAND TOTAL .. 3,174 27,280 30,454 Number t of Persons. For Services chargeable on the Consolidated Fund — £ £ £ continued. 1939-401938-39 ORDINARY REVENUE ACCOUNT—continued. VOTE No. .—AGRICULTURE. Subdivision No. I.—Head Office. Salaries — Clerical Division. Class V11 — 3 3 (£80), (part year) .. .. .. ., jgg Cadets' lodging-allowances (additional) .. .. .. 73 N on-permanent. 1 1 (£65), (part year) .. .. .. .. .. 43 4 Increases in Salaries— Clerical Division. Special C— 1 (£665) .. .. .. .. .. .. 50 Class I— 1 (£615), (£25), (part year) .. .. .. .. 21 Class III— 1 (£470), (20), (part year) .. .. .. .. 12 Class VI— 2 (£335), (£20), (part year) .. .. .. 24 Class VII— 4 (£80 to £305), (£15 to £30), (part year) .. .. 61 452 Other Charges for and incidental to — Upkeep of buildings : Water and sanitation rates at present statute barred . . .. . , . . .. (a) 10 Total—Subdivision No. I .. .. .. I 462 (a) Provision to meet rates on property taken over by Lands and Survey Department.

SUPPLEMENTARY ESTIMATES, 1939-40.

DEPARTMENT OF AGRICULTURE—continued.

(a) A revised budget for the station involves increased expenditure for maintenance and supplies of grapes. The station credits have been correspondingly increased, £6,800 provided in Main Estimates.

32

of*Persc»is F<"" Services chargeable on the Consolidated Fund — £ £ £ continued. 1939-401938-39 ORDINARY REVENUE ACCOUNT—continued. VOTE No. . —AGRICULTURE —continued. Subdivision No. II.— Live-stock Division. Salaries — General Division. 1 1 (£255), (part year) .. .. .. .. .. 149 N ON-PERM ANENTS. 2 2 (£260), (part year) .. .. .. .. .. 260 3 . . Increases in Salaries— Professional Division. Class I— 4 (£615), (£25) .. .. .. .. .. 100 Class II— 1 (£515), (£25), (part year) .. .. .. .. 23 Class VI — 1 (£335), (£20), (part year) .. . . .. .. 12 General Division. £ 4 (£450), (£20) .. .. .. .. 80 8 (£335), (£20), (part year) ...... 75 9 (£265 to £280), (£25 to £40). (part year) .. 304 459 Total—Subdivision No. II .. .. .. 1,003 Subdivision No. III.—Horticulture Division. Salaries — Increases in Salaries — Professional Division. Class I — 1 (£615), (£50) .. .. .. .. .. 50 General Division. £ 1 (£335), (£20) .. .. .. .. 20 1 (£215), (£10) .. .. .. .. 10 30 Allowances for performing special or higher duties under Public Service Regulations Nos. 24a and 209 (additional) 32 112 Other Charges for and incidental to — Horticultural Station, Te Kauwhata : Wages and general working-expenses, purchase of stock, grapes, equipment, maintenance of buildings, &c. (recoverable), (additional) (a) 1,330 Estimated credits-in-aid under Section 51 of the Public Revenues Act, 1926 (see end of vote) — Farm areas (additional) .. £1,330 Total —Subdivision No. Ill .. .. 1,442

SUPPLEMENTARY ESTIMATES, 1939-40.

DEPARTMENT OF AGRICULTURE —continued.

33

ofiperstms For Services chargeable on the Consolidated Fund — £ £ continued. 1939-401938-39 OEDINAEY REVENUE, ACCOUNT —continued VOTE No. . —AGRICULTURE —continued. Subdivision No. IV.—Dairy Division. Salaries — General Division. 1 1 (£490, (part year) .. .. .. . • • • 286 N ON-PERM ANENTS. 2 2 (£230 to £320), (part year) .. .. .. .. 321 3 Increases in Salaries — Clerical Division. Class IV — 1 (£425), (£20) 20 General Division. 1 (£335), (£20), (part year) .. .. .. . • 2 Non-permanents. £ 2 (£335), (£20), (part year) .. .. .. 24 1 (£230), (£90), (part year) .. .. .. 53 — 77 Total—Subdivision No. IV ■ ■ ■ ■ 706 Subdivision No. V. —Fields Division. Salaries — General Division. 1 1 (£100), (part year) .. .. . ■ • ■ ■ • 58 Non-permanents. 8 8 (£55 to £240), (part year) .. .. . • • • 494 9 Increases in Salaries — Professional Division. Class I 2 (£615), (£25), (part year) .. .. . • • • 44 Class II — 2 (£515), (£25), (part year) .. .. .. • • 44 Class III — 1 (£470), (£20) 20 Class IV — 2 (£400 to £425), (£20 to £25), (part year) .. .. 31 Class VII — 1 (£80 to £305), (£15), (part year) .. .. 6 Clerical Division. Class VII — 3 (£80 to £305), (£15), (part year) .. .. .. 38 General Division. £ 1 (£425), (£20) 20 1 (£320), (£15), (part year) . . . . . • 10 — 30 Non-permanents. 2 (£145 to £165), (£20), (part year) .. .. .. 25 Total—Subdivision No. V ■ ■ • ■ 790 3

SUPPLEMENTARY ESTIMATES, 1939-40.

DEPARTMENT OF AGRICULTURE—continued.

(a) The increase is offset by a credit from the New Zealand Dairy Board, which has agreed to contribute towards research activities at Ruakura and Wallaceville. (b) Alteration to the wording of the item and a small increase in the appropriation.

34

ofPersons. For Services chargeable on the Consolidated Fund— £ £ £ continued. ORDINARY REVENUE ACCOUNT'—continued, VOTE No. . —AGRICULTURE—continued. Subdivision No. VI.—Animal Research Division. Salaries— General Division. 1 1 (£305), (part year) .. .. .. .. ., 204 ! Non-perm anents . 3 .. 3 (£50 to £220), (part year) .. .. .. .. 283 4 Increases in Salaries— Professional Division. Glass I — 2 (£615), (£50) 100 •Class II— 1 (£515), (£25), (part year) .. .. .. 15 Class III— 1 (£470), (£20) 20 Class IV — 3 (£425), (£20), (part year) .. .. .. .. 13 Class V — 4 (£355 to £380), (£20 to £45), (part vear) .. .. 81 I Class VI — 1 (£335), (£15), (part vear) .. .. .. 9 Class VII— 3 (£80 to £305), (£15 to £30) (part year) .. .. 44 Clerical Division. Class VII— 1 (£80 to £305), (£15), (part year) .. .. .. 14 General Division. £ 2 (£335 to £355), (£20 to £25), (part year) .. 33 1 (£205), (£25), (part year) .. .. .. 19 j — 1 52 Non-permanent. 1 (£180), (£31), (part year) .. .. .. .. 26 Estimated credits-in-aid tinder Section 51 of the Public Revenues Act, 1926 (see end of vote) — £ Salaries .. .. . . .. 750 I 1 861 Other Charges for and incidental to — Research Station, Ruakura (additional) . . .. ( a ) 500 Research Station, Wallaceville (additional) . . . . («) 500 Research : Transport and travelling expenses and allowances for liaison representatives of Dairy Board and of members of Milking Machine £ Committee .. .. .. .. 60 Less amount provided in Main Estimates . . 25 — .(b) 35 Travelling allowances and expenses (additional) . . . . (a) 250 I ! Estimated credits-in-aid under Section 51 of the Public Revenues Act, 1926 (see end of vote) — £ Stations .. .. .. .. 1,000 Travelling-expenses .. .. .. 250 (a) 1,250 i,285 I Total—Subdivision No. VI .. .. 2.146

SUPPLEMENTARY ESTIMATES. 1939-40.

DEPARTMENT OF AGRICULTURE—continued.

(а) £120,000 provided in Main Estimates. (б) £190,000 provided in Main Estimates. (c) £58,000 provided in Main Estimates.

g*

35

For Services chargeable on the Consolidated Fund— £ £ £ continued. ORDINARY REVENUE ACCOUNT—continued. VOTE No. . —AGRICULTURE —continued. Subdivision No. VIII. —Miscellaneous Services : Advances Grants, Guarantees, Subsidies, &c. Charges for and incidental to —• Linen Flax : Advances to growers, &c. .. .. .. 2,225 Railways— Carriage of lime for bona fide farmers (additional) .. (a) 10,003 Portion of freight rates on fertilizers (additional) .. (b) 13,C30 Portion of freight rates on farm-produce (additional) .. (c) 4,500 Refund of fees in connection with various Acts .. .. 10 29,735 Less amount provided in Main Estimates but not required 2,500 Total —Subdivision No. VIII ■■ ■■ 27,235 CROSS Total .. .. .. .. •• 33,784 CBEDITS-IN-AID .. .. .. .. •• 3,330 NET TOTAL—VOTE No. .. .. .. .. 30,454 j

SUPPLEMENTARY ESTIMATES, 1939-40.

DEPARTMENT OF INDUSTRIES AND COMMERCE, TOURIST AND PUBLICITY.

36

Salaries. Other Charges. Total. VOTE No. .—INDUSTRIES AND COMMERCE, TOURIST AND £ £ £ PUBLICITY— Subdivision I. —Industries and Commerce .. .. .. 1 ; 302 .. 1 302 „ 11.—Tourist and Publicity .. .. .. .. .. 227 127 Gross Total j )30 2 127 1,429 Credits-in-aid NET TOTAL .. .. .. .. .. .. lj302 m 1)42 g Number of Persons. _ „ ror services chargeable on the Consolidated Fund — 1939-401938-39 continued. £ £ £ ORDINARY REVENUE ACCOUNT—continued, VOTE No. .—INDUSTRIES AND COMMERCE, TOURIST AND PUBLICITY. Subdivision No. I.—Industries and Commerce. Salaries— Clerical Division. Class VII— 3 3 (£80 to £305) .. .. .. .. .. 487 Non-permanents. 8 8 (£80 to £305) .. .. .. .. .. 815 • • Total—Subdivision No. I . . .. 1 302 Subdivision No. II.—Tourist and Publicity. Charges for and incidental to — Compassionate allowance to widow of the late R. G. Ewing Te Aroha .. .. .. . _ ' 227 Total—Subdivision No. II .. .. .. 227 GROSS Total .. .. .. .. _ # 2 429 Credits-in-aid NET TOTAL—VOTE No ______ j 42 9

SUPPLEMENTARY ESTIMATES, 1939-40.

DEPARTMENT OF SCIENTIFIC AND INDUSTRIAL RESEARCH.

(a) The departmental workshop is at present located in very unsuitable premises, and is being transferred to a building where adequate space and facilities can be provided. (b) Dr. A. J. Smith, Senior Refrigeration and Biological Engineer, British Food Investigation Board, has been invited to New Zealand for the purpose of advising on proposed schemes for the extension of refrigerated space required in the event of national emergency, and also on projects under consideration for the provision of additional precooling and refrigerated space in peace-time for local and export perislmble products. (c) Additional expenses involved in visit of London Scientific Liaison Officer to Australia in connection with research collaboration. £200 provided in Main Estimates. _ (d) In pursuance of the policy of research collaboration with Australia, Dr. B. B. Kelley, Division of Animal Health, Commonwealth Council of Scientific and Industrial Research, will visit New Zealand to consult with research workers on animal breeding and sterility. The cost is recoverable from the Dairy and Meat Boards. . . . (e) Grant to Massey College for research on the nutrition and breeding of pigs, with a view to securing best carcass quality. £3,575 provided in Main Estimates.

37

j Salaries. Other Charges. Total. I I VOTE No. .—SCIENTIFIC AND INDUSTRIAL RESEARCH— £ £ £ Subdivision I. Head Office .. .. • • ■ • • • • • 995 995 „ II. —Research Investigations .. .. •• •• odo <c, tot o.iat „ III. —Dominion Laboratory .. .. • • • • 128 .. 128 „ VI. —Meteorological Office .. . ■ ■ ■ ■ • • ■ 325 325 GROSS TOTAL .. .. .. •• •• •• 513 4,051 4,570 Cbedits-IN-AID .. .. .. ■ • ■ ■ ■ • 100 100 NET TOTAL .. .. .. •• •• 513 ) 3,957 4,470 Number p or s erv j ces chargeable on the Consolidated Fund — £ £ £ o ersons. continued. 1939-401938-39 ORDINARY REVENUE ACCOUNT —continued. VOTE No. .—SCIENTIFIC AND INDUSTRIAL RESEARCH. Subdivision No. I. —Head Office. Charges for and incidental to — Cost of fitting-up workshop in new premises .. . • (a) 265 Expenses of visit (including salary, steamer fares, travelling allowances and expenses, and other incidental charges) oi Dr. A. J. Smith, of the British Food Investigation Board, to advise on extension of cold-storage facilities in New Zealand .. .. .. .. .. .. {b) 950 Grants : Towards expenses of visit of Scientific Liaison Officer, London, to New Zealand (additional) .. .. (c) 45 1,260 Less amount provided in Main Estimates but not required 265 Total —Subdivision No. I .. •. • • 995 Subdivision No. II. —Research Investigations. Animal Research — Charges for and incidental to— Expenses of visit of Dr. R. B. Kelley to New Zealand to consult with research workers in animal £ breeding and sterility (recoyerable) .. .. (d) 100 Grants (additional) .. .. . ■ • • (e) 800 900

SUPPLEMENTARY ESTIMATES, 1939-40.

DEPARTMENT OF SCIENTIFIC AND INDUSTRIAL RESEARCH—continued.

38

of Persons. For Services chargeable on the Consolidated Fund— £ J £ £ continued. 1930-401938-39 ORDINARY REVENUE ACCOUNT—continued. ' VOTE No. .—SCIENTIFIC AND INDUSTRIAL RESEARCH—continued. Subdivision No. II.—Research Investigations—continued. Plant Chemistry— . Charges for and incidental to — Cost of passage of officer from England to New Zealand . . (a) 80 Dairy Research— Salaries — N ON-PERMANENT. 1 1 (£320), (part year) .. .. .. .. .. 260 Geophysical Survey— Charges for and incidental to — Grant towards additional expenses of officer who visited United States of America last year to purchase equipment (b) 4-5 Plant Research— i Charges for and incidental to — Cost of fitting up laboratory for Botany Division .. (c) 100 Chemicals, apparatus, equipment, and implements (additional) (d) 210 Experimental areas, operating-expenses, including stores, cultivation, general maintenance, also fencing, roading, drainage, access, erection of insectaries and glasshouses, and other improvements (additional) .. .. (e) 150 460 Soil Survey— Salaries— Professional Division. Class VII— 1 I • • 1 (£80 to £305), (part year) .. .. .. .. 125 ! . Other Charges for and incidental to — Cost of fitting up chemical laboratory in new premises .. (/) 502 627 Research Associations — Tobacco — Charges for and incidental to — Cost of new buildings, purchase of land, legal charges, fencing, roading, and other capital charges (additional) .. (g) 425 Instruments, apparatus, furniture, and plant (additional) (h) 325 ! 750 Estimated credits-in-aid under Section 51 of the Public Revenues Act, 1926 (see end of vote) — Recoveries on account of research .. £100 j Total —Subdivision No. II 3,122

SUPPLEMENTARY ESTIMATES, 1939-40.

DEPARTMENT OJT SCIENTIFIC AND INDUSTRIAL RESEARCH—continued.

REMARKS. (а) Dr. I. E. Coop, a New-Zealander, who has taken a post-graduate course in England, has been appointed Physical Chemist at the Plant Chemistry Laboratory, Palmerston North. (б) An officer proceeded to America last year to purchase special equipment, and, owing to unavoidable delay in securing what was required, had to remain there a month longer than had been anticipated. £450 provided in 1938-39. (c) The Botany Division has no laboratory facilities, and certain alterations to the existing premises are to be made to provide these. (d) Purchase of refrigerator and special photographic equipment for the Grasslands Division, Palmerston North. £4,046 provided in Main Estimates. (e) Material required for a small glasshouse for investigation on control of diseases of tomatoes and grapes grown under glass, and on improvement in methods of culture of these plants. £2,422 provided in Main Estimates. (/) The Soil Survey Division has to vacate the space occupied by its chemical section in the Agriculture Department's Laboratory, and new premises have been secured, which will enable this section to be centralized, thereby effecting greater efficiency and economy. (a) Cost of erecting further buildings necessary for the effective operation of the Tobacco Research Station, Riwaka, in pursuance of the building programme commenced early last year. £653 provided in Main Estimates. (h) Purchase of irrigation plant for Tobacco Research Station, £200, and laboratory apparatus, £125. £170 provided in Main Estimates.

39

SUPPLEMENTARY ESTIMATES, 1939-40.

DEPARTMENT OF SCIENTIFIC AND INDUSTRIAL RESEARCH—continued.

(a) Additional instruments required in case of emergency. £700 provided in Main Estimates, (o) Considerable overtime is necessary in connection with the day and night service for trans-ocean air services.

40

oi N Peracms. for Services chargeable on the Consolidated Fund— £ £ £ ; continued. 1939-401938-39 ; ORDINARY REVENUE ACCOUNT—continued. VOTE No. .—SCIENTIFIC AND INDUSTRIAL RESEARCH —continued. Subdivision No. III.—Dominion Laboratory. Salaries— Non-pekmanent. 1 ,1 (£220), (part year) .. .. .. .. ... 128 Total—Subdivision No. Ill .. .. J 128 '• ' '' ' Subdivision No. VI.—Meteorological Office. Charges for and incidental to — Grant to widow of the late Dr. E. Kidson, being the equivalent of one month's salary .. .. . . 75 Instruments : Purchase and repairs (additional) . . (a) 160 Overtime and meal allowance .. .. .. .. (6) 90 Total—Subdivision No. VI .. .. .. 325 Gsoss Total .. .. .. .. .. 4 579 Credits-IN-AID .. .. .. .. .. 100 I NET TOTAL—VOTE No j .. 4 4,70

SUPPLEMENTARY ESTIMATES, 1939-40.

TRANSPORT DEPARTMENT.

(a) This amount represents £122 received from the Auckland City Council following an investigation regarding the allocation of heavy-traffic fees, and £10 provided for the recovery of witnesses' expenses. (b) The premises at Head Office are being altered to provide for an increase of staff. (o) A sub-office has been opened in Greymouth for the use of the Traffic Inspector and Vehicle Inspector located there. (d) The four Licensing Authorities have been granted an increase in salary of £50 each. The additional £30 represents the estimated amount that will be involved in running-costs of cars. £4,000 provided in Main Estimates. (e) This amount represents a refund from the Public Works Department following a reduction in the quoted price. (/) Payment for services rendered in part of 1937. (g) Provision to meet increased running-costs. £2,500 provided in Main Estimates.

41

Salaries. Other Charges. Total. VOTE No. .—TRANSPORT— j £ £ £ Subdivision I.—General Administration .. .. .. 508 355 863 „ II. —Vehicle Inspection .. .. .. .. 459 311 770 „ III. —Enforcement .. .. .. .. .. 30 2,692 2,722 GROSS TOTAL .. .. .. .. .. .. 997 3,358 4,355 CREDITS-IN-aid .. .. .. .. .. 132 1,790 1,922 NET TOTAL .. .. .. .. .. 865 1,568 2,433 Number p or S erv ; ces chargeable on the Consolidated Fund— £ £ £ of Person8 - " continued. 1939-401938-39 ORDINARY REVENUE ACCOUNT—continued. VOTE No. .—TRANSPORT. Subdivision No. I.—General Administration. Salaries — Non-permanents. 4 4 (£65 to £220), (part year) .. .. .. .. 508 Estimated credits-in-aid under Section 51 of the Public Revenues Act, 1926— Salaries .. .. .. .. (a) £132 Other Charges for and incidental to — Head Office : Cost of internal alterations . . . . (b) 100 Rent of office accommodation —Sub-office : G-reymouth .. (c) 25 Transport Licensing Act, 1931 : Allowances and expenses of Licensing Authorities (additional) .. .. .. (d) 230 Estimated credits-in-aid under Section 51 of the Public Revenues Act, 1926— , Refund, cost of alterations .. .. (e) £24 355 Total—Subdivision No. I .. .. .. 863 Subdivision No. II. —Vehicle Inspection. Salaries — Non-permanents. 2 2 (£305), (part year) .. .. .. .. .. 459 Other Charges for and incidental to — Services of Public Works Department .. .. .. (/) 171 Running-expenses, maintenance, and repairs of motor-cars (additional) .. .. .. .. .. (g) 140 311 Total—Subdivision No. II .. .. .. —■— 770

SUPPLEMENTARY ESTIMATES, 1939-40.

TRANSPORT DEPARTMENT—continued.

42

I For Services chargeable on the Consolidated Fund — £ £ £ continued. ORDINARY REVENUE ACCOUNT—continued. VOTE No. . —TRANSPORT—continued. Subdivision No. III. —Enforcement. Salaries— Increases in salaries— General Division. £ 3 (£345), (£10), (part year) .. .. .. 20 1 (£330), (£25), (part year) .. .. .. 10 (a) 30 Other Charges for and incidental to — Testing loadometers (Public Works Department) . . (b) 75 Purchase of motor-cycles . . .. . . . . (c) 450 Running-expenses, maintenance, and repairs of patrol cars (d) 1,150 Expenses consequent on death of Traffic Inspector .. 1,017 Estimated credits-in-aid under Section 51 of the Public Revenues Act, 1926 — £ Sale of used tires .. .. ..(e) 800 Sale of sirens .. .. .. .. (/) 66 Amounts received for services of officers controlling traffic : Running-expenses of patrol cars .. .. .. (g) 900 1,766 2,692 Total—Subdivision No. Ill .. .. — 2,722 Gross Total .. .. .. .. .. 4,355 Credits-in-aid .. .. .. .. .. 1,922 NET TOTAL—VOTE No. .. .. .. .. 2,433

43

SUPPLEMENTARY ESTIMATES, 1938-39.

TRANSPORT DEPARTMENT —continued.

REMARKS. (a) Increases to four senior Traffic Inspectors recently appointed. (b) Payment for services rendered during the six months ended 11th May, 1938. (c) It is proposed to equip four Traffic Inspectors with motor-cycles for use on roads carrying heavy traffic. (d) Provision to meet increased running-costs. (e) Tires removed from patrol cars are being sold to the public under authority from the Stores Control Board. (/) Six sirens have been sold to the Police Department. (g) This amount represents contributions to be received from small boroughs for the control of traffic by the Department's Traffic Inspectors.

SUPPLEMENTARY ESTIMATES, 1939-40.

DEPARTMENT OF HEALTH.

44

Salaries. Other Charges, j Total. VOTE No. .—HEALTH— £ £ £ Gross Total 340 9,913 10,253 Credits-IN-AID .. .. .. .. .. .. ., 275 275 NET TOTAL .. .. .. .. .. .. 340 9,638 9,978 ofpereons. For Services chargeable on the Consolidated Fund— £ £ £ continued. 1939-40 1938-39 ORDINARY REVENUE ACCOUNT—continued. VOTE No. .—HEALTH. Salaries— Clerical Division. Class VII— 1 1 (£280), (part year) .. .. .. .. (a) 187 General Division. 1 1 (£305), (part year) .. .. .. .. .. (6) 153 2 Increases in Salaries—Professional Division. Class Special— £ 1 (£1,100) 100 2 (£800), (£50) 100 I (£750), (£50 from 13th November, 1939) 19 1 (£715), (£85 from 1st December, 1939) 29 248 588 Less amount provided in Main Estimates but not required 248 340 Other Charges for and incidental to — General administration— " Contribution to Office International d'Hygiene Publique (additional) .. .. .. .. .. (c) 97 Departmental contribution to National Provident Fund in respect of Nurses and Inspectors (additional) .. .. (d) 3,000 Freight, cartage, and transport charges (additional) .. (e) 50 Grant to Ohura Medical Association .. .. .. (/) 200 Motor-cars, motor-cycles, &c.— Purchase of (additional) .. .. .. .. (g) 300 Maintenance of (additional) .. .. .. (h) 400 Waikato Hospital Board : Payment for hospital treatment afforded at Rotorua Hospital to members of the Ngati Whakaue sub-tribe of the Arawas (additional) .. (i) 100 Sale of Food and Drugs Act— Other expenses (including purchase of samples) (additional) (j) 60 Social Hygiene ActTreatment, &c., of indigent patients by medical practitioners (additional) .. .. .. .. .. (jfe) 200

SUPPLEMENTARY ESTIMATES, 1938-39.

DEPARTMENT OF HEALTH—continued.

REMARKS. (a) Additional appointment necessary owing to operation of Part 111, Social Security Act. (b) Appointment of additional Inspector of Health at Kaikohe. (c) The Dominion's contribution for 1939-40 is to be paid on a gold franc basis, and this will amount to £217. £200 provided in Main Estimates, which includes £80 liability carried over from 1938-39. (d) Additional amount required to adjust arrears of departmental contribution. £4,000 provided in Main Esitmates. (e) Additional provision is necessitated mainly on account of expenditure in removal of Head Office store. £50 provided in Main Estimates. ( f) Assistance necessary owing to exceptional difficulties of association. (g) Provision for a car for newly appointed Health Inspector at Kaikohe. £4,625 provided in Main Estimates. (h) Additional amount required for extra cars recently placed in commission. £10,100 provided in Main Estimates. (?) Additional amount required to cover cost of out-patient treatment in terms of agreement with the Board. £600 provided in Main Estimates. (j) To cover cost of additional supply of milk-sample bottles. £500 provided in Main Estimates. (k) To provide for treatment of additional cases recently investigated. £40 provided in Main Estimates.

45

SUPPLEMENTARY ESTIMATES, 1939-40.

DEPARTMENT OF HEALTH—continued.

(a) Adjustment of contribution in view of increase in laboratory work. £3,160 provided in Main Estimates. (b) To cover cost of furnishings, &c., consequent upon alterations to hostel to provide additional accommodation for dental trainees. £2,000 provided in Main Estimates. (c) To cover the additional cost of improvements incorporated in certain items of equipment during the process of manufacture in the Dominion. £8,000 provided in Main Estimates. (d) Owing to the difficulty in obtaining suitable accommodation for the District Nurses in these localities, it has been found necessary to erect departmental cottages. (e) To provide furnishings for District Nurses' cottages, also for contribution to Marlborough Hospital Board for the services of its nurses on departmental duties. £5,000 provided in Main Estimates. (/) Grant for current year increased to £120 owing to heavy travelling-expenses incurred. £40 provided in Main Estimates. (g) Consequent on the appointment of additional nurses at Auckland, Lower Hutt, and Christchurch. £26,044 provided in Main Estimates.

46

For Services chargeable on the Consolidated Fund — £ £ £ continued. ORDINARY REVENUE ACCOUNT —continued. VOTE No. . —HEALTH—continued. Other Charges for and incidental to —continued. Bacteriological Laboratories — Contributions to Hospital Boards' laboratories (additional) (a) 278 Dental Hygiene Administration— Hostel for dental trainees, Hobson Street, Wei- £ lington (part recoverable), (additional) .. (b) 525 New Dental Training Clinic, Wellington, initial equipment for (additional) .. .. .. (e)l,250 1,775 Maori Hygiene Administration— Erection of cottages, &c., for District Nurses at Huntly, Te Kaha, and Te Kao, including £ acquisition of sites (on account) . . . . (d) 2,600 General expenses (including establishment of temporary camp hospitals) (additional) .. (e) 450 3,050 Grants-in-aid — Hospital Boards' Association of New Zealand £ (additional) .. .. .. .. (/) 80 Royal N.Z. Society for the Health of Women and Children (additional) .. .. ..(g) 323 ■ 403 Estimated credits-in-aid under Section 51 of the Public Revenues Act, 1926'— Recoveries in connection with hostel for dental trainees, Hobson Street, Wellington .. £275 9,913 Gross Total .. .. .. .. .. 10,253 Credits-in-aid .. .. .. .. .. 275 ■ NET TOTAL—VOTE No. .. .. .. 9,978 I I

SUPPLEMENTARY ESTIMATES, 1939-40.

MENTAL HOSPITALS DEPARTMENT.

(a) Provision for purchase of nitrous-oxide machine for treatment of patients. £90 provided in Main Estimates. (b) £2,000 provided in Main Estimates. (c) Transport expenses, &c., to New Zealand of an officer appointed in England for occupational therapy.

47

Salaries. Other Charges. Total. VOTE No. .—MENTAL HOSPITALS— £ £ £ Gross Total .. .. .. .. .. .. 3,857 504 4,361 Credits-in-aid .. .. .. .. .. .. j .. 49,361 49,361 NET TOTAL .. .. .. .. 3,857 Cr. 48,857 Cr. 45,000 ■ ' I I Number ' For Services chargeable on the Consolidated Fund — £ £ £ 1939-401938-39 continued. ORDINARY REVENUE ACCOUNT —continued. VOTE No. .—MENTAL HOSPITALS. Salaries — General Division. Attendants — 11 .. 11 (£245 to £295), (part year) .. .. .. 1,412 Nurses — 23 23 (£130 to £200), (part year) .. .. 1,810 Cook — 1 1 female (£180), (part year) .. .. .. 105 35 .. 3,327 Increases in Salaries —• Professional Division. Medical Officers — 3 (£815), (£85) .. .. .. .. .. 255 1 (£765), (£50) .. .. .. 50 1 (£715), (£50) .. .. .. .. . 50 1 (£665), (£50). (part year) .. . . . 17 9 (£615), (£50), (part year) .. .. . 158 530 3,857 Other Charges for and incidental to — Contributions to National Provident Fund for Nurses .. 61 Dental services (additional) . . .. . . . . (a) 108 Freight, cartage, and transfer charges (additional) . . (b) 225 Grant to patient, being refund of portion of fees paid .. 50 Travelling-expenses from England to New Zealand for occupational officer .. .. . . .. (c) 60 504 Estimated credits-in-aid under Section 51 of the Public Revenues Act, 1926 — £ Fees for maintenance of patients (additional) 49,361 J Gross Total .. .. .. .. .. j 4,361 Credits-in-aid .. .. .. .. .. 49,361 NET TOTAL—VOTE No. .. .. .. .. j(>_ 45,000

SUPPLEMENTARY ESTIMATES, 1939-40.

DEPARTMENT OF EDUCATION.

(a) Provision for grants towards cost of conveying private-school children as from Ist February, 1940. £161,000 provided in Main Estimates. (b) To provide increases in wages of cleaners and caretakers of schools. £156,000 provided in Main Estimates. (c) Amount on Main Estimates insufficient. (d) Revenue expected to exceed original estimate.

48

I Salaries. | Other Charges. Total. VOTE No. .—EDUCATION— Subdivision I. —Head Office .. .. .. .. .. 180 .. 180 ,, II. —Primary Education .. .. .. .. .. 61,750 61,750 „ III.—Post-primary Education .. .. .. .. .. 9,000 9,000 VIII. —School Buildings, Furniture, and Sites .. .. .. Cr. 2,300 Cr. 2,300 ?. c't i- - „ XV. —Miscellaneous Services .. .. .. .. .. 1,852 1,852 Gross TOTAL .. .. .. .. .. .. 180 70,302 70,482 CREDITS-IN-AID .. .. .. .. .. .. 30,000 30,000 NET TOTAL—VOTE No. .. .. .. .. .. 180 40,302 40,482 Number £ £ £ of Persons. p or Services chargeable on the Consolidated Fund — 1939-401938-39 continued. ORDINARY REVENUE ACCOUNT —continued. VOTE No. .—EDUCATION. Subdivision No. I. —Head Office. Salaries — Clerical Division. Class VII— 1 1 (£305), (part year) .. .. .. .. 180 Total —Subdivision No. I .. .. .. ———"—>— 180 Subdivision No. II. —Primary Education. Charges for and incidental to — Conveyance of school-children, instructors, and teachers, and allowances for board of children who have to live away from home to attend school (including running and maintenance costs of departmental buses) : Schoolchildren by road, ferry, &c. (additional) .. .. (a) 1,750 Grants to Education Boards for the following purposes — Incidental expenses of School Committees (cleaning, disinfecting, &c.) (additional) .. .. .. (6)10,000 Teachers' salaries (including expenses of £ relieving teachers), also grants to widows of deceased teachers .. .. .. 1,985,627 Less value of residences supplied .. 43,200 1,942,427 Less amount provided in Main Estimates 1,892,427 Additional .. .. .. : (c) 50,000 Estimated credits-in-aid under Section 51 of the Public Revenues Act, 1926 — Credit under Section 30 (2) of the Education £ Reserves Act, 1928 .. .. 125,000 Less amount provided in Main Estimates 95,000 Additional .. .. ..(d)30,000 Total—Subdivision No. II .. .. .. 61,750

SUPPLEMENTARY ESTIMATES, 1939-40.

DEPARTMENT OF EDUCATION—continued.

(a) Provision for grants towards cost of conveying private-school children as from Ist February, 1940. £20,000 provided in Main Estimates. (b) Additional provision to meet increases on account of new scale of salaries to operate from Ist February, 1940. £253,500 and £222,000 respectively provided in Main Estimates. (c) Full amount in Main Estimates not required. (d) It is proposed to billet children in camps and school buildings. (e) Recoupment of moneys advanced on account of loss through floods, &c.

4

THE LIBRARY CANTERBURY UN. '.-:ITY COLI.E6 CHRISTCHUKCH. H.Z.

49

£ £ £ For Services chargeable on the Consolidated Fund — continued. ORDINARY REVENUE ACCOUNT —continued. VOTE No. —EDUCATION —continued. Subdivision No. III. —Post-primary Education. Charges for and incidental to — Conveyance of school-children, and allowances for board of children who have to live away from home to attend school: School-children by road, ferry, &c. (additional) (a) 2,000 Salaries and allowances of teachers and vocational guidance officers (including Intermediate Schools and Departments), and travelling-expenses of itinerant instructors and vocational guidance officers ; also grants to widows of deceased teachers — Secondary Schools (additional) .. .. .. (6)3,000 Technical Schools (additional) .. .. .. (6) 4,000 Total —Subdivision No. Ill .. .. 9; 000 Subdivision No. VIII. —School Buildings, Furniture, and Sites. Charges for and incidental to — Cost of reclaiming and top-dressing land at Auckland Point, Nelson .. .. .. ■ .. • • • • 5,175 Less amount provided in Main Estimates .. .. 7,475 Total—Subdivision No. VIII ■■ .. (c)CV. 2,300 Subdivision No. XV. —Miscellaneous Services. Charges for and incidental to — Expenses in connection with accommodation of schoolchildren attending Centennial Exhibition .. .. (d) 500 Grant — To officer of monetary equivalent of leave due on retirement .. .. . ■ • • • ■ 72 To Napier High School Board for recoupment of moneys advanced for school farm .. .. .. (e) 1,250 Payment to National Broadcasting Service for half-cost of fees of educational broadcasts .. .. .. 30 Total —Subdivision No. XV .. .. 1,852 GBOSS Total .. .. .. .. 70,482 CKEDITS-IN-AID .. .. .. .. .. 30,000 NET TOTAL—VOTE No i 40,482 I , |

SUPPLEMENTARY ESTIMATES, 1939-40.

NATIONAL PROVIDENT AND FRIENDLY SOCIETIES DEPARTMENT.

(a) Additional provision necessary through unexpected increase in claims. £14,000 and £1,000 respectively provided in Main Estimates.

50

Salaries. Other Charges. Total. VOTE No. .—NATIONAL PROVIDENT AND FRIENDLY £ £ £ societiesGross Total .. .. .. .. .. .. .. 7,000 7,000 Credits-in-aid NET TOTAL .. .. .. .. .. .. 7,000 7,000 £ £ £ For Services chargeable on the Consolidated Fund — continued. ORDINARY REVENUE ACCOUNT—continued. VOTE No. .—NATIONAL PROVIDENT AND FRIENDLY SOCIETIES. i Charges for and incidental to — Maternity claims — Approved friendly societies (additional) .. .. (a) 6,000 National Provident Fund (additional) .. .. (a) 1,000 7,000 | Gross Total .. .. .. .. .. 7,000 Credits-in-aid NET TOTAL—VOTE No 7,000

SUPPLEMENTARY ESTIMATES, 1939-40.

Public Works Fund.

PUBLIC WORKS, DEPARTMENTAL.

51

—— Salaries. Other Charges. | Total. VOTE No. .—PUBLIC WORKS, DEPARTMENTAL— £ £ £ GROSS TOTAL .. .. .. .. .. .. W 2,200 2,219 Credits-in-AID .. .. .. .. .. .. 19 2,200 2,219 NET TOTAL £ £ £ For Services chargeable on the Public Works Fund. VOTE No. .—PUBLIC WORKS, DEPARTMENTAL. Salary — Increase to salary— Professional Division. Class Special— 1 (£765), (£35 from 19/9/39) 19 Other Charges for and incidental to — Contribution to Electrical Research Association .. .. 200 Purchases of plant, materials, and stores (Suspense Account) .. .. .. .. .. .. 2,000 Estimated credits-in-aid under Section 51 of the Public Revenues Act, 1926 — £ Miscellaneous (additional) .. .. 2,219 2,200 Gross Total .. .. .. .. 2,219 Credits-in-aid .. .. .. .. .. 2,219 NET TOTAL—VOTE No I L .

SUPPLEMENTARY ESTIMATES, 1939-40.

Public Works Fund.

RAILWAY CONSTRUCTION.

52

| Salaries. Other Charges. Total. VOTE No. . —KAILWAY CONSTEUCTION— £ £ £ Gross Total 25,000 25,000 Credits-in-aid NET TOTAL .. 25,000 25,000 £ £ £ For Services chargeable on the Public Works Fund. VOTE No. .—RAILWAY CONSTRUCTION. Taneatua-Opotiki (additional) .. .. .. 45,000 Gross Total .. .. .. .. 45,000 Amount required for Current Year (additional) .. .. .. .. .. 25,000 Credits-in-aid .. .. .. .. .. _ _ ' NET TOTAL—VOTE No 25,000

SUPPLEMENTARY ESTIMATES, 1939-40.

Public Works Fund.

PUBLIC BUILDINGS.

53

Salaries. Other Charges. | Total. VOTE No. .—PUBLIC BUILDINGS— £ £ £ Subdivision No. I. —General .. .. .. •• •• •• 3,940 3,940n III.—Prison Buildings and Works .. .. 1,000 1,000 n IV. —Police-stations .. .. .• •• •• 14,010 14,010 >t V. —Postal and Telegraph .. ■ • •• '27,450 27,450 „ VI. —Mental Hospitals .. .. .. •• •• 4,005 4,005 „ VII. —Health and Hospital Institutions .. •• •• 18,600 18,600 GROSS Total .. .. •• •• •• •• •• 69,005 69,005 Amount required for Current Year (additional) Credits-in-ajd NET TOTAL £ £ £ For Services chargeable on the Public Works Fund. VOTE No. .—PUBLIC BUILDINGS. Subdivision No. I.—Public Buildings, General. Agricultural— Wallaceville : Vaccine-store and packing-shed .. .. 375 Departmental — Dunedin : Workshops (erection and equipment), (additional) 2,000 Nelson: Office accommodation (extension) .. . • 600 Okaihau : Office accommodation (land) . • • • 200 Rotorua : Oil-store . . . ■ • ■ • • • • 90 Taupo: Store (erection) .. .. • • • • 150 Whangarei: Public works garage, &c. (improvements and extension), (additional) .. • ■ • • • • 225 Internal Affairs — Rotorua : Ngongotaha Valley (married quarters) .. 130 Scientific and Industrial Research — Palmerston North : Grasslands Division glasshouse .. 170 Total —Subdivision No. I .. .. ■ ■ 3,940 Subdivision No. III.—Prison Buildings and Works. Waikeria: Dairy improvements and plant .. .. 1,000 Total —Subdivision No. Ill . ■ • ■■ 1,000 Subdivision No. IV. —Police-stations. Auckland (Mount Roskill), (residence) .. .. •• 1,300 Auckland (Takapuna), (offices and residence) .. .. 2,800 Blenheim (residence) .. • • • • • ■ 1 > ®00 Brunnerton (station) .. • • • • • • 1 > Makaraka (site) .. • • • • • • • • 150 Mangonui (lock-up) ■ ■ • • • • • • 300 Moturoa (residence) .. ■ • • • • ■ • • 1 >

SUPPLEMENTARY ESTIMATES, 1939-40.

Public Works Fund.

PUBLIC BUILDINGS—continued.

54

I £ £ £ For Services chargeable on the Public Works Fund— continued. VOTE No. .—PUBLIC BUILDINGS—continued. Subdivision^o. IV.■—Police-stations—continued. Ngongotaha (station and site) .. .. .. 2 000 New Plymouth (additional accommodation), (on account) . 2,'000 Taihape (additions to office) .. .. .. '250 Taumarunui (additions to office) .. .. 250 Total —Subdivision No. IV .. .. 14 oiO Subdivision No. V.—Postal and Telegraph. Auckland (Brown's Bay), (office) .. .. .. 4.50 Auckland (Newmarket), (buildings and site) .. .. 20,000 Awarua Radio-station (receiving-station) .. . . 2,500 Pembroke (office and quarters) .. .. , . 3 qqq Waiau (store and garage) .. .. .. .. 1 'qOO Total—Subdivision No. V .. .. 27 450 Subdivision No. VI.—Mental Hospitals. Auckland — Electric food hoist . . .. .. .. _ _ 250 Occupational therapy block .. .. .. .. 600 Porirua— Structural renovations (walls) .. .. .. 2,150 Seacliff — F2 Ward (new kitchen and stores) .. .. .. 890 Tokanui— Orchard-spraying equipment .. .. .. .. II5 Total —Subdivision No. VI .. .. 4 005 Subdivision No. VII.—Health and Hospital Institutions. Christchurch, St. Helens — Furniture and equipment (on account) .. .. . . 100 -Hospital (on account) .. .. . . ., 15 QOO Nurses' Home (on account) .. .. .. . . 1 'ooo Other buildings and grounds (on account) .. .. '5OO Hanmer, Queen Mary Hospital: New male hospital (furnishings), (additional) .. .. .. .. , 3 QOO V ' ' ' 19,600 Less amount provided in Main Estimates but not re <i llired 1,000 Total—Subdivision No: VII .. .. lg qqq Geoss Total 69,005 Amount required for Current Year (additional) Credits-in-aid NET TOTAL—VOTE No

SUPPLEMENTARY ESTIMATES, 1939-40.

Public Works Fund.

LIGHTHOUSES AND HARBOUR-WORKS.

55

Salaries. Other Charges. Total. l___ VOTE No. . —LIGHTHOUSES AND HARBOUR-WORKS — £ £ £ Subdivision I.—Lighthouses .. • • • • • • • • • • Subdivision II. —Harbour-works .. .. • • • • ■ ■ 4,800 4,800 GROSS TOTAL .. .. ~ 5 > 100 5 > 100 CREDITS-IN-AID .. • • • • ■ ■ • • • • • • ' NET TOTAL .. •• •• •• •• • | 5,100 ! 5,100 £ £ £ For Services chargeable on the Public Works Fund. VOTE No . —LIGHTHOUSES AND HARBOURWORKS. Subdivision No. I. —Lighthouses. Accommodation for workmen at lighthouses (on account) . . 300 Total—Subdivision No. I ■ ■ ■ ■ ■ ■ 300 Subdivision No. II—Harbour-works. Houhora (wharf), (on account) ■ ■ • • ■ • 500 Kawhia Harbour (wharf), (on account) .. •• 5,000 5,500 Less amount provided in Main Estimates but not required .. 700 Total —Subdivision No. II .. ■■ ■■ 4,800 GROSS Total .. ■• • • ■ • • • 5,100 Credits-in-aid I NET TOTAL —VOTE No. .. .. •• 5,100

SUPPLEMENTARY ESTIMATES, 1939-40.

Public Works Fund,

DEVELOPMENT OF TOURIST RESORTS.

56

2a I 1 i Salaries. \ Other Charges. Total. VOTE No. .—DEVELOPMENT OF TOURIST RESORTS— £ £ £ Gross Total .. .. .. .. .. .. .. 15,000 15,000 Credits-in-aid .. .. .. .. NET TOTAL .. .. .. .. .. .. .. 15,000 . 15,000 £ £ £ For Services chargeable on the Public Works Fund. VOTE No. .—DEVELOPMENT OF TOURIST RESORTS. Milford Sound : Reclamation work (additional) . . . . 1,000 Rotorua : Pipe-line and reservoir (additional) .. .. 9,000 Te Aroka : Additional buildings (women's rest room) .. 500 Tourist roads and tracks: Toaroka Springs Track (additional) ... .. .. .. .. 1,200 Amount required in addition to amount provided in Main Estimates .. .. .. . . 3,300 Gross Total .. .. .. .. 15,000 Credits-in-aid NET TOTAL—VOTE No. .. — 15,000

SUPPLEMENTARY ESTIMATES, 1939-40.

Public Works Fund.

CONSTRUCTION, IMPROVEMENT, ETC., OF SETTLEMENT ROADS, BRIDGES, AND OTHER PUBLIC WORKS, INCLUDING SALARIES OR WAGES, HOLIDAY PAY, COMPENSATION AND CONTINGENT EXPENSES FOR ACCIDENTS TO EMPLOYEES, CHARGES FOR PLANT, ETC., SUPERVISION AND ALL OTHER EXPENSES.

57

: Salaries. Other Charges. Total. VOTE No. .—ROADS, ETC.— £ £ £ Gross Total Credits-in-aid NET TOTAL £ £ £ For Services chargeable 011 the Public Works Fund. VOTE No. .—ROADS, ETC. Roads, etc. — Whangarei Road District. Hobson County. Whatoro to Opouteke Road (on account) .. .. 1,000* Mangonui County. Larmer's Road .. .. .. .. • • 200* Otamatea County. Kaiwaka to Oneriri (additional), (free) .. .. .. 100 Mangawai to Waipu (Kings Road to Mangawai Heads Road), (£300, £3 for £1) .. 750 Matakohe Creek Bridge (Sterlings), (£3 for £1), (on account) 100 Whangarei County. Austins Road (£75, £3 for £1) .. .. . • 155 Edwards access road, Waiotu . . .. .. 150 Halvorsens Road (£150, £3 for £1) .. .. • ■ 250 Hay wards Bridge (£2 for £1) .. .. .. . • 100 Kaiatea to Matapouri Road (£150, £1 for £1) .. .. 250 Total —Whangarei .. .. .. • ■ 3,055 Auckland Road District. Coromandel County. Owera to Kuaotunu .. .. .. .. • ■ 600* Franklin County. Bishop's Bridge, Pollok (£1 for £1) .. .. .. 200 Harris Road bridges (£1 for £1) .. . • • • 90 Otau Valley culverts (£1 for £1) .. .. • ■ 300 Patterson's Bridge, Garvie Road (£1 for £1) . . .. 375

SUPPLEMENTARY ESTIMATES, 1939-40.

Public Works Fund.

58

£ £ £ For Services chargeable oa the Public Works Fund — continued. VOTE No. .—ROADS, ETC.—continued. Roads, etc. —continued. Auckland Road District—continued. Hauraki Plains County. Mangawara Road (£2 for £1), (additional) .. . . 100 Manukau County. Renalls Bridge (£2 for £1), (additional) .. .. 610 Ohinemuri County. Access Section 121, Block XV, Ohinemuri Survey District (Hollis), (on account) .. .. .. .. 100 Findlays Road, Paeroa . . .. .. .. 450* Otorohanga County. Scotts access road .. .. .. .. .. 385 Piako County. Awaiti to Tirohia (Grey Georges) Road (on account) .. 400* Hoe-o-tainui access road .. .. .. . . 500 Raglan County. Kohanga Road (£2 for £1), (on account) .. . . 500 Pukekawa to Churchill Road (£2 for £1) .. .. 670 Rodney County. Run Road (on account) .. .. .. .. 5,000* Waikato County. Davies Road (£1 for £1) .. .. .. .. 500 Emmetts Road . . . . .. .. . . 300 French Pass Road (£2 for £1), (additional) .. . . 300 Waipa County. Mellsop Road (£2 for £1) .. .. .. .. 330 Tika Road (£2 for £1) .. . . .. . . 130 Waitemata County. East Coast Cut Hill Road .. .. .. .. 915 Joblins Road (£2 for £1) . . . . . . .. 170 Lone Kauri (Karekare) Road (£2 for £1) .. .. 400 Whangaparaoa to Tiri Road (£2 for £1), (additional) .. 1,035 Total —Auckland .. .. .. .. 14,360 Tauranga Road District. Rotorua County. Bryces Road .. .. .. .. .. 400 Waikaukau Road .. .. .. .. .. 150 Total—Tauranga .. .. .. .. 550

SUPPLEMENTARY ESTIMATES, 1939-40.

Public Works Fund.

59

£ £ £ For Services chargeable on the Public Works Fund—" continued. VOTE No. . —ROADS, ETC. —continued. Roads, etc. —continued. Gisborne Road District. Matakaoa County. Potikikirua Road (on account) .. .. .. 2,000 TJawa County. Tauwhareparae Road (Huanui Junction to Hutchinson's), (additional) . . .. .. .. .. 500 Tolaga to Arakihi Road (£3 for £1) .. .. .. 270 Waiapu County. ILungia-Mata-Waitahaia Road (£2 for £1) .. .. 375 Waikohu County. Armstrong Road (£1 for £1), (additional) .. .. 500 Rangatira Road Extension (£75, £1 for £1) .. .. 875 Total —Gisborne .. .. .. .. 4,520 Taumarunui Road District, Taupo County. Koroke to Lake Road (on account) .. .. .. 1,000 Waitomo County. Mangaohoe Stream Bridge (Mahoenui-Kawhia Road), (£3 for £1) .. .. 210 Pio Pio Stock Track (£3 for £1) .. .. • • 150 Taumatamaire Road (on account) . . • • • • 600 Total —Taumarunui .. .. .. • ■ 1,960 Stratford Road District. Eltharn County. Hastings Road Overbridge (£3 for £1) .. .. .. 1,075 Patea County. Manawapou Road (£2 for £1) .. .. .. .. 400 Ridge Road (£2 for £1) .. .. .. .. 240 Village Settlement Road (£2 for £1) .. .. .. 240 Taranaki County. Ninia Road (£1 for £1) .. .. .. ■ ■ 400 Total —Stratford .. .. ■. - • 2,355 Napier Road District. Manga-o-nuku River Bridge (£1 for £1) .. .. 400 Total —Napier .. .. ■. •. 400

SUPPLEMENTARY ESTIMATES, 1939-40.

Public Works Fund.

60

£ £ £ For Services chargeable on the Public Works Fund — continued. VOTE No. .—ROADS, ETC.—continued. Roads, etc. —continued. Wellington Road District. Akitio County. Waihoki Road (£2 for £1), (additional) .. .. .. 640 Featherston County. Cape Palliser Road (£1 for £1), (additional) .. .. 95 Oroua County. Waituna Stream Bridge (Rcu Reu Road), (£2 for £1), (additional) .. .. .. .. .. 250 Total—Wellington .. .. .. .. 985 Nelson Road District. Marlborough County. North Bank Road (Wairau River - Patriarch Section), (£4 for £1) .. .. .. .. .. 400 Takaka County. Rameka Creek Road (£3 for £1), (on account) .. .. 250 Waimea County. Graham River Road (£2 for £1) .. .. .. 100 Total —Nelson .. .. .. .. 750 Greymouth Road District. Buller County. Stafford Road (on account) .. .. .. .. 100 Grey County. Grey to Kotuku Road .. .. .. .. 260* Pigeon Creek Bridge (Mitchells to Haupiri Junction Road), (£2 for £1) 315 Westland County. Wataroa Road (£2 for £1) .. .. .. .. 300 Total—Greymouth .. .. .. .. 975

SUPPLEMENTARY ESTIMATES, 1939-40.

Public Works Fund.

61

£ £ £ For Services chargeable oil the Public Works Fund— continued. VOTE No. ROADS, ETC. —continued. Roads, etc. —continued. Dunedin Road District. Bruce County. Greenfield Settlement: Tuapeka Mouth to Greenfield Road (£1 for £1) .. .. ■ ■ • • • • 50 Clutha County. Lakeside Road (£2 for £1) .. .. • ■ • ■ 400 Mount Mistake Road (£2 for £1) .. .. •• 320 Papatowai Beach Road (£50, £1 for £1) .. .. 250 Waitaki County. Hedleys Road (£1 for £1) 150 Vincent County. Head Lake Hawea Jetty (£1 for £1) .. .. .. 75 Total—Dunedin .. .. .. • • 1 > 245 Invereargili Road District. < Southland County. Northcoat Road, Garston (£1 for £1) .. .. • • 100 Wyndham to Clinton Road (£2 for £1) .. .. .. 335 Wallace County. Buckleys New Road (£1 for £1) .. . . • • 200 Wairio to Birchwood Road (£1 for £1) .. .. .. 50 Stewart Island County. Mason Bay Road .. .. .. • • • • 150 Total —Invereargili .. .. • ■ • • 835 GROSS Total .. .. ■ ■ • • 31,990 Amount required for Current Year (additional) Credits-in-aid NET TOTAL—VOTE No. .. .. .. •• * Local Body to contribute.

SUPPLEMENTARY ESTIMATES, 1939-40.

Public Works Fund.

LANDS IMPROVEMENT.

62

I Salaries. I Other Charges. Total. I 1 VOTE No. .—LANDS, MISCELLANEOUS— £ £ £ Gross Total 2 ,200 2,200 Credits-IN-AID .. .. .. .. .. .. .. 2,200 2,200 NET TOTAL £ £ i £ For Services chargeable on the Public Works Fund. VOTE No. .—LANDS, MISCELLANEOUS. Tauranga District—Judea Drainage (on account) .. .. .. .. 1.200* Total—Tauranga .. .. .. .. 1 ; 200 Invercargill District—■ Waimumu Drainage Channel (£1 for £1) .. .. 1,000 Total —-Invercargill .. .. .. .. 1,000 Estimated credits-in-aid under Section 51 of the Public Revenues Act, 1926 — Miscellaneous (additional) .. .. £2,200 Gross Total .. .. .. .. 2 200 ' Credits-in-aid .. .. .. .. .. 2,200 NET TOTAL—VOTE No. .. .. .. .. * Drainage Board to contribute.

SUPPLEMENTARY ESTIMATES, 1939-40.

Public Works Fund.

IRRIGATION, WATER-SUPPLY AND DRAINAGE.

63

i Salaries. Other Charges. Total. VOTE No. .—IRRIGATION, WATER-SUPPLY, AND DRAINAGE— £ £ £ Gross Total 105,000 105,000 Credits-in-aid NET TOTAL .. •• •• •• 105,000 105,000 For Services chargeable on the Public Works Fund. £ £ £ VOTE No. .—IRRIGATION, WATER-SUPPLY, AND DRAINAGE. Rangitata Diversion Race (Surrey Hills syphon) .. 40,000 Amount required in addition to amount provided in Main Estimates .. .. .. • • 65,000 Gross Total .. .. .. 105,000 Credits-in-aid NET TOTAL—VOTE No. .. .. .. .. 105,000

SUPPLEMENTARY ESTIMATES, 1939-40.

NATIVE LAND SETTLEMENT.

64

I I j Salaries. Other Charges. | Total. . ' J VOTE No. .—NATIVE LAND SETTLEMENT— £ £ £ Subdivision I. —Development of Native Land Settlement Schemes Gross Total Credits-in-aid » NET TOTAL .. J NATIVE MINISTER. £ £ £ VOTE No. .—NATIVE LAND SETTLEMENT. Subdivision No. I.—Development of Native Land Settlement Schemes. Expenditure under the Native Land Amendment Act, 1936 : Recoupments to Consolidated Fund — Repayment of advances to Natives under section 8, Finance Act, 1929 (No. 29) .. .. .. 2,700 Less amount provided in Main Estimates but not required .. .. .. .. .. 2,700 Gross Total .. .. .. .. Credits-in-a it) NET TOTAL—VOTE No

SUPPLEMENTARY ESTIMATES, 1939-40.

Public Works Fund.

ELECTRIC SUPPLY ACCOUNT.

65

Salaries. | Other Charges. Total. I I VOTE No. .—DEVELOPMENT OF WATER-POWER— £ £ £ Gross Total .. .. .. .. .. .. .. 38,000 38,000 Credits-in-aid NET TOTAL .. .. .. .. .. .. 38,000 38,000 £ £ £ For Services chargeable on the Electric Supply Account. VOTE No. .—DEVELOPMENT OF WATER-POWER. North Island Scheme —• King's Wharf Station, Auckland (half additional net cost of operating and half capital charges), (additional) .. 38,000 Gross Total .. .. .. .. 38,000 Credits-in-aid NET TOTAL—VOTE No 38,009 5

SUPPLEMENTARY ESTIMATES, 1939-40.

LAND FOR SETTLEMENTS ACCOUNT.

la) Payment of grants to County Councils, in lieu of general rates, for which the Department is not legally liable, for the maintenance of County roads serving properties being farmed by the Department. (b) Transfer to respective account, as per statutory provisions, of the proceeds from the sales of land to the Housing Department.

66

Salaries. Other Charges. Total. VOTE No. .—LAND FOR SETTLEMENTS— £ £ £ Gross Total .. .. .. .. .. 27,800 27,800 Credits-in-aid NET TOTAL .. .. .. .. 27,800 27,800 VOTE No. .—LAND FOR SETTLEMENTS. Charges for and incidental to —• Grants to County Councils for maintenance of county roads serving settlements being farmed by the Department . . (a) 1,000 ! Transfer from Hutt Valley Settlement receipts towards purchase money and costs of preparation of the settlement for disposal .. .. .. .. .. (6)26,800 Gross Total .. .. .. .. 27,800 Credits-in-aid NET TOTAL—VOTE No 27,800

SUPPLEMENTARY ESTIMATES, 1939-40.

MAIN HIGHWAYS ACCOUNT.

5*

67

Salaries. Other Charges. I Total. VOTE No. —MAIN HIGHWAYS— £ £ £ Gross Total .. .. .. .. .. •• 250,000 250,000 Credits-in-aid NET TOTAL .. .. .. .. .. 250,000 250,000 £ | £ £ For Services chargeable on the Main Highways Account. VOTE No. .—MAIN HIGHWAYS. Charges for and incidental to —• Construction, reconstruction, and improvement, &c. (addi- j tional) .. .. .. . • • ■ • • 250,000 GROSS Total .. .. .. .. — 250,000 Credits-in-aid NET TOTAL—VOTE No. .. .. .. .. 250,000 !

SUPPLEMENTARY ESTIMATES, 1939-40.

SOCIAL SECURITY DEPARTMENT.

(a) £3,000 provided in Main Estimates. (b) £7,000 provided in Main Estimates. (c) £8,000 provided in Main Estimates. (d) £9,000 provided in Main Estimates. (e) £3,000 provided in Main Estimates.

68

Salaries Other Charges. Total, VOTE No. .—ADMINISTRATION EXPENSES AND EMERGENCY BENEFITS— £ £ £ Subdivision I.—Administration Expenses .. .. .. .. 3,000 3,000 Gross Total .. .. .. .. .. .. .. 3,000 3,000 Credits-in-aid NET TOTAL .. .. .. 3,000 3,000 £ £ £ Chargeable on the Social Security Fund. VOTE No. .—ADMINISTRATION EXPENSES AND EMERGENCY BENEFITS. Subdivision No. I. —Administration Expenses. Charges for and incidental to— Light, heat, fuel, office cleaning, &c. (additional) . . (a) 1,000 Postages, telegrams, and tolls (additional) .. .. (6)1,500 Printing and stationery (additional) .. .. . . (c) 500 Purchase of land and buildings .. .. .. 1.000 Rent of offices, &c. (additional) . . .. . . (d) 1,000 Travelling allowances and expenses : Officers .. .. (e) 500 5,500 Less amount provided in Main Estimates but not required 2,500 3,000 Gross Total .. .. .. .. .. 3,000 Credits-in-aid NET TOTAL—VOTE No. .. .. .. .. — 3 ? 000

SUPPLEMENT AKY ESTIMATES, 1939-40.

STATE COAL-MINES ACCOUNT.

(a) Land to be acquired from Lands Department for housing of miners. (b) Purchase of new car and truck to replace existing vehicles, which are beyond economical repair.

69

Salaries. Other Charges. Total. VOTE No. .—STATE COAL-MINES— £ £ £ Gross Total .. .. .. . - • • • • 800 Credits-in-aid NET TOTAL 800 800 £ £ £ VOTE No. .—STATE COAL-MINES. Charges for and incidental to — Acquisition of land in Runanga for housing .. . . (a) 50 Purchase of — New motor-car (Dunollie) .. .. .. • ■ (b) 250 New motor-truck (Dunollie).. .. .. .. (6) 500 Gross Total .. .. .. .. 800 Credits-in-aid NET TOTAL—VOTE No 800

SUPPLEMENTARY ESTIMATES, 1939-40.

STATE FORESTS ACCOUNT.

(а) Additional amount required for an ex gratia payment of compensation to and hospital expenses incurred by workman injured whilst returning from fire-fighting. (б) Additional amount required to refund to a sawmiller the appraisal fee 011 area applied for by him in 1930. This area has since been sold and the appraisal fee recovered from another sawmiller.

70

Salaries. ! Other Charges. ' Total. VOTE No. .—STATE FOREST SERVICE— £ 1 £ £ Capital Charges— ( Subdivision I. —Salaries .. .. .. .. i I „ VI. —General Afforestation, &c. .. .. ., Q r _ qqq \ (j r ggg Operation and Maintenance Charges— Subdivision II. —General Development, &c. .. .. .. ' 267 i 161 Gross Total .. .. .. ,. .. .. 650 Cr. 505 145 Credits-in-aid NET TOTAL .. .. .. .. .. .. 650 Cr. 505 145 Number oi Persons. £ £ £ _______ VOTE No. .—STATE FOREST SERVICE. 1939-4oj 1938-39 1 Subdivision No. I.—Salaries. Salaries— Clerical Division. Class VII— 1 1 (£80), (part year) .. .. .. j 00 General Division. 1 1 (£355), (part year) .. .. .. .. .. 237 Non-permanents. £ 1 (£310), (part year) .. .. .. .. 207 4 3 (£65 to £305), (part year) .. .. .. 146 353 o •• Total —Subdivision No. I .. .. .. 050 Subdivision No. II.—General Development and Management of Indigenous State Forests, Provisional State Forests, and Forested Reserves (including Extraction of Timber for Sale, Plant, Buildings, Hooding, &c., Silvicultural Surveys, Compensation to Employees, and Contingencies). Operation and Maintenance Charges— Charges for and incidental to — Payment in lieu of compensation, &c., to workmen injured on fire duty .. .. .. .. .. ( a ) 4g Refund to sawmiller of appraisal fee .. .. .. (6) 113 Total—Subdivision No. II .. .. .. 101

SUPPLEMENTARY ESTIMATES, 1939-40.

STATE FORESTS ACCOUNT —continued.

71

; £ £ £ VOTE No. .—STATE FOREST SERVICE —continued. I Subdivision No. VI. —General Afforestation, Building, Treeplanting, Maintenance and Protection of Plantations, Operations of Nurseries, Compensation to Employees, and Collateral Activities. Capital Charges — Charges for and incidental to — Plantations: Kaingaroa .. .. .. Or. 66G Total—Subdivision No. VI .. .. Or. 666 Gross Total .. .. .• • • • • 145 Credits-in-aid NET TOTAL—VOTE No. .. .. .. .. 145

SUPPLEMENTARY ESTIMATES, 1939-40.

WORKING RAILWAYS ACCOUNT.

{a) Amount required for increases in salaries, wages, and allowances not provided in Main Estimates.

72

i Salaries. Other Charges, j Total. VOTE No. .—WORKING RAILWAYS— £ £ £ Gross Total .. .. .. ,. .. _ _ 65,375 21 65,396 Credits-in-aid NET TOTAL 65)375 21 I £ £ £ For Services chargeable on the Working Railways Account. VOTE No. .—WORKING RAILWAYS. Salaries— Wages increases to staff, tradesmen, tablet porters, crossingkeepers, bridgekeepers, watchmen, and lavatory attendants from 1st April, 1939 .. .. .. .. 43 095 Division 1 : Payment of overtime after forty hours instead ' of after forty-four hours per week, increased Sunday pay, and increased travelling-allowance from 25th June, 1939 j 16,385 Locomotive transportation : Alteration in wages schedule j from 1st July, 1939 .. .. .. j 5,895 Miscellaneous— (< " Money stolen by burglars at Paeroa and Hastings .. .. 21 Gross Total 65 396 Credits-in-aid NET TOTAL—VOTE No. 65,396

SUPPLEMENTARY ESTIMATES, 1939-40.

POST OFFICE ACCOUNT.

73

Salaries. Other Charges. Total. VOTE No. .—POST AND TELEGRAPH WORKING EXPENSES— £ £ £ Subdivision I. —Postal and Telegraph Salaries .. .. .. 25 .. 25 „ V. —Maintenance of Telephone Exchange, Toll, Telegraph and Wireless Systems .. .. .. .. .. 15,000 15,000 ,, IX. —Miscellaneous Services .. .. .. .. .. 60,003 60,003 GROSS TOTAL .. .. .. .. .. .. 25 75,003 75,028 Credits-IN-AID .. .. .. .. .. .. 40,980 40,980 NET TOTAL .. .. .. .. .. 25 34,023 34,048 £ £ £ Chargeable on the Post Office Account. VOTE No. .—POST AND TELEGRAPH WORKING-EXPENSES. Subdivision No. I.—Postal and Telegraph Salaries. Salary — Increase in Salary — 1 (Superintending Engineer), (£800) .. .. .. 25 Total—Subdivision No. I .. .. .. — 25 Subdivision No. V. —Maintenance of Telephone Exchange, Toll, Telegraph and Wireless System. Charges for and incidental to — Extra labour (additional) .. .. .. .. 15,000 Total —Subdivision No. V .. .. .. 15,000 Subdivision No. IX.—Miscellaneous Services. Charges for and incidental to — Cash deficiencies— Amount lost through error in receipt on income-tax demand .. .. .. . ■ . • 1 Amount lost through payment of money-order to wrong person .. .. .. .. . . .. 6 Amount lost through theft from Hollyford mail-bag .. 25 Amount lost through theft of postal packets, Gore .. 4 Amount of remittance from Pukeuri Junction lost from mail-bag between Pukeuri Junction and Oamaru .. 27 Loss of advance stamp-vending machine, Great South Road, Auckland .. . . . . .. 2 Loss of amounts through voucher being paid to wrong person, Hillgrove . . .. .. .. 4 Loss of cash through burglaries at Hinuera, Ohinewai, Albany, Whatawhata, Penrose, Glen Eden, Sheffield, Ohau, and Spreydon .. .. .. .. 365 Money lost in transit between the Hereford Street and High Street sections of the District Engineer's Branch, Ohristchurch .. .. .. .. .. 3

SUPPLEMENTARY ESTIMATES, 1939-40.

POST OFFICE ACCOUNT—continued.

74

£ £ £ Chargeable on the Post Office Account—continued. VOTE No. .—POST AND TELEGRAPH WORKING-EXPENSES—continued. Subdivision No. IX. —Miscellaneous Services—continued. Charges for and incidental to —continued. Cost of providing coastal radio facilities (recoverable) .. 1 18,000 Cost of radio development work (recoverable) .. . . 7,000 Office-management expenses : Stamps, postal notes, and ; documents of value, production of (additional) .. ! 7,000 Purchase of equipment for aeradio services (additional) (recoverable) .. .. .. .. .. 15,000 Sundry charges— Allowances to administrative officers performing higher duties .. .. .. .. .. .. 330 Contribution to Cable and Wireless, Ltd., to enable the uniform rate for cable messages within the Empire to be reduced to local currency .. .. .. 7,706 Cost of decorations to post-office buildings in connection with the New Zealand Centennial .. .. .. 3,500 Cost of departmental exhibit in Government Court, New Zealand Centennial Exhibition (recoverable) .. 980 New Zealand Trade and Tourist Commissioner, Sydney: Proportion of office expenses .. .. .. 50 Estimated credits-in-aid under Section 51 of the Public Revenues Act, 1926 .. .. .. £40,980 Total—Subdivision No. IX .. .. ; 60,003 GROSS Total .. .. .. .. .. 75,028 Credits-in-aid .. .. .. 40,980 NET TOTAL—VOTE No .. — 34.048 i '

SUPPLEMENTARY ESTIMATES, 1939-40.

PUBLIC TRUSTEE'S ACCOUNT.

75

| Salaries. Other Charges, j Total. * VOTE No. .—PUBLIC TRUST OFFICE— £ 1 £ £ Gross Total .. .. .. .. .. .. 4,724 15,955 20,679 Credits-in-aid NET TOTAL .. .. .. 4,724 15,955 20,679 Number £ £ £ oi Persons. 1939-401938-39 Y0TE No - -—PUBLIC TRUST OFFICE. Salaries— Clerical Division. Class VII— £ 18 .. 18 (£80 to £305), (part year) .. . 1,173 Cadets' lodging-allowances .. .. .. 312 1,485 Increases in Salaries — Professional Division. Class Special— 1 (£665) .. .. .. .. .. •. 50 Class I— 2 (£590) .. .. .. .. .. •. 50 Class II — 1 (£490), (£25), (part year) .. .. .. .. 10 Class III— 7 (£470), (£20), (part year) .. .. .. .. 112 Class IV— 2 (£425), (£20), (part year) .. .. .. .. 27 Class V— 2 (£380), (£20) .. .. .. .. .. 40 Clerical Division. Class Special — 1 (£665) .. . .. .. .. .. 50 Class I— £ 1 (£615), (£50), (part year) .. .. .. 42 7 (£565 to £590), (£25) .. .. .. 175 — 217 Class II— 5 (£490 to £515), (£25), (part year) .. .. .. 117 Class III— 3 (£470), (£20) .. .. .. .. 60 8 (£445), (£25), (part year) .. .. .. 179 239 Class IV— 5 (£425), (£20), (part year) .. .. .. 88 1 (£400), (£25), (part year) .. .. .. 8 96 Class V — 1 (£380), (£20), (part year) .. .. 13 7 (£355), (£25), (part, year) .. .. .. 123 136

SUPPLEMENTARY ESTIMATES, 1939-40.

PUBLIC TRUSTEE'S ACCOUNT —continued.

(a) Provision for additional legal costs incurred in dealing with cases arising under the Mortgagors and Lessees Rehabilitation Act. £700 provided in Main Estimates. (b) Provision to meet expenditure which has previously been charged under section 24 (4) of the Finance Act, 1929.

76

VOTE No. —PUBLIC TRUST OFFICE—continued. £ £ £ Salaries—continued. Increases in Salaries—continued. Clerical Division—-continued. Class VI— £ 1 (£335) .. .. .. .. .. 45 27 (£335), (£20), (part year) .. .. 365 18 (£320), (£15), (part year) .. .. 207 617 Class VII— 28 (£305), (£15), (part year) .. .. 308 1 (£280), (£40), (part year) .. .. .. 2 — 310 General Division. 2 (£470), (£20), (part year) .. .. .. 13 1 (£335), (£20), (part year) .. .. . 10 1 (£320) 15 — 38 Non-permanents. 101 (£65 to £165), (£20), (part year) .. .. 925 18 (£185 to £195), (£10), (part year) .. .. 123 1 (£590) 25 1 (£355), (£25), (part year) .. .. 17 1 (£335) 20 1 (£320) 20 — 1,130 4,724 Other Charges for and incidental to — Compassionate grants to dependants of deceased officers (additional) . . .. . . 205 Legal expenses (additional) .. . . . . , . ( a ) 750 Capital expenditure : Additions, improvements, and acquisition of new premises .. .. .. .. (6)15,000 15,955 Gross Total .. .. .. . _ 20,679 Credits-in-aid NET TOTAL—VOTE No 20,679

77

SUPPLEMENTARY ESTIMATES, 1939-40.

NATIVE TRUSTEE'S ACCOUNT.

(a) Required to meet possible further advances to mortgagors upon the recommendations of Courts of Review under the Mortgagors and Lessees Rehabilitation Act, 1936. £2,500 provided in Main Estimates.

Salaries. j Other Charges. Total. , VOTE No. .—NATIVE TRUST OFFICE— £ £ £ Gross Total .. .. .. .. .. .. 2.000 2,000 Credits-in-aid NET TOTAL .. .. .. 2,000 2,000 • l_. ii i Chargeable on the Native Trustee's Account. VOTE No. .—NATIVE TRUST OFFrCE. Charges for and incidental to — Section 11, Finance Act, 1933 : Protection, preservation, improvement, management, &c., of properties (including expenses incidental to carrying on farming business), and advances to mortgagors (additional) . . . . (a) 2,000 Gross Total .. .. .. .. 2,000 Credits-in-aid NET TOTAL—VOTE No. .. .. .. 2,000

SUPPLEMENTARY ESTIMATES, 1939-40.

STATE FIRE INSURANCE ACCOUNT.

78

Salaries. Other Charges. Total. VOTE No. .—STATE FIRE INSURANCE— £ £ £ Gross Total .. 50>00 0 50,000 Credits-in-aid NET TOTAL .. 50,000 50,000 £ £ ! £ Chargeable on the State Fire Insurance Account. VOTE No. .—STATE FIRE INSURANCE. Charges for and incidental to — Office premises : Capital expenditure —Land, buildings, alterations, additions, repayments of mortgages, and incidental expenses (additional) .. . . .. (a) 50,000 50,000 Gross Total .. .. .. .. .. 50,000 Credits-in-aid NET TOTAL—VOTE No. .. . . ! 50,000

SUPPLEMENTARY ESTIMATES, 1939-40.

STATE FIRE INSURANCE ACCOUNT —continued.

REMARKS. Estimates

79

SUPPLEMENTARY ESTIMATES, 1939-40.

INTERNAL MARKETING ACCOUNT.

(а) Mainly provision, of insulated storage. (б) Alteration, to wording of item appearing in Main Estimates.

80

Salaries. | Other Charges. Total. VOTE No. .—INTERNAL MARKETING— £ £ £ GROSS Total .. .. .. .. .. 1,110 350 1,460 Credits-in-aid NET TOTAL .. 1,110 350 1,460 Number £ £ £ oi Persons. Chargeable to the Internal Marketing Account. i93SM0|l938-39 VOTE No. .—INTERNAL MARKETING. Salaries — Clerical Division. Class 7/7— 4 4 (£80 to £155), (part year) .. .. .. .. 304 Non-permanents. 6 6 (£105 to £190), (part year) .. .. . . .. 748 Cadets' lodging-allowances .. . . .. .. 58 10 1,110 Other Charges for and incidental to — Alterations and improvements to Thorndon premises . . (a) 200 Fruit Marketing Committee and New Zealand Citrus Associations : Expenses and allowances of delegates and members .. .. .. .. .. .. (6) 300 Transfer and removal expenses .. .. .. 150 650 Less amount provided in Main Estimates but not required .. .. .. .. .. 300 350 Gross Total .. .. .. .. .. 1,460 Credits-in-aid NET TOTAL—VOTE No 1,460

SUPPLEMENTARY ESTIMATES, 1939-40.

BROADCASTING ACCOUNT.

(а) Visit to Australia for purpose of arranging feature supplies. (б) Increased provision required to meet cost of enlarged scheme for participation in Centennial Exhibition. £925 provided in Main Estimates.

6

81

Salaries, : Other Charges. Total. VOTE No. .—BROADCASTING— ! £ I £ ' £ Subdivision II. —Commercial Broadcasting .. .. .. .. j 2,040 \ 2,040 Gross Total .. .. .. .. .. •• 2,040 j 2,040 Cbedits-in-aid .. .. .. .. .. .. • • j NET TOTAL .. .. .. .. .. .. .. 2,040 2,040 Chargeable to the Broadcasting Account, VOTE No. .—BROADCASTING. Subdivision No. II. —Commercial Broadcasting. Charges for and incidental to — Expenses of officer's visit to Australia .. .. .. (a) 65 Participation in Centennial Exhibition (additional) .. (6)1,975 Total—Subdivision No. II .. .. .. 2,040 Gross Total .. .. .. .. .. 2,040 Credits-in-aid NET TOTAL—VOTE No 2,040

SUPPLEMENTARY ESTIMATES, 1939-40.

IRON AND STEEL INDUSTRY ACCOUNT.

(a) Provision for purchase of aerial map, annotation of statutes, and additional books for technical library. £60 provided in Main Estimates. (b) Purchase of further areas. £30,000 provided in Main Estimates. (e) Expenses of consultants' stafl required in New Zealand. £50,000 provided in Main Estimates for consultants' services, including preparation of plans, &c. (d) Expansion of activities. Provided in Main Estimates: Fuel, &c., £30; office furniture, &c., £20; and printing and stationery, £50. (e) £21,840 provided in Main Estimates. (/) Provision for further trunk line and additional receivers. £55 provided in Main Estimates. (g) It is anticipated that larger premises will shortly be required. (li) With the commencement of construction work an increase in this item is anticipated. £300 provided in Main Estimates.

82

Salaries. Other Charges. Total. VOTE No. .—IRON AND STEEL INDUSTRY— f £ £ GROSS TOTAL .. .. .. .. .. .. 44,855 44,855 Credits-IN-AID . . . . . . . . . . . . . . I NET TOTAL .. .. .. .. .. .. 44,855 44,855 Chargeable on the Iron and Steel Industry Account. VOTE No. .—IRON AND STEEL INDUSTRY. Charges for and incidental to — Audit fees .. .. .. .. .. .. 20 Books, publications, maps, &c. (additional) .. .. (a) 40 Development of industry and construction of works—■ Land purchases and compensation (additional) .. (6)40,000 Consultants' travelling-expenses .. .. (c) 1,500 Fuel, lighting, and heating (additional) .. .. (d) 20 Office furniture and fittings (additional) .. .. (d) 100 Printing and stationery (additional) .. .. .. (d) 25 Survey and other preliminary work (additional) .. (e) 3,000 Telephones, tolls, &c. (additional) .. .. .. (/) 30 Transfer of offices .. .. .. .. .. (g) 20 Travelling allowances and expenses .. .. .. (h) 100 GROSS TOTAL .. .. .. .. 44,855 Credits-in-aid NET TOTAL—VOTE No. .. .. .. .. — 44,855

This report text was automatically generated and may include errors. View the full page to see report in its original form.I whakaputaina aunoatia ēnei kuputuhi pūrongo, e kitea ai pea ētahi hapa i roto. Tirohia te whārangi katoa kia kitea te āhuatanga taketake o te pūrongo.
Permanent link to this item
Hononga pūmau ki tēnei tūemi

https://paperspast.natlib.govt.nz/parliamentary/AJHR1939-I.2.1.3.11/1

Bibliographic details
Ngā taipitopito pukapuka

SUPPLEMENTARY ESTIMATES OF THE EXPENDITURE OF THE GOVERNMENT OF NEW ZEALAND FOR THE YEAR ENDING 31st MARCH, 1940., Appendix to the Journals of the House of Representatives, 1939 Session I, B-07-part02

Word count
Tapeke kupu
13,290

SUPPLEMENTARY ESTIMATES OF THE EXPENDITURE OF THE GOVERNMENT OF NEW ZEALAND FOR THE YEAR ENDING 31st MARCH, 1940. Appendix to the Journals of the House of Representatives, 1939 Session I, B-07-part02

SUPPLEMENTARY ESTIMATES OF THE EXPENDITURE OF THE GOVERNMENT OF NEW ZEALAND FOR THE YEAR ENDING 31st MARCH, 1940. Appendix to the Journals of the House of Representatives, 1939 Session I, B-07-part02

Log in or create a Papers Past website account

Use your Papers Past website account to correct newspaper text.

By creating and using this account you agree to our terms of use.

Log in with RealMe®

If you’ve used a RealMe login somewhere else, you can use it here too. If you don’t already have a username and password, just click Log in and you can choose to create one.


Log in again to continue your work

Your session has expired.

Log in again with RealMe®


Alert