Page image
Page image
Page image
Page image
Page image
Page image
Page image
Page image
Page image
Page image
Page image
Page image
Page image
Page image
Page image
Page image
Page image
Page image
Page image
Page image

Pages 61-80 of 108

Pages 61-80 of 108

Page image
Page image
Page image
Page image
Page image
Page image
Page image
Page image
Page image
Page image
Page image
Page image
Page image
Page image
Page image
Page image
Page image
Page image
Page image
Page image

Pages 61-80 of 108

Pages 61-80 of 108

H—3l

1948 NEW ZEALAND

DEPARTMENT OF HEALTH ANNUAL REPORT OF THE DIRECTOR-GENERAL OF HEALTH

Presented in Pursuance of Section 100 of the Hospitals and Charitable Institutions Act, 1926

HON. M. B. HOWARD. MINISTER OF HEALTH

By Authority: E. V. Paul, Government Printer, Wellington. —1948.

H—3l

REPORT The Director-General of Health to the Hon. the Minister of Health, Wellington. I have the honour to lay before you the annual report of the Department for the year 1947-48. VITAL STATISTICS (The figures given include Maoris, unless otherwise stated) Population.—The mean population of the Dominion for 1947 was 1,802,637, an increase of 41,238 over the figure for the previous year (European, 1,696,188; Maoris, 106,449). Births.—The registered live births numbered 49,804 (European, 44,816; Maori, 4,988). The birth-rate for Europeans, 26*42 per 1,000 of mean population in 1947, as compared with 25*24 in 1946, is the highest since 1912. The Maori birth-rate was 46*86 per 1,000 of mean population. Deaths. —Deaths numbered 17,442 (Europeans, 15,904; Maoris, 1,538). The respective crude death-rates were 9*38 per 1,000 mean population for Europeans and 14*45 per 1,000 for Maoris. Infant Mortality.—lnfant deaths totalled 1,487 (European, 1,122 ; Maori, 365). The infant-mortality rate was 25*04 per 1,000 live births for Europeans and 73*18 per 1,000 live births for Maoris. In view of the high birth-rate and the generally overcrowded condition of maternity hospitals, the low death-rate of infants is very satisfactory. The following table shows details of infant mortality for the years 1941-47 inclusive :

Infant Mortality in New Zealand, 1941-47 (Per 1,000 Live Births)

2

(Europeans only) Year. Under One Month. One Month and Under Twelve Months. Total Under Twelve Months. 1941 20-00 9-77 29-77 1942 18-73 9-98 28-71 1943 21-27 10-10 31-37 1944 20-60 9-52 30-12 1945 19-59 8-40 27-99 1946 19-08 7-02 26-10 1947 18-08 6-96 25-04

H—3l

Analysis of Deaths of Infants Under One Month, 1945

Still-births.—The still-births for Europeans registered in 1947 numbered 911, giving a rate of 19*92 per 1,000 total births. This is the first occasion on which the still-birth rate has been below 20 per 1,000 births, the previous lowest figure (1946) being 21*75 per 1,000 total births. No figures are available for Maori still-births. The following table shows the death-rates for still-births and deaths of infants under one month of age for the years 1942-47 :

Rates Per 1,000 Total Births

Maternal Mortality.—Here again the Maori figures are not available. For Europeans the maternal-mortality rate, including deaths from septic abortion, was 1-07 per 1,000 live births, as compared with 2-05 in 1946. After excluding deaths from septic abortion, the rate was 0-85 (1*76 in 1946).

3

(Europeans only) Cause of Death. Under One Day. One Day and Under One Week. One Week and Under Two Weeks. Two Weeks and Under Three Weeks. Three Weeks and Under One Month. Total. Diphtheria Whooping-cough Influenza Syphilis Convulsions Broncho-pneumonia .. Pneumonia Diarrhoea and enteritis Congenital malformations Congenital debility .. Injury at birth Premature birth Other diseases of early infancy Other causes 21 6 33 244 36 4 1 *6 3 2 49 6 71 131 57 5 1 6 1 22 1 11 16 10 8 1 4 1 3 7 4 4 2 4 1 i I I I 4 1 2 2 4 1 2 2 1 i7 6 6 103 13 120 397 107 25 Totals — 1946 1945 1944 1943.. 1942 1941 344 312 289 254 260 280 331 293 270 284 269 293 76 70 76 61 54 70 30 28 43 25 26 38 18 22 14 21 25 21 799 725 692 645 629 702

(Europeans only) Year. Still-births. Under One One Day and Under Two Two Days and Under One One Week and Under Two Weeks and Under Day. Days. Week. Two Weeks. One Month. 1942 25-85 7-54 2-50 6-16 1-57 1-48 1943 26-25 8-16 3-53 6-59 1-96 1-48 1944 23-23 8-40 2-50 6-35 2-21 1-66 1945 22-84 8-24 2-43 5-30 1-85 1-32 1946 21-75 8-04 2-90 4-84 1-77 112 1947 19-92 7-87 2-89 4-44 1-31 1-20

H—3l

Summary of Vital Statistics, 1947 : EuMpem Maori Combllled Population, mean .. .. .. 1,696,188 106,449 1,802,637 Birth-rate per 1,000 population .. .. 26-42 46-86 27*63 Death-rate per 1,000 population .. .. 9-38 14-45 9-68 Infant-mortality rate per 1,000 live births .. 25-04 73-18 29-86 Death-rate, tuberculosis, all forms, per 10,000 population .. .. .. .. 3-09 32-88 4-85 This table shows at a glance the main difference between the Europeans and the Maoris in respect of vital statistics. PRINCIPAL CAUSES OF DEATH (Europeans only) The following table gives the main causes of death for the year 1946, and the deathrates therefrom per 10,000 of mean population for that year and the preceding four years. Owing to the difficulty of obtaining detailed statistics so early in the year, no attempt has been made, as in previous years, to supply this information for the year immediately past. The corresponding figures for 1947 will appear in next year's annual report: —

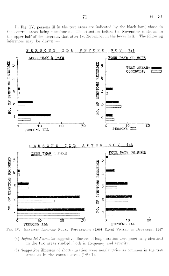
Poliomyelitis.—ln November, 1947, a number of cases occurred in Auckland, and the disease became epidemic in that area in December. By 31st March, 1948, it had spread to most North Island districts, but with only a few cases in the South Island. The epidemic has not yet declined and therefore a full report is not yet possible. The opportunity was taken in Auckland to carry out some field investigations, and in the Appendix will be found a contribution to the epidemiology of poliomyelitis as experienced in that area.

4

1946. Cause. 1945: 1944: 1943: 1942: Number. Rate. Bate. Rate. Rate. Rate. Heart-disease (all forms) 5,783 34-86 35-48 33-49 33-68 36-41 Cancer 2,268 13-67 13-88 14-02 13-85 13 • 13 Violence .. • • 871 5-25 4-92 5-37 6-06 5-76 Pneumonia 233 1-40 1-39 1-32 1-41 1-52 Pneumonia (secondary to influenza, whooping56 0-34 0-20 0-31 0-17 0-81 cough, and measles) Bronchitis 153 0-92 1-14 1-14 1-40 1-36 Broncho-pneumonia 328 1-98 1-78 1-82 1-67 2-11 Tuberculosis (all forms) Kidney, or Bright's, disease .. 560 3-38 3-78 3-81 3-72 3-94 451 2-72 2-62 2-80 2-83 3-19 Apoplexy or cerebral haemorrhage 1,597 9-63 10-26 9-28 9-79 9-90 Diseases of the arteries 194 1*17 1-57 1-23 1-22 1-22 Senility 323 1-95 2-90 2-94 3-17 3-02 Diabetes 338 2-04 2-00 2-10 2-16 2-28 Hernia and intestinal obstruction 101 0-61 0-78 0-74 0-65 0-74 Diseases and accidents of childbirth (puerperal 86 0-52 0-52 0-58 0-44 0-55 mortality) Appendicitis 52 0-31 0-38 0-50 0-47 0-44 Diarrhoea and enteritis 73 0-44 0-78 0-64 0-58 0-50 Epilepsy 44 0-27 0-28 0-30 0-46 0-53 Common infectious diseases— Influenza (all forms, including pneumonia) .. 111 0-67 0-33 0-40 0-42 1-61 Diphtheria 49 0-30 0-26 0-19 0-21 0-16 Whooping-cough 1 0-01 0-05 0-29 0-11 0-03 Scarlet fever 1 0-01 0-08 0-17 0-01 0-01 Typhoid and paratyphoid .. 7 0-04 0-02 0-02 0-02 0-05 Measles .. 16 0-10 0-06 0-05 1 0-20

H—3l

REPORTS OF DIVISIONAL DIRECTORS DIVISION OF PUBLIC HYGIENE Infectious Diseases Diphtheria.—During 1947 there were 546 cases of diphtheria (Europeans, 506; Maoris, 40), compared with 1,683 cases in 1946. The distribution of cases shows the same trend as in recent previous years, in that the North Island, with two-thirds of the population, had eight-ninths of the cases. This fall in the incidence of diphtheria is world-wide and cannot be claimed as the result of the Department's campaign of inoculation, important though that is. Scarlet Fever.—Notifications totalled 871 (Europeans, 866 ; Maoris, 5), compared with 1,465, 5,081, and 7,622 in 1946, 1945, and 1944 respectively. This disease appears to run in regular cycles, with peaks of high incidence about every eight years. On Ist December, 1947, a Notifiable Infectious Diseases Order was promulgated making streptococcal sore throat (including scarlet fever) a notifiable infectious disease. For a number of years it has been recognized that during every outbreak of scarlet fever a number of cases of sore throat without rash occur and may give rise to further cases of typical scarlet fever. It seems unreasonable to ignore these cases and to impose restrictions only in those cases showing a rash. In future, appropriate action will be possible in any case where there is good reason to suppose that a streptococcal infection is involved. Enteric Fever. —There were 146 cases, compared with 98 cases in 1946, and for the first time for many years the European cases (106) greatly outnumbered the Maori cases (40). The cause of this increase was the outbreak of typhoid fever at Kaikoura in October-November. A full report of this outbreak by Dr. J. H. Blakelock, Medical Officer of Health, Christchurch, is published in a somewhat condensed form as an Appendix to this report, and it is appropriate here to refer only to its main features. The outbreak was of an explosive nature, apparently tracible to an infected milksUpply. Prompt pasteurization of the milk was arranged for, and the outbreak terminated almost as suddenly as it had begun. A total of 78 persons were affected. A big strain was thrown on the local medical and hospital facilities, and the rapid control of the outbreak reflects credit on all concerned. The chief lesson to be learned from this outbreak is the importance of exercising adequate control over the hygienic handling of foods, and particularly milk. Given a similar set of circumstances the story could be repeated in many parts of New Zealand, and the general public is apt to forget the supreme importance of the enforcement of regulations for the hygienic handling of foodstuffs, which in ordinary times may appear to be irksome and unnecessary. In this case the price paid was a heavy one, as about 10 per cent, of the population at risk contracted the disease. There were 3 deaths. Poliomyelitis. —Notified cases numbered 134 (Europeans, 129 ; Maoris, 5). Up to the end of October only 9 cases had occurred, and of these only 3 had been reported for the months April to October. In the latter half of November, cases began to occur rapidly in the Auckland area, and by the end of the year there was a total of 125. Restrictions were imposed throughout the country on the gatherings and movements of children under sixteen. The outbreak continued throughout the summer, but was mainly confined to Auckland and South Auckland Health Districts, with a moderate number of cases in Taranaki.

5

H—3l

Up to 31st March, 1948, a total of 303 cases had been notified. The health district, sex, and age distribution was as follows :

Poliomyelitis, November, 1947, to March, 1948

In the 303 cases there were 18 deaths —a mortality of 6 per cent. Particulars concerning paralysis have been obtained for 275 patients, and show that— Ninety-two patients had some degree of paralysis (this includes the 18 deaths). Eighty-three patients had paresis but no paralysis. One hundred patients had neither paralysis nor paresis. This outbreak differs from previous outbreaks in both the age distribution and the degree of paralysis present. Of the 303 concerned, 211 were under fifteen years of age and 92 were over fifteen years. Out of 275 patients, 18 died and 183 did not have any paralysis and are likely to make complete recoveries. It is too early yet to determine what amount of residual paralysis will be suffered by the other 74 patients. Further Course of Outbreak : Up to the time of writing, the outbreak has continued, but has shown no tendency to extend markedly over other parts of the Dominion. A comprehensive report on the outbreak will be published in next year's annual report. Food Poisoning.—The number of cases reported was 24, compared with 248 in 1946 and 118 in 1945. A small outbreak of food poisoning in the Timaru Health District appears to have affected persons who had consumed oysters obtained at an oyster-bar on a racecourse. Investigation showed that the oysters had been removed from the shell the day before and stored in " clean " used egg-pulp containers. They were stored in a cool store overnight and taken a distance of thirty miles to the racecourse on the following day. As eggs are known to be sometimes infected with food-poisoning micro-organisms of the salmonella type, the infecting bacteria may have been present in the containers into which the oysters were placed. If oysters are eaten raw, they should preferably not be opened until immediately before consumption, but if any container is used for such a purpose it should be thoroughly sterilized by heat. In October in Invercargill 21 persons suffered from food poisoning after attending an association dinner. The infection was due to Staphylococcus albus and the vehicle was a trifle which was found to be heavily infected. The trifle had been prepared on the previous day and had been stored under temperature conditions that would have permitted considerable bacterial growth.

6

0-5 Years. 5-10 Years. 10-15 Years. 15-20 Years. Over 20 Vpars. Totals. Grand lOt'cUS* M. F. M. F. M. F. M. F. M. F. M. F. North Auckland .. 1 1 2 1 2 3 2 4 8 12 Central Auckland .. 23 14 35 9 11 12 i 5 20 ii 90 51 141 Thames-Tauranga.. 1 1 1 1 1 1 3 3 6 South Auckland .. 12 6 13 10 o 3 5 5 10 5 45 29 74 Taranaki 2 4 8 2 o 2 1 1 4 1 18 10 28 East Cape 1 2 I 1 3 2 5 Wellington - Hawke's 5 2 1 3 i 1 3 3 7 12 19 Bay Central Wellington 1 3 l 2 1 3 2 6 7 13 Christchurch i I 1 1 3 1 4 Timaru 1 1 1 44 30 60 30 24 23 11 17 40 24 179 124 303

H—3l

Venereal Diseases. —The following table shows the numbers of persons attending the venereal-disease clinics for the years 1942-47

Table I.—Number of Persons Seen for First Time and Found to be Suffering from Syphilis

Table II.—Number of Persons Seen for the First Time and Found to be Suffering from Gonorrhœa

The increase in male patients suffering from gonorrhoea noted in last year's report has unfortunately persisted. Before an improvement can be expected, more thorough investigation into the sources of infection would seem to be necessary. Unfortunately, the staff of some clinics are not sufficiently seized with the importance of this feature of venereal-disease control. No other notifiable disease calls for special mention, as tuberculosis and puerperal sepsis are referred to elsewhere. Non-notifiable Infectious Diseases. —Diseases such as measles, whooping-cough, chickenpox, and mumps are not compulsorily notifiable, because many patients are not seen by a doctor and the ordinary system of notification would be so ineffective as to be valueless. Recently an attempt has been made to invite voluntary notification by school-teachers of school-children who are known to be affected. Printed cards were distributed to schools, and head teachers were asked to send the Medical Officer of Health a weekly return. The system worked satisfactorily in many districts, but in some districts, notably Auckland, the co-operation of the teachers could not be obtained. Consideration was given to making the notification compulsory, but the general opinion among Medical Officers of Health after this trial was that the comparatively small value of the returns would not justify their being made compulsory. Infectious Diseases in Maoris. —The incidence of infectious disease in Maoris is shown in Table D. Little comment is called for, as in the case of most diseases the incidence is less than in recent years. The only marked exception is bacillary dysentery,

7

Year. Auckland. Wellington. Christchurch. Dunedin. Total. Grand Totals. M. F. M. F. M. F. M. F. M. F. 1942 70 78 53 71 18 11 20 6 161 166 327 1943 48 95 20 41 17 14 29 3 114 153 267 1944 21 48 14 26 14 10 27 4 76 88 164 1945 61 34 11 20 15 8 27 6 114 68 182 1946 77 26 20 25 25 13 30 4 152 68 220 1947 58 52 7 28 16 5 26 4 107 89 196

Year. Auckland. Wellington. Christchurch. Dunedin. Total. Grand Totals. M. F. M. F. M. F. M. F. M. F. 1942 312 286 236 63 181 69 75 73 804 491 1,295 1943 265 441 138 89 122 92 51 15 576 637 1,213 1944 215 470 140 59 139 86 50 22 544 637 1,181 1945 389 413 178 54 149 66 46 9 762 542 1,304 1946 639 329 235 42 168 31 115 13 1,157 415 1,572 1947 623 303 262 41 168 27 53 19 1,106 390 1,496

H—3l

the total incidence of which (75) nearly equals that for the three previous years taken together. Bacillary dysentery among Europeans, on the other hand, has fallen steadily from 314 cases in 1943 to 53 cases in 1947. The tables at the end of this section of the report give details of the cases of notifiable diseases reported in 1947. Food and Drugs Food 'and Drugs Act, 1947. —The food and drug legislation has been consolidated and amended by the passing during last session of the Food and Drugs Act, 1947. The new Act will enable the Department to exercise more effective supervision on the quality of food and drugs sold to the public. The old Act was passed nearly forty years ago and was defective in several respects. Sampling of Food and Drugs. —Samples taken during the year for analysis include 16,106 samples of milk, 2,587 samples of other foods, and 256 samples of drugs, disinfectants, and soaps. The tables below show the food and drug sampling by districts. Milk.—Of the 16,106 samples of milk, 1,342 failed to comply. This represents about 8 per cent, of the samples tested and must be regarded as unduly high. There is a marked difference in the quality of the milk sold in the North Island as compared with that sold in the South Island, where the non-complying samples are 14-5 per cent, of the total samples taken. In some cases when a conviction is obtained the fine imposed, which may be as low as £2 or £3, is hardly sufficient to act as a deterrent. When a vendor is detected selling watered milk he has probably been doing so for some weeks and has made a substantial additional profit thereby. Under such circumstances a small fine amounts to little more than a licence for illegal trading. Other Foods.—The principal other foods samples included ice-cream (920), milkshakes (176), cream (102), sausages and mince meat (264), bacon and ham (137)* meat-pickling preparations (210), cordials, beverages, and fruit juices (236). A consignment of " ground almond " examined in Auckland proved to be apricot kernels and to contain dangerous quantities of hydrocyanic acid. Fortunately no fatalities occurred, but one woman who consumed a quantity of the raw material became very drowsy. The whole consignment was seized and destroyed. Egg-pulp.—A number of samples of egg-pulp have been examined bacteriologically. In some cases the bacterial counts were very high. This is of considerable importance, as certain bacteria that are found occasionally in eggs are capable of producing food poisoning. When egg-pulp is bulked, one infected egg may contaminate a large quantity of egg-pulp, and may be the means of introducing infection on to equipment and containers and thereby affecting further large quantities of egg-pulp if the hygienic conduct of the plant is not of the best. In view of this risk and of the generally low bacterial standard of egg-pulp, it should only be used for cooking purposes where it will be exposed to considerable heat. The same necessity holds good for dried egg, as was found in Great Britain during the recent war, where numerous cases of food poisoning were traced to the use of imported dried egg. Hens' eggs when fresh are usually sterile, so that eggs are best left in the shell until they reach the consumer, and with the present shortage of eggs there should be little occasion for pulping. In fact, egg-pulping should only be resorted to as a means of utilizing fresh eggs that are cracked and unsaleable, or of storing eggs that, in the flush of the season, cannot be used in any other way. In the past many bakers and cake-makers preserved their own eggs in the shell, and on hygienic grounds this is greatly to be preferred to egg-pulping. No good purpose is served by pulping eggs for commercial use if they could be absorbed by the domestic market for home preserving.

8

H—3l

Samples of Foods and Drugs Taken and Dealt with During 1947

Bacon.—The sending of food parcels to Great Britain has increased the demand for tinned food of every variety, and particularly tinned meat. In particular, several firms have been marketing canned bacon without any satisfactory heat-processing treatment. In some cases the bacon is cut into rashers and wrapped in celophane, and in others the bacon rashers or lumps of bacon are packed in melted lard. Several samples of the bacon packed by these various methods have been examined bacteriologically and found to be heavily contaminated with staphylococci. As these may be capable of producing heat-stable toxins, and the bacon after packing may be exposed to temperatures favourable to bacterial growth, the marketing of such canned foods should most certainly be discouraged. The Department has seized several lots of such unsatisfactory canned bacon, and will continue to do so if necessary. It may be added that bacon cut into rashers, canned, and then processed by heat has been found to be in a satisfactory bacteriological condition.

9

Milk. District. Number of Number of Samples not Warnings Prosecutions Samples. Vendors. Complying. Issued. Recommended. North Auckland 196 Ill 7 1 Central Auckland 2,544 ! 1,199 114 64 5 Thames-Tauranga 233 164 11 9 South Auckland 1,699 1,490 97 80 "6 Taranaki 114 50 6 2 East Cape 496 381 37 12 7 Wellington - Hawke's Bay 1,990 636 91 19 2 Central Wellington .. 2,255 1,110 46 13 7 Nelson-Marlborough 201 92 4 1 Christchurch 3,161 661 362 70 i6 West Coast 201 125 12 3 4 Timaru 490 144 54 39 5 Dunedin 2,157 676 426 28 Southland 369 169 75 48 9 Totals .. 16,106 7,008 1,342 387 63 Other Foods and Drugs. District. dumber of Number of Samples not "Warnings Prosecutions Foods Seized Samples. Vendors. Complying. Issued. Recommended. and Destroyed. North Auckland 216 210 9 6 2 'Central Auckland 416 323 46 24 35 Thames-Tauranga 7 4 South Auckland 193 140 i6 ii i i5 Taranaki 16 16 6 2 17 Bast Cape 155 127 20 5 3 Wellington - Hawke's "Dn TT 307 205 22 | 6 3 x>ay Central Wellington .. 375 255 62 54 Nelson-Marlborough .. 90 27 11 1 21 Christchurch 776 344 196 39 28 53 West Coast 76 Timaru 199 63 9 1 2 27 Dunedin 537 220 14 44 Southland 54 30 14 I 5 | 4 Totals 3,341 1,964 418 ioo i 34 351

H—3l

Prosecutions.—A total of 63 prosecutions were taken in respect of milk samples and 34 in respect of other foods. In other cases of non-compliance, warnings have been issued. Seizure of Unsatisfactory Food. —On 357 occasions, consignments of food found to be unsatisfactory were seized and destroyed. These foods included tinned fish, fruit, sausages, flour, sugar, miscellaneous food damaged by sea-water, almond meal, rabbits, and nuts. Drugs.—ln past years very little routine sampling of drugs has been undertaken. A start has now been made to undertake routine sampling of a large range of drugs, and during the latter part of the year 95 samples were taken covering a fairly wide range of drugs. Most of the samples obtained from the larger manufacturing chemists were found to be satisfactory, and shortcomings were chiefly evident in drugs prepared or repacked and relabelled by pharmacists who undertook this as a side-line to their normal business. Dangerous Drugs and Poisons Consumption of Heroin.—ln last year's annual report mention was made of the increasing consumption of heroin in New Zealand. The Permanent Central Opium Board has recently published figures showing the estimated importation and manufacture for local consumption of dangerous drugs in the various countries that supply returns, and it is of interest to compare the estimated importation of heroin into New Zealand with that in other countries. The following countries do not import or manufacture heroin: United States of America, Austria, Bulgaria, Spain, Greece, Mexico, Nicaragua, Brazil, Chile, and Colombia. The following countries use less than 1 kilogram per million of population : Eire, Holland, Germany, Hungary, Switzerland, Czechoslovakia, U.S.S.K., Argentine, India, and Ceylon. Great Britain, Denmark, France, and Norway use between 1 kilogram and 3 kilograms per million of population. The corresponding figure for New Zealand is nearly 5 kilograms per million of population and is exceeded by one country only —namely, Finland. As stated in last year's report, the consumption of heroin increased markedly between the years 1944 to 1946. The Department communicated with a number of medical practitioners who appeared to be prescribing heroin with unnecessary frequency, and it is satisfactory to record that the consumption of heroin during 1947 fell from 7-8 kilograms to 6-4 kilograms. It is hoped that the figures for 1948 will show a further drop. As showing the extent to which a medical practitioner may thoughtlessly increase his prescribing of heroin one may quote the case of a doctor whose prescriptions for heroin during one winter month were 20 per cent, of his total prescriptions. In the corresponding month of the following year, after the matter had been brought to his notice, the proportion of heroin prescriptions had fallen to 2 per cent. The dangerous potentialities of this drug cannot be too often stressed. Heroin is five to six times as toxic as morphine and the margin between its effective dose and its toxic dose is very narrow. Of the various types of drug addiction, heroin addiction is the most difficult to cure. The prognosis of heroin addiction is extremely bad, even under relatively favourable circumstances. New Dangerous Drugs.—Two new synthetic drugs—amidone and methyl dihydromorphinone (commonly known as metopon)—will shortly be brought within the scope of the Dangerous Drugs Act. Both drugs have recently been declared dangerous drugs in Great Britain. Amidone is also sold under the names, methadone, dolophine, and' physeptone. Poisons Act and Regulations.—A quantity of caustic soda improperly packed and labelled was found to be on the market. Caustic soda must be packed in tins having a press-on lid to admit of satisfactory closing if the whole of the contents are not used at one time, whereas the tins in question could only be opened with a tin-opener and could not thereafter have been sealed. The importer was required to withdraw all stocks from the market, and the caustic soda was subsequently used for manufacturing purposes.

10

H—3l

Notification of Disease Table A.—(Europeans): Notifiable Diseases in New Zealand for Year Ended 31st December, 1947, Showing Distribution by Months

11

ffl m a £ .53 0 > © Pulmonary T.B. H f) (S * CS ©.s 0 1 bp 0 1 § i *03 p£3 Months. ft* <u "§ ci 02 Diphtheria. Typhoid Fever -a 0 1 U PH § § a Ph d Cerebral Spinal Men: a 0 £ 1 ■< Influenza. Erysipelas. Puerperal Fev (Ord Puerperal Fev< (Abo Eclampsia. Tetanus. Hydatids. Trachoma. Ophthalmia Neona Food Poisonin >» °o 03 ffl cj 8 a < > <D ft g 1 Lead Poisoninj Malaria. Lethargic Encep Actinomycosis Other. 1 Totals. January .. 57 46 2 139 35 3 11 12 10 4 2 8 1 1 2 3 4 343 February .. 55 29 2 "l 115 33 1 1 12 5 12 6 6 "l 1 8 "1 4 3 296 March 72 32 3 1 125 23 4 2 11 2 3 5 2 4 4 8 3 5 1 311 April 68 64 2 3 111 26 2 11 6 2 3 4 4 "l 4 3 1 ' 1 317 May 105 68 2 95 14 5 "1 23 4 13 11 3 10 1 "2 357 June 71 79 1 106 23 3 "l 27 3 9 14 "l 2 4 2 "3 350 July 91 54 ' "l 119 25 5 ' 1 23 5 10 12 1 2 ' ~4 5 3 1 363 August 71 38 "2 1 106 13 5 12 4 11 7 3 "l 4 5 2 1 "l ' 1 288 September 80 29 2 129 29 3 21 4 7 9 10 1 4 ' 1 ' 1 330 October .. 74 28 37 ' 1 116 25 6 ' '1 ' 'l 15 16 1 6 2 3 6 3 4 345 November.. 62 24 39 130 21 3 17 6 4 6 8 1 5 "3 2 6 337 December 60 15 6 105 29 2 104 "l 13 4 6 11 5 2 2 4 "l "l 371 Totals — 4,008 1947 866 506 98 8 1,396 296 42 130 3 185 ' 69 90 96 18 52 5 3 22 53 .21 32 2 12 2 1 1946 1,454 1,577 36 13 1,530 290 87 112 3 193 76 66 55 23 52 0 7 245 78 31 26 2 50 3 2 6,020 1945 5,033 996 23 8 1,722 329 98 14 8 248 75 100 46 12 41 10 5 111 151 21 25 3 187 5 3 53 9,325 1944 7,612 693 24 11 1,501 211 135 45 8 310 73 157 44 18 28 6 6 31 147 3 37 3 397 1 6 12 11,519 1943 1,196 830 60 12 1,799 221 434 178 4 321 59 149 44 13 43 22 10 81 314 2 23 9 4 1 1 5,830

H—3l

Table B.—(Europeans): Notifications of Cases of Notifiable Diseases by Health Districts for Year Ended 31st December, 1947

12

Name of Diseases. 1 < f Central Auckland. South Auckland. Thames-Tauranga. Taranaki. Bast Cape. Wellington - Hawke's Bay. 1 Central Wellington. § o rO j £ Christchurch. West Coast. Timaru. Dunedin. Southland. Totals. Scarlet fever 9 97 30 6 76 18 90 168 20 139 ' 37 40 92 44 866 Diphtheria 14 130 60 18 65 27 69 60 29 19 2 9 4 506 Enteric fever — (a) Typhoid 8 1 1 2 4 2 79 1 98 (6) Paratyphoid 2 2 i 1 2 8 Tuberculosis — (a) Pulmonary 28 329 67 45 50 25 140 231 46 185 30 64 118 38 1,396 (b) Other forms 2 40 15 3 5 4 19 50 10 69 2 17 52 8 296 Cerebro-spinal meningitis 1 7 4 2 6 3 8 3 l 4 3 42 Acute poliomyelitis 2 80 18 1 12 i 4 7 1 2 2 130 Influenza 1 1 1 Q Erysipelas 2 59 i2 3 4 2 24 43 i 22 i 6 6 185 Puerperal fever — (a) Ordinary.. 14 2 1 6 8 8 19 2 2' 25 69 (b) Following abortion 1 53 2 1 3 15 14 1 90 Eclampsia 5 19 6 1 *6 4 11 11 4 10 4 10 2 96 Tetanus 3 3 1 1 2 1 3 1 1 1 18 Hydatids 6 6 1 1 2 10 6 i 17 1 52 Trachoma 1 2 2 5 Ophthalmia neonatorum.. 1 i i 3 Food poisoning.. 2 5 9 i 4 I 22 Bacillary dysentery , , 3 *2 31 7 3 i i 53 Amoebic dysentery 2 2 15 2 21 Undulant fever 1 3 i 4 6 i 10 2 2 Chronic lead poisoning .. 1 1 2 Malaria 6 2 3 i 12 Lethargic encephalitis .. 2 2 Actinomycosis •• i 1 Totals 67 861 334 88 232 121 407 650 123 594 79 150 287 115 4,00S

13

H—3l

Table C.—Europeans: Notifiable Diseases in New Zealand for Year Ended 31st December, 1947, Showing Distribution by Age and Sex

Name of Disease. Under 15 5-10 10--15 15-20 20-25 25-30 30-35 35--40 40-45 1 Year. Years. Years. Years. Years. Years. Years. Years. Years. Years. M. F. M. F. M. F. M. F. M. F. M. F. M. F. M. F. M. F. M. F. Scarlet fever 4 7 94 92 176 215 64 87 21 34 9 16 4 5 3 14 1 6 5 3 Diphtheria 15 16 48 44 64 61 45 35 12 42 19 29 11 12 5 12 5 9 7 3 Enteric fever — (a) Typhoid 7 5 15 12 8 5 1 5 3 5 1 2 2 6 5 5 2 (6) Paratyphoid Tuberculosis — 1 1 1 1 11 (a) Pulmonary 4 2 13 7 17 14 9 30 54 87 92 213 80 85 60 72 62 54 49 44 (b) Non-pulmonary 3 1 9 16 14 19 8 13 11 15 18 23 19 20 17 9 10 5 7 7 Cerebro spinal meningitis Poliomyelitis 3 2 3 1 9 14 5 13 5 32 4 11 2 12 2 11 ' ~4 "7 1 5 1 4 1 2 ' *2 3 2 "4 "l "l 2 Influenza 1 1 Erysipelas ' A 1 5 "l "2 ' '3 "3 "2 "2 "3 "l "4 ' '7 '*6 "8 "3 "7 "7 "ll Puerperal fever — (a) Ordinary 5 25 23 10 5 1 (6) Following abortion 6 20 31 22 8 2 Eclampsia 12 36 23 14 10 Tetanus "l "2 2 ' '3 "2 "l "l 1 1 "l Hydatids 1 1 ' '2 5 2 7 "l "2 "l "l "3 2 2 Trachoma "l "l 1 Ophthalmia neonatorum "2 "l Food poisoning 1 2 "l "2 "2 "l "l ' '2 "3 "l 1 Bacillary dysentery "2 3 "4 5 "2 ' '7 ' '3 1 "2 2 1 2 1 "4 3 "l 1 Amoebic dysentery 1 2 3 5 "3 . . 2 1 Undulant fever "l "l "l "l "l 2 3 2 4 ' '2 3 1 1 1 Chronic lead poisoning 1 Malaria "l 5 "3 "l Lethargic encephalitis Actinomycosis ' 'l Totals 38 38 203 200 333 348 162 192 116 220 163 378 135 218 110 180 97 112 87 79

H—3l

Table C.-Europeans: Notifiable Diseases in New Zealand for Year Ended 31st December, 1947, Showing Distribution by Age and Sex— continued

14

„ - „„ 45-50 50-55 55-60 60-65 65-70 70-75 75-80 80 T . ola JName ot .Disease. Years YearSi Yearg> Years _ Years> Yearg> Years> and 0ver> lotais. 11. 1<\ M. F. M. F. M. F. M. F. M. F. M. F. M. F. M. F. Scarlet fever .. .. .. 2 1 1 1 1 384 482 Diphtheria .. .. .. .. 3 1 3 1 1 1 1 1 | .. .. 237 260 Enteric fever — (a) Typhoid .. .. .. .. 1 3 .. 2 1 1 .. 1 48 50 (b) Paratyphoid .. .. .. 1 .. .. .. 1 1 6 2 Tuberculosis — (a) Pulmonary .. .. .. .. 41 34 37 15 45 15 57 16 27 12 27 11 6 3 1 1 681 715 (b) Non-pulmonary .. .. ..10 7 1 5 7 2 6 2 2 5 2 1.. 1.. 1 144 152 Cerebro spinal meningitis .. .. .. .. .. .. .. 1 .. .. .. .. • • • ■ • • • ■ 24 18 Poliomyelitis .. .. .. .. 1 1 .. .. .. .. .. .. .. .. .. .. .. . • .. " 70 54 Influenza .. .. .. .. .. .. .. .. .. .. .. .. .. .. 1 .. .. .. .. .. .. ■ • 3 Erysipelas .. .. .. .. 6 7 3 10 6 10 11 10 7 11 4 4 3 2 1 1 74 111 Puerperal fever — (а) Ordinary .. .. .. .. .. .. .. .. .. .. .. .. .. .. .. .. .. • • .. .. • • 69 (б) Following abortion .. .. .. .. 1 .. .. .. .. .. . . .. .. .. .. .. • • .. • • • • 00 Eclampsia.. .. .. .. .. .. 1 .; .. .. .. . . . . .. .. .. .. • • • • ■ • • • • • 96 Tetanus .. .. .. .. .. .. .. .. .. .. .. 1 .. .. .. 1 .. .. . ■ 1 .. 5 Hydatids .. .. .. .. .. 4 1 2 2 1 3 1.. 2 2 2.. 2 36 16 Trachoma .. .. .. .. .. .. 1 .. .. .. 1 .. .. .. .. .. .. • • • • • • 4 1 Ophthalmia neonatorum .. .. .. ..' .. .. .. .. .. .. .. .. .. .. .. .. • • •. .. • • 3 Food poisoning .. .. .. .. 2 .. .. .. .. 2 .. .. .. .. .. 1 .. .. .. .. 8 14 Bacillary dysentery . . .. .. .. 1 .. 2 .. .. 1 4 .. .. .. .. .. 1 .. -.. 16 37 Amoebic dysentery .. .. .. .. 4 .. .. .. .. .. .. .. .. .. .. .. . . .. .. .. 19 2 Undulant fever .. .. .. .. 2 1 1 2 1 .. .. 1 .. • • • • • • 22 10 Chronic lead poisoning .. .. .. 1 .. .. .. .. .. .. .. .. .. .. .. .. .. .. .. 2 Malaria .. .. .. .. .. 2 .. .. .. .. .. .. .. .. .. .. .. •. • • .. .. 11 1 Lethargic encephalitis .. .. .. .. .. .. .. 1 1 .. .. .. •• •• •• •• •• •• •• 1 1 Actinomycosis .. .. .. .. .. .. .. .. .. .. .. .. .. • • • • . ■ • • • • • • • • 1 Totals .. .. .. .. 77 57 47 48 65 34 82 35 38 33 39 19 11 7 4 3 1,807 2,201 4,008

H—3l

Table D.—Maoris: Notifications of Cases of Notifiable Diseases for Year Ended 31st December, 1947

15

£ i i i i i £ 1 I S3 > a O i 1 ft f I i 1 Months, ft 2 .2p .zf S3 Is •2 O . .a 1 © 1 A <D Q .£3 qo GO cS 5 "cS rO <1 o. •3 1 Jifc .23 1 >> "1 c8 i s W — a 02 ! s 1 S>s H 1 PM 0 1 5 fe ,0 3 H X! <D | o f>4 5 £ 6 ft S. H | S3 S .2 ~~L <0 U1 I H Tetanu | f W .§ H a XS A O £ £ is 3 J M c8 I P 3 1 •« Other. Totals. January 6 1 25 7 1 1 1 1 43 February 7 5 28 7 1 i 13 62 March 5 9 27 5 1 1 2 3 6 59 April 3 2 28 7 1 3 4 2 50 May 3 4 45 4 1 1 1 1 8 69 June 6 7 28 6 1 5 53 July 1 1 43 8 1 1 1 16 77 August 2 4 43 1 1 11 64 September 2 1 34 10 1 1 1 50 October 1 2 44 4 1 2 4 59 November 3 3 29 1 1 1 i 3 42 December 1 1 38 9 5 2 9 8 66 Totals — 1947 5 40 40 412 69 6 5 4 5 1 1 8 11 3 1 2 78 2 i 694 1946 11 106 47 2 449 51 13 1 10 6 1 1 2 12 16 6 3 25 1 1 2 i 767 1945 48 79 42 1 450 71 20 2 8 3 1 1 6 19 2 7 45 2 , , 807 1944 10 20 50 476 66 20 1 9 7 i 4 11 39 1 2 14 2 1 i 735 1943 1 15 27 521 62 65 1 9 2 1 6 42 1 i 12 37 2 4 809

H—3l

DIVISION OF HOSPITALS (1) Hospital Board Expenditure Actual Payments by Hospital Boards for Both Capital and Maintenance £ 1947-48 .. .. .. .. .7,908,487 1946-47 .. .. .. .. 7,116,181 1938-39 .. .. .. .. 2,895,969 Of their total amounts, the amounts provided by levy on ratepayers were : £ 1947-48 .. .. .. .. 1,374,441 1946-47 .. .. .. .. 1,889,209 1938-39 .. .. .. .. 994,071 The fall in the levy in 1947-48 is due to the introduction of the stabilized rate. Estimated Payments by Hospital Boards for 1948-49 are approximately:— 1948-49 £ Maintenance .. .. .. .. 8,000,000 Capital .. .. .. .. .. 1,860,000 £9,860,000 The estimated capital expenditure is unlikely to be realized, as building projects usually take rather longer to complete than is estimated by Hospital Boards. The estimated maintenance expenditure for 1948-49, £8,000,000, compares with £6,637,878 for the previous year. Of the increase, £761,336 is accounted for by salaries and wages. (2) Departmental Institutions Expenditure The actual cost of the institutions conducted by the Department which is not included in the above figures under (1) are as follows : 1946-47 1947-18 £ £ Maintenance .. .. .. 150,701 169,807 Capital .. .. .. .. 20,596 50,883 The above costs for Hospital Boards and departmental institutions do not include the expenditure on mental hospitals or the £252,850 paid from Social Security Fund for treatment in private medical and surgical hospitals or the £214,963 paid from the Fund for the treatment in private maternity hospitals during the year.

16

H—3l

(3) Beds As at 31st March, 1947, there were available 13,822 public-hospital beds, or 7 • 8 per 1,000 of population. Of these, 1,428 were maternity beds. There were also 2,717 private-hospital beds, or 1-5 per 1,000 of population, of which 819 were maternity beds. The total of public and private hospital beds is 16,539. This does not include mental hospitals or certain charitable institutions. During the year, some 800 beds were closed in Auckland and Wellington owing to shortage of staff, while one or two wards were closed for the same reason at several provincial hospitals. (4) Controls of Hospital Board Expenditure The Budget announcement of 1946 stated that it is the view of the Government that a greater measure of control of Hospital Board Expenditure should be exercised. A number of Conditions of Employment Advisory Committees were set up to consider .the salary scales of various classes of employees. The nurses' salary scale was embodied in the form of regulations on 14th April, 1948. Various other classes of employees have been, or will be, considered by appropriate Salary Advisory Committees. Hospital Boards Expenditure Kegulations were gazetted on 19th February, 1948, by which the Minister may from time to time, by notice in writing, fix the maximum amount which a Hospital Board may spend in the then current or next ensuing financial year on any specified item or class of expenditure, and that on receipt of such a notice it shall be illegal for a Hospital Board to spend any sum in excess of the amount so fixed. ISFo notice has as yet been issued under this last regulation. (5) Appointment of Staff by Hospital Boards Before appointing medical officers, matrons, secretaries, and engineers, Hospital Boards are required to submit the list of applicants for the recommendation of the Minister, but Boards are at liberty to appoint any applicant, even if the Minister is not prepared to approve the applicant selected by the Board. There have been occasions when Boards have made, or proposed to make, rather unsatisfactory appointments, in spite of the Minister's or the Department's advice. The question arises as to whether the Minister should have power to veto an appointment which is not considered satisfactory. It is also considered that other officers who are not covered by the present Act, such as architects and principal dietitians, should be subject to recommendation by the Minister before appointment and should possibly be subject to veto by the Minister. A more satisfactory solution would be that the majority of hospital employees should be members of a unified service, with a system of classification, and with the right to promotion within the service. Certain medical specialists such as radiologists, eye, ear, nose, and throat surgeons, orthopaedic surgeons, and others are at present in short supply, and will become much more so when specialist benefits are introduced. It is

17

H—3l

desirable that the State assist suitable men to become trained in these specialities, but under the present system there is no guarantee that Hospital Boards would appoint them after they are trained. Other advantages of a unified service would be that personnel could be transferred temporarily to replace men who are away through sickness, holiday, or study leave. (6) Amalgamation of Hospital Districts The Local Government Commission sat at Whangarei on 22nd and 23rd October, 1947, after visiting the six northern hospital districts. Its final scheme, issued on the 12th December, provided for the amalgamation of these districts. Legislation has been recommended so that effect may be given to one of the Commission's recommendations that local committees of management be established in each of the districts to be superseded. (7) Hospital Board Building Programme The 1947 annual report stated that the average Ministerial consents to capital expenditure on building programmes over the ten years ended 31st March, 1947, was £642,103 per year. The expenditure in 1947-48 was £482,670. For the current year the Hospital Boards have asked for approval to the expenditure of £3,287,984 for building programmes, including loans. Of this total, approximately £750,000 is for the completion of works in hand, £850,000 is for proposals approved in principle, and the remainder is for projects still under review. With a number of major buildings about to be commenced, examples being the new Cashmere Hospital, the Chest Hospital, Auckland, and the new Waikari Hospital, Dunedin, the anticipated demand for next year is likely to exceed considerably that for the current year. Present and future demands thus far exceed the previous average annual expenditure. The many difficulties being experienced in the building industry will inevitably limit the amount of construction, and therefore great importance must be given to the relative priorities of the projects under consideration. Many projects must be deferred. (8) The Future The stabilized hospital rate, which applies to all Boards with the exception of Patea, whose rate is still below 0-sd. in the pound of rateable capital value, has resulted in a radically altered outlook on the part of many Hospital Boards. There is now a demand for buildings, equipment, and, in some cases, staff increases which would have been considerably more modest if the ratepayers had continued to find a proportion of all increases in expenditure. While limitations are imposed by the Hospitals and Charitable Institutions Act, 1926, for certain purposes, it is apparent that there must be wider financial control, such as, for instance, by the operation of notices under the regulations, fixing the maximum amount for various classes of expenditure. To assist in this direction a substantial addition to the staff of officers experienced in hospital matters is necessary. Having regard to the difficulties of the existing system, it may be that the question of a national hospital service is one that should be considered.

18

H—3l

DIVISION OF CHILD HYGIENE Health supervision of children was maintained by medical officers and District Nurses, and both doctors and nurses undertook health educational work among children, parent-teacher groups, mothers' clubs, and adult groups of many kinds.

The Medical State of the Primary-school Children

19

European. Maori. Number. Percentage. Number. Percentage. Number of children examined 83,599 9,412 Number of children found to have defects 31,963 38-23 3,174 33-72 Number with defects other than dental 23,048 27-56 2,750 29-21 Children showing evidence of— Subnormal nutrition 7,318 8-75 624 6-62 Skin-diseases .. 1,432 1-71 1,379 14-65 Heart and lungs (European 41,845, Maori 677, examined) — Heart— Organic disease 190 0-45 1 0-14 Functional disease 499 1-19 5 0-73 Respiratory disease 407 0-97 6 0-88 Posture— Slight impairment 29,411 35-18 2,413 25-63 Gross defect 4,107 4-91 283 3-00 Deformities of trunk and chest 1,409 1-68 121 1-28 Mouth Defect of jaw or palate 5,376 6-43 126 1-33 Dental caries 8,441 10-09 1,522 16-17 Extractions of permanent teeth 697 0-83 191 2-02 Fillings 65,354 78-17 5,037 53-51 Perfect sets of teeth 2,704 3-23 627 6-66 Gums : Gingivitis or pyorrhoea 263 0-31 98 1-04 Nose and throat— Nasal obstruction 2,890 3-45 130 1-38 Enlarged tonsils 9,116 10-90 1,040 11-04 Goitre (European 41,845, Maoris 9,412, examined) — Incipient 1,999 4-77 77 0-82 Small 226 0-56 14 0-14 Medium or large 16 0-03 1 0-01 Total amount of goitre 2,241 5-36 92 0-97 Eye— External eye-disease 499 0-59 26 0-27 Squints 314 0-37 5 0-05 Defective vision— Uncorrected 1,639 1-96 299 2-43 Corrected 1,262 1-50 25 0-26 Ear— Otorrhoea 93 0-11 70 0-74 Defective hearing 480 0-57 64 0-67 Defective speech 406 0-48 13 0-13 Mental— \Retardate 251 0-30 9 0-09 Feeblemindedness ' 97 0-11 1 0-01 Epilepsy 18 0-02 Nervous defects 222 0-26 1 o : oi Digestive system defects 61 0-07 2 0-02 Phimosis 40 0-04 2 0-02 Undescended testicles 281 0-33 11 0-11 Number of parents present at medical examination .. 21,665 25-91 387 4-11

H—3l

Subnormal nutrition remains high, the picture of the last five years being — European. Maori. Per Cent. Per Cent. 1943 .. .. .. .. 9-23 11-21 1944 .. .. " .. 9-53 6-33 1945 .. .. .. .. 9-49 7-94 1946 .. .. .. .. 8-07 7-38 1947 .. .. .. .. 8-75 6-62 A reference to the pre-school figures will show 7-59 per cent, subnormal nutrition in that age group. Subnormal nutrition is a personal assessment by the individual worker. However, the examiners have remained practically the same group of workers over these years, and the average of their findings giyes a guide to the nutrition of the children when it is remembered that each year it is the same age groups that are examined. The factors making for good nutrition are adequate rest and sleep, fresh air and sunshine, and a balanced dietary. The medical examiners find that our pre-school children are not well supervised for daytime rest and night-time sleep in many homes, and that fresh air in homes and bedrooms is not encouraged enough. Household dietary surveys made reveal wrong feeding in too large a proportion of our homes—excessive carbohydrate or energy foods and insufficient protein or body-building foods and protectives. The combination of these factors keeps our subnormal nutrition figures high. These findings by school medical examiners have been confirmed by other independent studies and investigators. For example, anaemia is present in 15 per cent, of schoolchildren in recent studies, from too low a dietary intake of iron. When these subnormal nutrition children are referred by medical officers for a term in a health camp, where they get supervised daytime rest, the correct amount of sleep, adequate fresh air day and night, and right feeding, they almost all respond by reaching or passing the correct nutritional level for their age. Posture continues to be unsatisfactory. Some of the poor posture is simply the result of bad habits of walking, standing, and sitting, and a smaller proportion will be consequent on subnormal nutrition. Goitre shows a further reduction from last year's low figure (7*24 per cent.) to 5-36 per cent, in European children. This would seem to indicate that the New Zealand household has learnt to use iodized salt except in a minority of homes, and that continuous health education in the prevention of simple goitre has borne fruit in the steadily lessening amount of goitre found in the last few years. When the primary-school figures are analysed for differences between town and country children, country children show more defects, excluding dental caries. The unfavourable country balance is built up mainly in more skin-diseases ; more deformities ; more pyorrhoea and gingivitis; more goitre ; more external eye-disease, squints, and defective vision; more discharging ears and deafness; more backward children and more defective speech ; more phimosis and hernia. Most of these things are preventible or possible of correction, and with improved knowledge country mothers could soon correct these unfavourable factors in the country child's health. Country mothers are absorbing and applying health teaching, for in nutrition they have redressed the unfavourable balance against the country child which has held in the past. This year's figures show the rural child as generally of better nutrition than the town one.

20

H—3l

The Medical State of Pre-school Children Health oversight of pre-school children is achieved in three ways: through Plunket Clinics, where the departmental medical officer works with the Plunket Nurse ; through pre-school clinics on school premises ; and at kindergartens ; the last two types of clinics being attended by departmental doctors and District Nurses. Number of children seen .. .. .. .. .. -. .. 7,121 Number of defects found— Number. Per Cent. Anaemia .. .. .. .. -- .. 599 8-41 Uncleanliness .. .. .. .. .. 20 0-28 Subnormal nutrition .. .. .. .. .. 541 7• 59 Protuberant abdomen.. .. .. .. .. 183 2-56 Posture defective .. .. .. .. -. 167 2-34 Deformities— Chest .. .. .. •• .. 117 1-64 Legs .. .. .. .. •• .. 531 7-45 . Feet .. .. .. .. .. .. 670 9-40 Skin-diseases .. .. .. .. .. .. 288 4-04 Heart: Organic disease .. .. .. .. .. 59 0-82 Lungs .. .. .. .. .. .. .. 65 0-91 Dental— Gums and soft tissues .. .. .. .. 42 0-58 Dental caries .. .. .. .. .. 1,210 16*99 Nose and throat— Adenoids .. .. .. .. .. .. 237 3-32 Tonsils .. .. .. .. .. .. 714 10-02 Goitre .. .. .. .. . - .. .. 19 0*26 EyesExternal disease .. .. .. .. .. 64 0• 89 Defective vision .. .. .. .. .. 38 0-53 Ears— Otorrhoea .. .. .. .. .. .. 17 0-24 Deafness .. .. .. .. .. .. 15 0-21 Phimosis .. .. .. .. .. .. 33 0-46 Undescended testicles .. .. .. .. .. 124 1 •74 Hernia .. .. .. .. .. .. .. 36 o*so Habit abnormalities — Bad food habits .. .. .. .. .. 568 7-97 Other bad habits .. .. .. .. .. 326 4-58 Bowel action abnormality .. .. .. .. 93 1 • 30 Eneuresis .. .. .. .. .. 350 4-92 Insufficient daytime rest .. .. .. .. 345 4-84 Insufficient sleep .. .. .. .. .. 249 3-49 In the pre-school children there is a welcome trend in better nutrition, 7-59 per cent, subnormal, as compared with the previous year, 8-80 per cent. That there is still wrong feeding in pre-school children is confirmed by the 8-41 per cent, of anaemia found. Poor posture has improved from the 4-71 per cent, in 1946 to 2*34 per cent., and this is probably a reflection of the improved nutrition and sleep and rest figures. There is a reduction in skin-diseases to 3-52 per cent, from 5*07 per cent, in 1946. There is far too much dental caries in this age group. It is imperative to keep the first teeth in good order if well-spaced good second sets are wanted, hence there is urgent need for the speeding-up of dental-clinic coverage of the pre-school child. There is a welcome bad habits from last year's figures, bad food habits falling from 10-01 per cent, to 7-97 per cent, this year, and other behaviour abnormalities from 6-74 per cent, to 4*58 per cent. There is also improvement in adequate daytime rest, insufficiency of same being 4-84 per cent., as against 5*04 per cent., in 1946, and in night-time sleep, admitted lack of same falling from 4-43 per cent, in 1946 to 3-49 per cent, this year. Environment influences the pre-school child's welfare and makes the parents' task more difficult. Dr. Buchler reports A noticeable finding in the pre-school medical examination was the association of bad housing conditions —overcrowding, living in flats, &c. —with complaints of anorexia, lassitude, constipation, and behaviour problems. The children receive inadequate fresh air, exercise, and rest, and the multiple control exercised where families are living with grandparents is responsible for many psychological problems.

21

H—3l

Dr. Anderson says : In our pre-school work our main obstacles are housing shortages and working mothers. The children are left with relatives or friends, so that they never develop any sense of security and have no one around them with a stable attitude towards them. These environmental conditions are not the whole story, for behaviour problems arise in households where the only cause operating is parental ignorance of correct child care. Our health education activities are meant to help " backward " parents. Immunization against Disease Whooping-cough.—lmmunization is given on request against whooping-cough, and endeavour is made to limit departmental work to the age group 3 months to 2 years. Older children are done for the first time when this age has been passed only on urgent representation of the parent. It is better to restrict this work to the age group at greatest risk. During the year, 4,892 complete courses of whooping-cough vaccine were given, of which 621 were in the older age groups. Typhoid Fever. —Maori children attending primary schools are vaccinated against typhoid and paratyphoid fevers with triple vaccine in the autumn term of each year. During the year, 19,684 children were vaccinated, only 469 of these being below five years of age, the remainder being in the age group of 5 to 15 years. Diphtheria.—There is an apparent falling off in diphtheria immunizations, 29,991 complete courses of prophylactic having been given during the year, as against 66,533 in 1946. The difference is accounted for in a change of incidence in immunizing personnel. The Department has been encouraging private medical practitioners to undertake this work and has supplied prophylactic free of charge for the purpose, on the understanding that practitioners would return to the Department a record of children immunized. The return of records to the Department is done by the minority of practitioners, but the immunizing work is now undertaken by the majority. The result is that our babies and pre-school children are being immunized, but the exact state of protection cannot be stated until better co-operation in the matter of records is forthcoming from the medical profession. Departmental officers immunized a smaller group, therefore, mostly within the younger age groups.

The Medical State or Secondary-school Children For the first time in medical inspection history it became a routine obligation of medical officers to inspect secondary schools. The beginning was in the nature of a trial run, each officer being asked to visit one secondary school and examine the School Leaving Certificate classes only. The response from teachers and parents was appreciative, and this activity will be intensified in the future as staff is augmented.

22

Health District. Babies, 3 Months to 1 Year. Pre-school, 1-5 years. School, 5-10 years. School, 10-15 years. | Total. North Auckland 1,281 784 93 1 98 2,256 Central Auckland and Thames1,502 859 99 28 2,488 Tauranga South Auckland 1,352 1,875 1,041 289 4,557 Taranaki 571 628 281 14 1,494 Wellington - Hawke's Bay 1,654 1,976 244 52 3,926 Wellington 1,344 931 804 8 3,087 Nelson-Motueka 304 373 162 48 894 Canterbury - West Coast 906 2,359 1,986 178 5,429 Timaru 156 444 281 184 1,065 Southland 171 982 617 89 1,859 Bast Cape 222 401 415 157 1,195 Otago 527 1,119 230 312 1,661 Totals 9,990 12,131 6,253 1,457 29,911

H—3l

About 2,000 children around the age of sixteen years were examined. They showed up reasonably well as regards fitness. One in three had some defect other than dental,, approximately one in ten carried themselves very badly, had dental decay, or showed an incipient goitre, while approximately one in twenty had defective vision. These were the more serious troubles and all are correctable or preventible. These findings, demonstrate the need for the extension of routine medical inspection into this age group. Mantoux tests which were done in 1,000 European children gave 176 positive reactions, or 17-6 per cent, of tuberculosis infection ; 128 Maori secondary-school boys, gave 38 positive Mantoux reactions, or 29*6 per cent. When the 176 positive Mantoux European children were x-rayed, only 8 showed tuberculosis lesions, 1 of these being of doubtful activity and continuing under chest clinic supervision, 1 showed a healed lesion, and 6 showed primary nodules only. Milk in Schools Scheme The Milk in Schools Scheme continued to operate during the year. In the various types of schools at which pasteurized milk was available, 162,000, or 70 per cent., of the approximate attendance of 231,500 accepted the \ pint ration. Malted milk was available to 9,500 children, and of these 8,300 accepted. A drink of cocoa made from raw milk was supplied to approximately 500 children. Apples in School Scheme Apples free of cost were supplied to pupils attending all types of schools during the apple season. A total of approximately 30,000 cases of apples were distributed. Health Camps Health camps operated throughout the year until they were closed at the end of November on account of the poliomyelitis epidemic. For the period under review, 3,243 children were admitted to permanent health camps and 60 to a summer health camp. Many more children were recommended by School Medical Officers than could be accommodated, the recommendations following ill health or for malnutrition showing no decrease over the last few years. To date it has not been possible to provide adequate facilities for health-camp treatment in the Auckland and South Auckland areas owing to construction difficulties at the partly completed King George V Memorial Health Camp at Pakuranga. Present indications are, however, that it may be possible to have this camp operating next year for a limited number of children. The Department is indebted to the volunteer workers in the New Zealand Federation of Health Camps (Inc.) for the efforts devoted towards managing King George Y Memorial Health Camps and also for their efforts in raising funds by means of the sale of health stamps, organized in close co-operation with the Post and Telegraph Department. The campaign for the year was most successful, with record sales of £107,000, of which the share of the Federation was £36,051. These moneys are used for the maintenance of children in the camps and also for the maintenance and replacement of buildings and equipment. Health Education The Department is endeavouring to provide aids to assist its own staff, teachers in all schools, and others interested in health education activities. Posters.—Eleven were printed during the year, to a total number of 100,000 copies. Four of these featured dental care, 4 dealt with food handling, 1 with finger-licking, and 1 with nursing recruitment. This brings the total of original posters produced over the last six years to 31. These posters circulate to schools, to interested groups of many kinds, and are displayed on railway-stations throughout the land.

23

H—3l

Glass show-case exhibits are maintained at Auckland and Wellington Railwaystations, with monthly changes of material. Show-cards with health messages changed bi-monthly are displayed in tram-cars and motor-buses throughout New Zealand. In a fixed proportion of railway carriages, a show-card, changed once a year, carries a health message for railway travellers. The mobile exhibit went on tour in the spring term, showing four days in Hamilton, two days in Huntly, and three days in Rotorna. During this period it was visited by 3,505 school-children and 1,035 adults. Smaller exhibits were made available to locally arranged health education efforts at Milton, Balclutha, Wellington, Christchurch, Putaruru, Lower Hutt, Whakatane, and Opotiki. Films and Visual Aids.—The health film library now comprises 198 titles, multiple copies of some of these bringing the talkie film total to 402 films. The services offered by this library are being increasingly accepted and used not only by departmental officers, but by an increasing number of Hospital Boards, who use the films for nursetraining purposes. During the year, 3,151 film showings were made to a total attendance of 191,072 persons. A talkie film was produced by the Department on the New Zealand School Dental Service. Scripts are under preparation for two talkie films on tuberculosis. One film strip, Cavity Filling and Preparation, was made for the Dental Division, bringing the total of our own produced film strips to 13. Five new 16 mm. sound projectors were purchased during the year to replace worn-out or unsuitable machines. Pamphlets. —Difficulties in paper-supplies hamper the production of pamphlets and leaflets. During the year the following were printed : Copies. Four pamphlets on nursing recruitment .. .. 50,000 Four leaflets on tuberculosis .. .. .. .. 40,000 One dental story, " The Sick Princess " .. .. 50,000 One maternal welfare book, " Suggestions to Expectant Mothers " .. .. .. .. .. 100,000 One pamphlet on Dental Nurse recruitment .. .. 10,000 Newspapers and Magazine Publicity. —Advertisements have been continued throughout the year putting health messages before the public through fortnightly changes in all newspapers and monthly changes in most of the circulating magazines of the country. Pulls of these advertisements, 20,000 copies, are obtained and circulated to schools and others interested, and used on our mobile and other exhibits. Radio Talks. —The daily ZB network talks were not resumed during the year owing to staff shortages, but the thrice-weekly YA network talks on health subjects were maintained throughout the year. DIVISION OF NURSING I have the honour to present my report for the year ended 31st March, 1948. At the beginning of the financial year I was granted two months' leave to attend a series of international nursing conferences held in the United States of America and Canada between 20th April and the end of May. These meetings, which were held in New York, Washington, and Atlantic City in the United States of America, and in Toronto and Montreal in Canada, consisted of the Grand Council of the Florence Nightingale International Foundation and subsidiary committee meetings, the Education Committee of the International Council of Nurses, the Grand Council of the International Council of Nurses, and the General Congress of the International Council of Nurses. The two Canadian meetings dealt with the training of nurses, both undergraduate and post-graduate.

24

H—3l

Hospitals and Staffing The problem of increased hospitalization and preventive medical services, with the consequent demand for larger staffs, is world wide. All the countries of western civilization are faced with a shortage of woman-power, due to the falling birth-rate between 1926 and 1935. This general shortage has lead to many and various suggestions regarding the training of nurses in order to attract well-educated women and at the same time produce sufficient staff to afford proper care to the patients. In the United States of America three types of training are developing : (1) The University hospital, which accepts only matriculated candidates, or with two years' University college education, in which the theoretical course is given under the jurisdiction of the University, and includes some cultural and scientific subjects. Nurses graduating from these schools obtain a degree of B.Sc. in Nursing. There are approximately 130 of these schools included in the 2,000 nurse-training schools in the United States of America. (2) The present recognized three-year course, which varies considerably from hospital to hospital and from State to State. (3) A nine months' course, including three months' theory at a high school with six months' clinical experience in a hospital. This course entitles the nurse to be licensed as a practical nurse. In Canada, developments are taking place on similar lines, with the exception that the University schools are schools apart from hospitals, and although the students obtain clinical experience in affiliated hospitals, they do not form part of the nursing service of the hospitals. Senior Matriculation or similar University standard of education is required on entrance. The course is a four- to five-year one and students graduating obtain the degree of B.Sc. in Nursing. Junior Matriculation is required of all entrants to Canadian schools of nursingThis, however, reduces the number of entrants, and consideration is therefore now being given to the training of the practical nurse. An experimental school has been set up in Ontario with the object of ascertaining whether the existing curriculum can be taught in two years instead of three, taking into consideration that the nurse trainees are relieved of the responsibility for the servicing of the hospital. In Great Britain, the Ministries of Health and Labour have produced a report entitled " The Working Party Report " making revolutionary recommendations which, if implemented, would not only revise the present curriculum, making it wider in concept, but would also place the control of education of nurses under a nursing education authority and not under the hospital authority responsible for staffing. New Zealand has the advantage of the conditions in our training-schools being more standardized than in most countries owing—(a) To the routine inspections over many years ; (b) To the guidance given by the Department in regard to standardization of nursing technique ; and (c) To the influence of the Post-graduate School, where our nursing executive officers have been trained. The Nurses and Midwives Board has laid down not only a theoretical curriculum, but also a clinical experience guide, which is being followed fairly well. This ensures that our nurses do obtain experience in all the various services which are required over;-: seas, with the exception of obstetrics and public health nursing. Here in New Zealand these, so far, are post-certificate courses.

25

H—3l

In the majority of instances our hospitals do have good teaching departments and equipment. Nurses' homes are not luxurious, but are comfortable. Recreational facilities are fairly good, although they could be improved in places. In spite of these conditions, there has been a marked shortage of staff —in certain hospitals particularly—and the following table shows the position with regard to nursing staff in our training-schools for the past six years :■ —

The decrease in occupied beds may in part be due to the number of Service patients being very much reduced, but is due also to a closing of wards and to shortage of staff. The proportion of nurses to patients, however, is better than for the last two years :

The total number of hospital beds available in New Zealand is as follows: —

The required number of nursing staff should be : Public Hospitals (of All Types, whether Training-schools or not). —Average occupied bed rate : 10,947. Allowing X nurse to 2 occupied beds and 1 registered nurse to 2 unregistered—i.e., 1 nurse to I*s general beds, 1 nurse to 1 maternity bed, 1 nurse to 3 tuberculosis beds —the total nursing staff would be 5,475, or 1,825 registered and 3,649 unregistered. Private Hospitals.—Average occupied bed rate : 1,500. Allowing 1 nurse to 1-5 occupied beds and 1 registered nurse to 1 unregistered, the total nursing staff would be 1,666, or 833 registered and 833 unregistered. Registered Nurses. —The shortage in registered nurses is largely due to a very high marriage-rate during the last two years (in one year, 1946, it was estimated at 600) and to the large number of nurses going overseas for further experience, which, for the year ended 31st March, was estimated at 160. Although there are a number of overseas nurses in New Zealand, the large majority are here primarily on a visit to the Dominion

26

— 1943. 1944. 1945. 1946. 1947. 1948. Number of daily occupied beds .. Number of registered nurses Number of pupil-nurses 6,808-5 1,172 2,974 7,603-2 1,366 3,124 8,493 1,500 3,390 8,550-05 1,347 3,280 7,812-1 1,199 3,203 7,352-5 1,221 3,138

— 1946. 1947. 1948. Total number of mirses to patients Total number of registered nurses to pupil-nurses 1-1-9 1-2-4 1-1-77 1-3 1-1-68 1-2-5

Type of Bed. Public Hospitals (Including Government Institutions.) Private Hospitals. Total Beds. (Exclusive of Mental Hospitals). Number of Beds. Number Per 1,000 of Population. Number of Beds. Number Per 1,000 of Population. Number of Beds. Number Per 1,000 of Population. Oeneral Maternity T.B. and I.D. 9,934 1.428 2,460 5-6 0-8 1-4 1,898 819 11 0-4 11,832 2,247 2,460 1 6-7 1-2 1-4 Total 13,822 7 • 8 2,717 1-5 16,539 9-3 Average number occupied 10,947 6-2

H—3l

and do not wish, to stay anywhere for any length of time. They are therefore only available for temporary positions. Because nurses often fail to renew their practising certificates, it is very difficult to obtain an exact estimate of how they are employed. The number on the Practising Register is 4,500. The number required is— For general hospitals .. .. .. .. 1,825 For private hospitals .. .. .. .. .. 833 For public health nursing including industry .. .. 600 For island services .. .. . - • • • • 100 3,358 Of the remaining number, there are probably at least 100 to 150 employed in doctors' consulting-rooms and at least 300 overseas, apart from the island services, leaving a surplus of approximately 650 unaccounted for. Pupil-nurses. —-With the object of reviewing the wastage of pupil-nurses in our training schools at the end of December, 1947, a questionnaire was issued to all training schools, and a summary of the Dominion findings as at 31st December, 1947, is as follows:

27

— 1945. 1946. 1947. 1. Average number of occupied beds .. 2. Average number of pupil-nurses 3. Total number entering hospital Number of these over 20 years 4. Number who resigned during training Number of these over 20 years (a) Number who left by end of preliminary school (b) Between preliminary school and end of first six months (c) Between six months and end of first year (d) During second year (e) During third year (/) Unaccounted above who resigned Reasons for Leaving 5. (a) Number who left to be married .. (b) Owing to family responsibilities .. (c) For health reasons (d) Who disliked the work (e) Who were unsuitable (/) Unable to reach examination standard— (1) In preliminary school (2) In Junior State Examination (3) In term examinations (g) Number who left for reasons unknown Oe Those Who Resigned 6. Number transferred as pupil-nurses to general, maternity, or aid schools Number transferred as hospital aids to subsidiary or private hospitals Number resigned but giving hospital service elsewhere 8,138-2 3,326-6 1,406 450 (32%) 661 (19-9%) 311 (47%) 69 (10-4%) 149 (22-6%) 152 (23%) 191 (28-9%) 80 (12-1%) 20 (3%) 163 (24-7%) 65 (9-8%) 118 (17-9%) 84 (12-7%) 68 (10-3%) 38 (5-7%) 46 (6-9%) 17 (2-6%) 46 (7%) 16 (2-4%) 62 (9-4%) 7,363-4 3,236-8 1,364 562 (26-6%) 677 (20-9%) 348 (51-4%) 66 (9-7%) 148 (21-9%) 165 (24-4%) 201 (29-7%) 76 (11-2%) 21 (3-1%) 189 (27-9%) 81 (11-9%) 93 (13-7%) 98 (14-5%) 82 (12-1%) 16 (2-4%) 33 (4-93%) 21 (3-1%) 48 (7-1%) 16 (2-4%) 64 (9-5%) 6,674-5 3,263-8 1,076 243 (22-6%) 563 (17-2%) 287 (51%) 68 (12%) 126 (22-4%) 138 (24-5%) 135 (24%) 87 (15-4%) 9 (1-6%) 153 (27-2%) 83 (14-8%) 84 (14-9%) 70 (12-4%) 66 (11-7%) 20 (3-6%) 17 (3%) 3 (0-5%) 52 (9-2%) 7 (1-3%) 59 (10-5%)

H—3l

These results show — (a) . That the number of entrants to training-schools was 330 less in 1947 than 1945, the greater proportion of the loss being in the twenty-year old and over group. (h) The greatest loss of pupil-nurses took place in the group of trainees who had completed between six and eighteen months' training. It is most important this year to ensure that this loss is reduced, if possible, otherwise the position with regard to registered nurses two years hence will be serious. (c) The average wastage in 11 out of 36 hospitals over the three-year period was 16 per cent, or less. This being so, it should be possible for the other training-schools to reduce wastage to a similar level. Recruitment To aid the recruitment of pupil-nurses, three major steps have been taken with, it is considered, positive results : (1) A Recruitment Committee was set up consisting of representatives of the Hospital Boards and of the Department of Health. The Government made a grant, and the Hospital Boards gave a subsidy proportionate to their population. The sum of £3,000 available was spent in advertising, in magazine articles, and in broadcasting. The Government provided booklets and posters and was responsible for the development of local films and for the purchase of overseas films. The newspaper-advertising campaign called for or encouraged inquiries to be made to Nursing Headquarters, a slip for this purpose being included in the text of the advertisement. Requests were received. It is realized that many of the inquiries were made by girls who were as yet too young to be accepted for training. Training-school matrons were advised of the names and addresses of the inquirers from their hospital districts in order that they could arrange for the necessary " follow up." At the recent annual conference of matrons it was agreed that the maximum results were obtained from publicity through girls' schools, and that local effort, in addition to the general publicity campaign, was essential. (2) Pre-nursing Course for Secondary-school Girls.—The Nurses and Mid wives Board and the Department have over the years been keenly appreciative of the necessity of encouraging the right type of girl to remain at school until eighteen years of age with the object of entering the nursing profession at the conclusion of her studies. To this end the co-operation of the Education Department and of the Hospital Boards has been sought and obtained, and through the combined efforts of all interested a pre-nursing course embracing the Endorsed School Certificate as to nursing has been designed. The scheme as originally suggested, which required the following subjects for School Certificate —i.e., English, General Science with Nutrition optional, Physiology and Hygiene, or Human Biology and Homecraft —has been amended. It is now provided that girls may qualify for the School Certificate in any subject, but they are recommended to take General Science with Nutrition optional, Chemistry, and Human Biology. It was felt that insistence upon the taking of the original subjects might restrict the right type of girl from carrying on to the Endorsed School Certificate stage. The Endorsed School Certificate, for which they will qualify during the last year of their secondary education, will include English and one other advanced subject already taken, in addition to nursing subjects as outlined by the Nurses and Mid wives Board.

28

H—3l

These nursing subjects are to be taught in public hospitals by tutor sisters on two afternoons per week and are to include practical experience in women's and children's wards. The salary and supervision of the tutor sister will be the responsibility of the Education Department. For these girls a concession in both the period of training and in subject-matter is under consideration by the Nurses and Midwives Board, and it is intended that they be allowed to sit the State Preliminary Examination three months after commencing training, instead of nine as is required in the ordinary case. The scheme has already been inaugurated at the Wellington Public Hospital, where a group of girls from the main Wellington secondary schools are being taught nursing subjects under a special tutor sister. (3) Salaries. —During the year, regulations were passed enabling Advisory Salaries •Committees to be set up to cover all those hospital employees who are not covered by an industrial award. Each profession has representation on its own Committee and the representations from the various Committees are co-ordinated by a General Committee. The Nurses' Salary Committee has four nurse representatives nominated by the Registered Nurses' Association, two departmental representatives, and two Hospital Board Association representatives. The result of the representations of this Board to the Hon. Minister of Health is that salaries for pupil-nurses and ward sisters have been raised considerably and some increase has also been granted to senior staffs. Further, the principle of the forty-hour week has been recognized, and where nurses "work longer hours they will receive a bonus based on rostered hours. It is hoped that this will eventuate in the salaries and emoluments of nurses being •comparable with those of other professions. Obstetrical Hospitals In New Zealand the number of births for the year has again proved a record, being the highest figure yet reached in any one year. The changeover from private-hospitals to public-hospital control has been extended during the past, and in many towns now there are no private maternity hospitals at all. This has meant that many hospitals which are obstetrical training-schools have had to accept larger numbers of patients than their beds warrant, and that Hospital Boards are training a larger number of ■eighteen months' maternity nurses to staff the smaller maternity hospitals, for which they are now responsible. These conditions have added largely to the responsibilities of the nurses in charge of maternity hospitals, with the result that the low maternal-mortality (1*07) and low infant-mortality rate (25-04) for the current year (although probably assisted by the use ■of the new drugs and careful obstetrics) does reflect great credit on a service where nursing plays such a major role in the care of the patient. The following table provides a basis for comparison with regard to occupied beds and staffing for the thirty-six maternity training-schools and four midwifery trainingschools :

29

— 1947. 1948. Total number of beds 759 863 Daily average occupied beds 613-9 702-3 Total number of confinements 15,217 16,628 Total number of registered nurses — Midwives 138 138 Maternity nurses 91 73 Total number of midwifery trainees 49 48 Total number of maternity trainees— Registered nurses 218 193 Eighteen months' trainee# 170 214

H—3l

From a staffing point of view these figures give a personnel of 211 registered nurses and 455 trainees to 702 occupied beds —i.e., 1 nurse to I*os occupied beds and 1 registered nurse to practically 2 trainees. The Nursing Division, through Head Office and the District Offices, has interviewed personally all nurses completing their maternity and midwifery training, in order to assist with the recruitment of staffs for obstetrical hospitals. A great deal of help has been afforded to Hospital Boards. The new salary scale for obstetrical nurses now provides for higher salaries and a definite career for nurses interested in obstetrics. It is hoped, now that Hospital Boards and their executive officers are largely responsible for this service, that conditions will be such as to encourage nurses to specialize in this very important field of nursing, a field upon which the future of our race so much depends. Early ambulation for obstetrical patients is being practised in several obstetrical hospitals—i.e., up from the 2nd day of the puerperium. If this includes the allowing of patients to attend to their own toilet, it is important that certain safeguards be followed. To this end, therefore, a circular detailing the nursing treatment for these patients has been sent to all hospitals. Nurses and Midwives Board The Board met four times during the year, Dr. T. F. Corkill replacing Dr. W. Young, who retired after being a member since its inception in 1926. The nurses of New Zealand owe Dr. Young a deep debt of gratitude for his unfailing interest and for his wise guidance. Matters dealt with by the Board, in addition to the State examinations, registration,, the routine reports on training-schools, and disciplinary matters, included a review of the terms of reciprocity with the various Australian States. This has become necessary on account of the large number of Australian nurses arriving in New Zealand. Health of Nursing Staffs in Training-schools During the current year the Department has appointed Dr. Wogan to assist Dr. Taylor, Director of the Division of Tuberculosis, to carry out a survey of the health history of nurses suffering from tuberculosis in any form, pleurisy, and erythema nodosum. In order to ensure exact information in connection with training-schools, a circular has been sent to all Medical Superintendents advising more detailed routine medical care for all nursing staff than has been previously recommended, and the use of a standard form in regard to the information to be supplied to the Department in connection with each case of tuberculosis, pleurisy, or erythema nodosum. It is hoped from this investigation that a policy will be formulated which will reduce the incidence of what must be regarded as a health hazard of the nursing profession. In the majority of hospitals there is now a senior member of the nursing staff who is responsible for the health service, and in some of the larger institutions this is the sole duty of that nurse. Included in the duties of this nurse is the keeping of health records and the ensuring that all medical examinations are kept up to date.

30

H—3l

The returns this year are disappointing, as it would appear that in spite of the care recommended and being given, although there have been no major epidemics, there were a large number of cases of gastro-enteritis and dysentery and also that there was an increase in the number of septic fingers. Both these conditions are preventable.

Public Health Nursing During the year there has been a slight increase in the number of District Nurses -employed by Hospital Boards to give bedside nursing on a visiting basis. Now that the number of doctors practising in the community has increased, the Hospital Boards were -circularized to the effect that District Nurses could only be employed under the social security benefits if the patients cared for were under supervision of a medical practitioner, so that it should be only necessary for nurses to make an initial visit without, except in cases of emergency, the patient being under medical supervision. The following table gives a summary of last year's work :

Comparative Summary of Work Undertaken by Hospital Board District Nurses

31

— 1944. 1945. 1946. 1947. 1948. Number of training-schools 37 38 40 37 38 Number of pupil-nurses 3,194 3,400 3,280 3,210 3,138 Number of registered nurses 1,366 1,500 1,347 1,199 1,228 Number of nurses suffering from — Septic fingers Tonsillitis 356 244 250 207 261 388 445 429 418 315 Gastro-enteritis and dysentery .. 250 152 290 300 458 Pulmonary tuberculosis 34 43 48 42 43 Non-pulmonary tuberculosis 4 3 4 5 6 Pleurisy 26 22 15 22 25 Erythema nodosum 13 19 29 22 24

Year ended 31st March, Quarter Ended 31st 1948. March, 1947. Number of nurses— North Island 71 South Island 44 Total 115 80* Total number of new cases referred from — Hospital 3,323 591 Private practitioners 7,403 1,325 Patient's own home 12,965 3,488 Total number of cases, including old and new cases— Nurses' centre 10,484 2,365 Patient's own home 44,800 9,615 Total number of visits, including old and new cases— Nurses' centre 25,009 2,376 Patient's own home 247,723 33,208 * Including 1 part-time.

H—3l

A small number of additional nurses have been appointed to carry out these combined duties, and in two districts, because of difficulties in regard to staffing, two Boards asked the Department to take over country districts. There are also eleven districts where the routine District Nurses' duties are carried out in combination with the Plunket Society—in some cases by the Plunket Society and in some by the Department. In regard to the routine work of the Department's District Nurses, this year the routine school work has been less in amount owing to the poliomyelitis epidemic, but, on the other hand, the diphtheria immunization programme has been extensively increased, with a large increase in the number of visits paid to infants and pre-school children, both Maori and European. The number of patients given bedside care has also markedly increased, particularly amongst Europeans, reflecting the work done for Hospital Boards in regard to this service.

Public Health District Nursing Service: Year Ended 31st March, 1948

Requests are being received now from many country districts for District Nurses to give a bedside programme. In view of this, the Hon. Minister of Health approved of the policy regarding district nursing being freshly set out in a circular to Hospital Boards, as follows : In view of the increasing demand for the services of District Nurses, and of the shortage of registered nurses for the New Zealand Nursing Service as a whole, it has been found necessary to review the general departmental policy with regard to these services. The current difficulties of

32

— Maori. European. School work — Hours spent in school work 5,197 29,669 Number of schools visited— With S.M.O. .. 47 1,360 Alone 3,170 11,625 Number of visits to homes of— School-children .. .. .. 26,475 21,274 Pre-school children 27,060 21,585 Tuberculosis control— Number of visits to homes 17,863 17,413 Number of cases seen at home 11,042 9,354 Number of contacts seen— Adults 14,294 12,351 Children 22,857 9,510 Maternal and infant welfare — Ante-natal cases seen .. .. .. 8,362 2,132 Confinements attended 82 12 Number of visits during puerperium .. 1,433 45 Infants seen at home or clinic 49,924 19,407 Attendances and treatments— Number attended at cottage or office 17,214 16,009 Number in own home 42,800 21,740 Total number of homes visited for any purpose 132,965 90,693 Number of inoculations .. 19,221 16,382 Social welfare cases .. .. .. 2,828 665 Pas or settlements visited 18,369 4,956 Lectures given— To school-children 1,219 4,954 To other groups .. .. .. 373 254

H—3l

organization and control, particularly regarding the respective responsibilities of Hospital Boards and of the Department, have necessitated this review in order to ensure that the utmost efficiency is attained. The general policy as approved by the Hon. the Minister of Health is therefore forwarded for your information and guidance. It is desired, however, to state that it is not intended that existing arrangements should be interfered with. It will be appreciated that the following three types of service are at present provided by District Nurses throughout the Dominion:— (1) Bedside care only, provided by District Nurses, some having the general nurses' qualification only, but the majority having double qualifications—i.e., general plus obstetric qualifications. (2) Generalized nursing care, consisting of a combination of bedside care and public health nursing care. These services can only be provided by nurses with double qualifications, plus the Plunket qualification, with, in addition, either post-graduate training in public health nursing or a short course in that subject. (3) Public health nursing only.—The qualifications of this group are the same as those in the preceding paragraph. It will also be appreciated that there are three types of districts served by District Nurses : (a) In Cities and Urban Areas with a Population of at Least 6,000. —In these areas, bedside service only will be provided by District Nurses, who will be employed by Hospital Boards ; in addition, in certain suburban areas with concentrated populations such as occur in close proximity to the four main centres, bedside care may also be provided by District Nurses employed by Hospital Boards. In the following types of district, public health nursing services will be provided by nurses employed by the Department:— (b) In rural areas with long distances between houses it is decidedly uneconomical to employ nurses providing bedside care only, and here the generalized nurse with_dual duties has been found to provide the most satisfactory service. These nurses will be employed by the Department, and may, where considered advisable, be seconded to Hospital Boards to ensure efficiency and mobility. The benefit of this system is that a large departmental service offers a career to young nurses and attracts nurses of a suitable type. Further, it ensures that nurses are not left in isolated areas too long, and can be placed according to suitability for the type of work being undertaken. (c) In the smaller urban areas it is considered that services should be provided by generalized nurses on the same terms and conditions as in scattered rural areas, as bedside care would not provide full-time employment—i.e., generalized nurses in these areas should be employed by the Department, or may be seconded to Hospital Boards. Control 1. Where bedside care is provided by District Nurses employed by Hospital Boards, the nurses will be under the control of the Medical Superintendent and matron, but will be subject to supervision by the Department of Health. 2. (a) Where generalized nurses are seconded to Hospital Boards, full and complete liaison between the Medical Superintendent and the Medical Officer of Health will be essential to ensure that an even balance of duties is maintained by each nurse. (6) Where generalized nurses are employed by the Department and are undertaking bedside care, they will be guided by the Medical Superintendent of the hospital in regard to the treatment of patients discharged from hospital or by the private practitioner under whose care the patients are. (c) Where public health nurses are employed by the Department, they will be under the control of the Department. Supervision Hospital Boards employing a number of District Nurses for bedside care only may appoint their senior District Nurse in a supervisory capacity. If the service is large enough, a special nurse prepared for and experienced in district work may be appointed to combine supervising duties with those of medical social work, thus linking the hospital with outside district nursing services. In rural areas where generalized nurses are employed, whether by the Department or by a Hospital Board, to prevent overlapping, the supervision will be exercised by the Department's Nurse Inspector, who will also exercise a general supervision over all district nursing services. It is desired that as soon as possible the district nursing services should be organized on the lines laid down herein, and in this connection the Medical Officers of Health will be prepared to advise and assist Hospital Boards to organize and provide the best type of nursing service for their respective districts.

2—H 31

33

H—3l

Staff Education The Introductory course is now held twice a year, in the months of February and August. The Gazette is published every quarter. In the district libraries, books, journals, and films have been increased, and the policy of quarterly group meetings in each district has been followed. Records A special committee representing the Medical Officers of Health, School Medical Officers, and Nurse Inspectors, with officers from Head Office, was set up to review the family record cards, and certain recommendations have been made for reprints which it is hoped to have in operation by the end of this year. Industrial Nursing During the year, Miss Ryan has visited all factories employing nurses or welfare workers. The Correspondence School has conducted, for this group of nurses, a course in industrial hygiene and working-conditions, Dr. Garland and Miss Ryan being responsible for the professional subjects. Much enthusiasm has been shown by the nurses attending the group meetings held by Miss Ryan in the main centres and where the subject material of the courses has been discussed. In addition, at the conclusion of the post-graduate course, and as an experiment, the Department appointed two Industrial Public Health Nurses to undertake preventive duties in groups of factories presenting special health hazards. Army Nursing Service This service has now assumed its peacetime role of a small unit of sisters who are responsible for the training of orderlies in the various Services. The Air Force and the Navy have both applied to have their hospitals approved as training-schools for male nurses under the new scheme of training, so that these sisters will now have new responsibilities. The hospital in Japan had its personnel reduced, and the number of sisters now posted is 14, with a complement of nurses to the number of 30. South Pacific Island Nursing Service I visited Suva, Fiji, with the Director-General of Health, Dr. Ritchie, in October, 1947, to attend a meeting of the South Pacific Board of Health. The most outstanding advance was a booklet on nutrition containing food values and recipes for island foods compiled by Miss M. Abraham, B.H.Sc., Certificate of Dietetics, following a period of research spent by her in the islands. Miss Josephine King, Dip.H.Sc., Certificate of Dietetics, has now been appointed dietetian to the Board, and it is hoped this important development will be expanded. The nursing services in the Gilbert and Ellice Group and in the British Solomon Islands have been extended by the appointment of an additional sister in each case. Towards the end of the financial year it became very difficult to fill all the positions falling vacant, particularly in Fiji, and several Australian nurses were appointed to fill the vacancies. Post-graduate School In March, 1948, the courses given at the school were enlarged to include a clinical course in obstetrics. Miss J. Alley is in charge of this course. She returned to New Zealand in January following a year's post-graduate study in Great Britain and Canada. The number of students has steadily increased, 67 being accepted for 1948.

34

H—3l

* The increase in number has necessitated certain structural alterations. The ground floor now provides a moderate class-room, a large library, and a conference room; on the second floor is a large class-room and offices. This has resulted in accommodation being provided for 3 nurses, instead of 14 as previously. With short introductory courses, refresher courses, and the post-graduate students, approximately 130 nurses passed through the school last year. It is therefore questionable whether a residential hostel should not be acquired. On account of the expanding work, it became necessary to enlarge the staff, and Miss A. Reid, who completed her work with UNRRA in June, 1947, and then spent several months doing observation work in North Europe, England, and Canada, joined the staff in March, 1948. A full-time secretary has also been appointed. Occupational Therapy Meetings of the Controlling Committee were held twice during the year, in addition to two meetings of the Selection Committee. Rules and regulations governing the course and examinations were laid down by the Committee, which also received the reports concerning the students and their training. Conclusion Several nurses received decorations from His Majesty the King during the year. These are women who have devoted their lives to their profession and have given excellent service in their particular field of service. Those receiving the 0.8. E. were Miss H. M. Comrie, Miss A. A. Joyce, and Miss M. L. Lindsay. Those receiving the M.B.E. were Mrs. L. G. McLean, Miss P. H. Chapman, Miss E. M. Julius, Miss T. E. Paora, and Miss M. Wehepeihana. This has been an exceedingly difficult year in regard to filling vacancies on the staff, particularly at Queen Mary Hospital, Hanmer Springs. Many nurses are not interested in this type of patient, and the hospital has the further disadvantage that it is a country hospital, with the result that the number of patients has had to be kept at a minimum. The St. Helens Hospitals are also under great disadvantage on account of lack of accommodation for domestic staff. This makes it difficult to obtain staff in this category. In order to assist hospitals generally with their staffing problems, the nursing officers at Head Office, and also the District Nurse Inspectors, have devoted a great deal of their time to the " follow-up " work involved in the re-employment of nurses who leave hospitals. The matrons of the public hospitals, lam sure, appreciate the amount of help they have received in this connection. I would again like to thank the executive officers of the other Divisions, together with the nursing and secretarial staff of my own Division, for their continued unsparing assistance. The Hospital Boards, Plunket Society, Order of St. John, New Zealand Red Cross Society, the Health Camp Association, the Crippled Children's Association, and the New Zealand Registered Nurses' Association have all . worked with the utmost co-operation with the Division, which is endeavouring to help to build the health service of New Zealand. DIVISION OF HEALTH BENEFITS It is now ten years since the Social Security Act, 1938, became law, and nine years since the inception of the first of the health benefits in May of 1939. Since that date scarcely a year has passed in which there has not been some addition to the range of medical and allied services available by way of benefits under Part 111 of the Social Security Act.

35

H—3l

There can be no doubt that the people of New Zealand have benefited considerably. There is now no economic barrier operating against the reception of good medical care : free radiological and laboratory services are available to assist the general practitioner in his diagnosis and in the treatment of the patient, pharmaceutical services, hospital services, massage services, and even a range of artificial aids are now freely available. These advantages have, however, been purchased only at a price, and in previous reports attention has already been called to the ever-increasing costs of benefits. Some of the factors contributing to these increased costs have also been touched on. It would be a grave mistake, however, to place the responsibility wholly upon those providing the services—the medical men, pharmacists, hospital licensees, and others. In many cases the beneficiary is equally responsible, and in others principally at fault. It seems to be forgotten by too many of our people that health services as organized in New Zealand are a form of insurance against sickness and ill health and that, whatever form or measure of service is demanded, it must inevitably be paid for, however indirect the payment may be. All too frequently one hears the statement that so much tax is being paid and that it behoves every one to get as much in return as possible. This attitude undoubtedly accounts for many trivial and unnecessary calls on medical men and for much unnecessary prescribing and wastage of medicines. No social measures can succeed where there is a lack of social conscience. It has been for the purpose of examining fully the present arrangements for the provision of medical and allied services and of formulating proposals for the correction of abuses and improvement of the various benefits that the Medical Services Committee, set up by the Hon. the Minister of Health in October, 1947, commenced its work towards the end of last year. Its investigations have now been completed, and the report is awaited. It is to be hoped that as the result of the Committee's deliberations the ensuing year may bring many improvements in the medical and ancilliary services provided under the Social Security Act. New Benefits Before reviewing the existing benefits it may be appropriate to mention the additional services provided during the past year. By an extension of the Social Security (Hospital Benefits for Out-patients) Regulations 1947, provision is made for the supply, by way of out-patient benefits, of certain artificial aids. Contact Lenses.—Persons with refractive errors which cannot be corrected by means of ordinary spectacle lenses may now obtain, through Hospital Boards, special contact lenses. The provision of this benefit has meant that patients with severe defects in vision, which in some cases would have led to complete blindness, have been able to obtain relief with the aid of these special lenses. Prior to the introduction of this benefit, contact lenses were not obtainable in New Zealand. The demand has, however, stimulated local industry, and all the lenses required can now be manufactured in this country. Hearing Aids.—Under the regulations referred to, hearing aids are now obtainable. Persons who have a degree of deafness calling for a valve-type aid can now obtain one model free, or if they wish to purchase an imported variety may obtain a subsidy towards its cost. Here again it is pleasing to be able to say that private enterprise in New Zealand has risen to the occasion and that the hearing aid which is being distributed free by Hospital Boards is manufactured in the Dominion. This benefit has met a long-felt need, as aids have not in the past been freely available owing to the price in most cases being beyond the pocket of the majority of persons. Hearing aid clinics have been set up at the principal hospitals to administer this benefit, and the deaf and hard of hearing may obtain a thorough professional examination, an audiometric test, and skilled advice by the clinic staff as to the use of their aids.

36

H—3l

Artificial Limbs.—Advantage has been taken of the organization set up for the manufacture and supply of artificial limbs for Service patients to make provision for the needs of civilian amputees. Civilians, by application to the Hospital Board for the district in which they reside, can obtain the same facilities for fitting and supply as can war amputees. Eighty per cent, of the cost of limbs supplied to civilians is borne by the Social Security Fund. Expenditure As in previous years, a table showing the expenditure on the various classes of •benefits since their inception is appended. Maternity Benefits This benefit continues satisfactorily. An increase in the benefit payable in respect of hospital services during the maternity period from a maximum of £ll to a maximum •of £l5 is reflected in the expenditure. Medical Benefits It is to be noted that the expenditure on general medical practitioners' services has ■again risen considerably. A proportion of this increase is due to additions to the number of medical practitioners, both New Zealand graduates and overseas arrivals, now on the register. Hospital Benefits Expenditure on this benefit has more or less stabilized, and the shortage of beds in both public and private hospitals operates against any substantial increase in this item. Pharmaceutical Benefits The increase in expenditure on this item has continued, but at a lesser rate, due, it is believed, to more active co-operation on the part of the medical profession. Considerable improvement in this direction is, however, still possible. A formulary is at present in the course of preparation. This, it is expected, will lead to a further decrease in the expenditure on this item. Badiological Services These are entirely diagnostic in nature, and more and more use is being made of these facilities in conjunction with the general-practitioner services. Laboratory Services These are also entirely diagnostic in character, and now that they have become free and can be used without fear of cost to the patient, medical men are taking full advantage of laboratory examinations in order to give a correct diagnosis. Massage Benefit These services are available free of cost at public hospitals and at approximately half-cost to the patient when the services of private masseurs are employed. Expenditure on this item has become more or less stabilized. District Nursing Services A very useful service is being rendered by Hospital Board and departmental nurses in bringing nursing services into the patient's own home and avoiding the unnecessary hospitalization of patients. These home visits, too, afford the nurses the opportunity of giving helpful instruction in measures for the promotion of health and of giving parents and relatives practical guidance in caring for minor sicknesses in the home

37

H—3l

Table I.—Social Security Fund Medical Benefits: Statement showing Expenditure Since Commencement of Benefits

38

_ — 1 1939-40 |(104 Months 1940-41. 1941-42. 1942-43. 1943-44. 1944-45. 1945-46. 1 j 1946-47. 1947-48. Subdivisior I.—Maternity Benefits (commenced 15th May, 1939) Public hospital fees Private-hospital fees Medical practitioners' fees Medical practitioners' mileage fees Obstetric nurses' fees St. Helens Hospital fees £ 74,780 139,602 45,938 1,031 16,022 6,440 £ 106,834 216,086 161,638 5,663 21,101 7,653 £ 113,276 227,315 176,973 6,215 18,940 7,151 £ 110,217 207,575 158,208 5,089 15,089 9,046 £ 114,930 209,841 162,227 5,044 12,027 9,870 £ 133,946 210,675 158,409 5,647 11,117 10,940 160,870 222,669 201,633 4,572 10,465 Contrib £ 223,914 202,928 232,088 4,825 9,234 ution now a £ 301,293 214,963 269,265 5,997 8,512 bolished ** 283,813 518,975 549,870 505,224 513,939 530,734 600,209 672,989 800,030 Subdivision II. —Medical Benefits (capitation scheme introduced 1st March, 1941; general medical services scheme introduced 1st November, 1941) Capitation fees Capitation and general medical services mileage General medical services Special arrangements under section 82 Purchase of sites and erection of residences for Medical Officers appointed under section 82 Remuneration, allowances, and expenses of medical practitioners in areas other than those covered by section 82 114,608 21,166 69,898 71,149 64,039 831,397 49,468 55,610 60,392 1,026,073 37,256 42,400 59,442 1,161,326 23,855 38,U84 68,965 1,291,448 27,495 1,317 31,187 90,289 1,600,601 35,428 2,673 396 22,945 109,522 1,993,806 37,714 3,839 205,672 1,016,053 1,179,331 1,287,023 1,427,309 1,760,574 2,167,826 Subdivision III. —Hospital Benefits (commenced 1st July, 1939); Out-patient Benefits (commenced 1st March, 1941) Treatment in approved institutions includes Ashburn Hall, Knox Home, Auckland, and Karitane Hospitals, payments to latter being in 1940, but dated back to 1st November, 1939 introduced Treatment in public hospitals Out-patient treatment Treatment in private hospitals Treatment in approved institutions Contribution to Consolidated Fund for — Mental hospitals Queen Mary Hospital Rotorua Sanatorium .. .. .. .. .; Rotorua Soldiers' Hospital ,. ,. ... 514,254 82 j 980 1,459 166,000 6,835 2,707 893,251 737 37,873 171,000 10,060 4,712 953,794 47,162 146,953 28,155 181,451 11,705 4,985 1,020,319 70,720 191,647 38,819 181,869 22,872 4,563 10,150 1,564,315 73,137 238,772 43,908 182,830 28,691 5,932 20,561 1,689,233 83,412 259,489 56,504 187,942 28,032 6,425 19,663 1,767,874 98,972 264,865 41,749 jcontributi 1,593,367 97,287 251,581 44,053 on now abo 1,536,417 117,385 252,850 42,837 lished. 774,235 1.258,633 1,374,205 1,540,959 2,158,146 2,330,700 2,173,460 1,986,288 1,949,489

H—3l

* £lO,OOO estimated for year ended 31st March, 1947, but not expended. t These are mainly in respect of hospital benefits. } Prior to Ist April, 1945, these recoveries were treated as credits in reduction of expenditure. For 1945-46 they are included in Miscellaneous Receipts, Social Security Fund. This should be taken into account when comparing published figures relating to Social Security Fund expenditure.

39

Subdivision IV. —Ph Drugs supplied by— Chemists Medical practitioners Institutions Radiological services (commenced 11th August, 1941) Laboratory services (commenced 1st April, 1946) Massage services (commenced 1st September, 1942) Specialist services (neuro surgery) District nursing services (commenced 1st September, 1944) .. Dental services Domestic assistance (commenced 20th December, 1944) Ambulance benefits* Artificial-aids benefits* Grand totals Recoveriest Net totals armoceuticc it Benefits \ (commencei 261,845 1,527 16,326 i 5th May 530,695 5,891 26,661 , 1941), (1 716,080 6,092 40,026 1 months) 933,490 6,231 40,516 1,082,342 6,030 44,994 1,389,638 5,879 44,169 1,507,521 5,973 44,856 279,968 563,247 762,198 980,237 1,133,366 1,439,686 1,558,350 Subdivisi on V.— Su pplemenlari 27,962 / Benefits 88,588 8^836 109,426 27 ,'331 1,066 128,842 32," 152 1,324 7,717 132,806 35 j569 2,260 58,880 ' 456 175,420 61,453 43,028 1,485 68,614 2^043 209,059 90,306 47,510 121 '82,756 105,109 2,865 8^067 27,962 97,424 137,823 170,035 229,971 352,043 545,793 1,058,048 1,777,608 2,437,407 3,722,907 4,751,437 5,298,729 5,564,315 6,211,580 7,021,488 1,350. 923 1,819 1,728 24,757 64,015 27,751J 20,384 47,630 1,056,698 1,776,685 2,435,588 3,721,179 4,726,680 5,234,714 5,536,564 6,191,196 6,973,858

H—Bl

DIVISION OF TUBERCULOSIS The general activities of the Division exercised in previous years have been continued. It is felt that the notification by general practitioners of all forms of the disease has improved, and in particular for the non-pulmonary forms. Planning of hospital and sanatorium accommodation again has occupied much time. Tuberculin testing of presumably healthy groups in industry has been extended in Auckland. The medical staffing position has improved, but there is still an acute shortage of nurses to attend tuberculous patients in sanatoria. In collaboration with the Vital Statistician, additional activities were undertaken by the Division in respect to standardizing general hospital records. The Director visited the United Kingdom and Scandinavia in June to October, and in a special report has advised the Government on the methods of prevention, diagnosis, treatment, and control of tuberculosis used in the various countries visited. Several recommendations submitted in this report are under active consideration. As tuberculosis is a long-term family epidemic and out of its right place under the infectious-disease section of the Health Act, 1920, much time has been spent in submitting proposals for special legislation to control this disease. The returns for the year 1947 as obtained from the notifications from general practitioners, hospital clinics, and the Department's case-finding scheme disclose the known position as at 31st December, 1947, as under : Stated morbidity of tuberculosis, all forms, Maori and European, in New Zealand as at 31st December, 1947, compared with previous years :

The increase in morbidity in both Islands, particularly of the non-pulmonary cases, is due to more accurate notification than to a marked increase in prevalence. New cases (actual or suspected) notified during 1946 numbered : Maori, 481; European, 1,693; total, 2,174. Of this total, pulmonary cases numbered 1,809 (Europeans, 1,397 ; Maoris, 442) and non-pulmonary 365 (Europeans, 296 ; Maoris, 69). The yearly trend suggests that there is a decline in the notification of the pulmonary forms of the disease in both Islands. The known incidence rates for all forms of tuberculosis are : European, 4-36 per 1,000 ; Maoris, 23-31 per 1,000; and combined races, 5-47. Of the 9,821 cases on the register at 31st December, 1947, 3,261 were returned as being in the " active," " infectious," or " potentially infectious " state. This latter figure is a slight reduction on the previous year.

40

North Island. South Island. New Zealand Totals. Year. Pulmonary. Non-' pulmonary. Totals. Pulmonary. Nonpulmonary. Totals. 1944 1945 1946 1947 5,038 (5,116 6,356 6,196 507 546 531 673 5,545 6,662 6,887 6,869 1,722 2,055 2,315 2,479 i 259 360 415 473 1,891 2,415 2,730 2,952 7,526 9,077 9,617 9,821* * Maoris included in this total = 2,463.

H—3l

The 1947 mortality returns for tuberculosis as supplied by the Government Statistician are scheduled as follows

1. Deaths from Tuberculosis, 1947—Age, Race, Sex, Pulmonary and Non-pulmonary Form: Crude Death-rates, by Race and Sex

2. Deaths from Tuberculosis, by Years, All Forms, Both Races, North and South Islands: Crude Death-rates (Worked on Estimated Population)

It is to be noted that death-rates for combined races in the North Island are higher than for the South Island, due to the high Maori death-rate affecting North Island figures. As there are few Maoris in the South Island, the figures for this area reflect mainly a rate for Europeans.

3. Deaths from Tuberculosis, by Years, Race, Pulmonary and Non-pulmonary Forms: Crude Death-rates (Worked on Mean Population)

It is to be noted that there is a record low death-rate for 1947. Of the 524 deaths (exclusive of Maoris) from tuberculosis, 424 (81 per cent.) occurred in hospitals or sanatoria, including 26 in mental hospitals.

41

Pulmonary Forms. Non-pulmonary Forms. Total Deaths, All Forms. Total Deaths, All Forms: Both Races; European. Maori. Both Races. European. Maori. Both Races. European. Maori. M. F. M. F. M. F. M. F. M. F. M. M. F. M. 1 F. M. F. 261 I 179 1 125 1 150 Death-rates on mean po] 386 I 329 194 42 ' t 42 36 39 78 1 81 303 3-56 221 2-6 161 29-41 189 36-54 464 1 5-14 410 4-55

Year. North Island. South Island. Deaths Crude Death-rates Per 10,000. Deaths. Crude Death-rates Per 10,000. 1943 .. •• 1944 .. 725 6-81 23S 4-31 1945 .. 734 6-43 240 4-32 1946 .. 733 6-21 223 3-89 1947 .. 651 5-33 223 3-83

On Mean Population Pulmonary. Non-pulmonary. All Forms. | 1 Crude Death-rates, All Year. Forms, per 10,000. a CtS fl S ■g . o OJ 2 j; CJ o .S O! U 3 CS rj & o, 3 o 5 J o M o 1 s 3 o a! *§ - o £ w W « (3 | « B O 1943 .. v 468 264 732 96 91 187 564 355 919 3-72 36-6 5-62 1944.. 485 285 770 106 87 193 591 372 963 3-81 37-40 5-96 1945 496 292 788 105 81 186 601 373 974 3-77 37-02 5-76 1946 459 292 751 102 103 205 561 395 956 3-38 39-04 5-42 1947 440 275 715 84 75 159 524 350 874 3-09 32-88 4-85

H—3l

The ratios of deaths to registered live cases at 31st December, 1947 and 1946, are as followsi 9 47. 1946. Non-Maori .. .. .. 1-14 1-12 Maori .. .. .. ..1-7 1-6-5 Combined races .. .. .. 1-11*2 1-10 In spite of the improved position as disclosed by these figures, it is probable that, intensified case-finding by mass radiography and tuberculin testing of presumably healthy groups of the population will bring to light more cases, particularly in the Maori race. Further particulars are as follows :

1. The Disposition of Registered Cases (Males, 5,238; Females, 4,583), All Forms, Both Races, by Years, at 31st December

It is to be noted that, since 1945, cases in institutions are relatively less for each successive year and those outside institutions have increased. Cases in hospitals are reduced as the result of closing down of beds due to shortage of nursing staff. Hutted patients (Maoris) show a decrease, and this is probably due to better Maori housing being provided. It is gratifying to note that the boardinghouse and nomadic group is not rising unduly.

2. Classification of Registered Cases, All Forms, Both Races, by Years, at 31st December

The 1944 to 1947 figures show no marked reduction in the cases classified as " active," but there is an increase in those classified as " inactive," suggesting that intensified supervision and treatment is producing an over-all favourable effect. A greater proportion of the known cases are being rendered less dangerous or infectious, a fact which should contribute towards a fall in incidence and mortality in the future. The known " active " infectious or potentially infectious cases, however, amount to 35 per cent, of all registered cases. Over one-half of these are being supervised with difficulty outside institutions. It is to be noted that there are still a number of registered cases whose classification has yet to be determined. Efforts are being made to reduce this figure to the absolute minimum.

42

Supervised in Institutions. Supervised Outside Institutions. Total under Supervision. Year. In Hospital. In Sanatoria. Total. In Home. Huts. Boardinghouse and Nomadic. Total. 1944 1945 1946 1947 1,114 1,116 1,055 1,072 661 706 688 648 1,775 1,822 1,743 1,720 5,308 6,535 7,067 7,403 182 181 207 163 466 539 600 535 5,956 7,255 7,874 8,101 7,731 9,077 9,617 9,821

Year. Classified. Classification Unknown. Active. Inactive. Deteriorating and Stationary (a). Improving (b). Totals, (or) and (b). Quiescent and Arrested (c). Apparently Cured (d). Totals, (c) and (d). 1944 .. 1,445 1,321 2,766 2,374 381 2,755 2,201 1945 .. 1,068 1,253 2,321 3,654 488 4,142 2,614 1946 .. 1,293 2,011 3,304 4,610 645 5,255 1,058 1947 .. 1,296 1,965 3,261 4,762 705 5,467 1,093

H—3l

3. Bacteriological Status of Registered Cases, All Forms, Both Races, by Years, at 31st December

The number of cases with " positive sputum " is less than 1946 and the number with " negative sputum " or " no discharge available for testing " has correspondingly increased. The number of cases which still have to be investigated is also less, but it is still far too high. This table indicates that more efficient control is being exercised and suggests that thereby the dangerous pool of infection is gradually becoming limited. District Nurses Altogether, 8,101 out-patients and 23,104 contacts are now being supervised by 221 District Nurses employed by the Department or by Hospital Boards. These nurses have been responsible for finding 314 new cases of tuberculosis during the year. Mass Radiography The Medical Director of the Taranaki mobile miniature x-ray unit reports that this unit during Ist May, 1947, to 31st March, 1948, made 11,487 examinations of 9,028 Europeans and 2,459 Maoris. One thousand of these examinations were in the Wanganui area. There was a poor response in the attempted resurvey of the Maoris, only 652 offering to repeat the examination made in the previous year. Of the total Maoris examined in the eleven-month period, 86 persons (1-5 per cent.) were found to have a definite pulmonary lesion and 35 persons were found to have questionable lesions. A total of 86 (3*l per cent.) were therefore recalled for large-film examination and, referred to chest clinics. Of the total of Europeans examined, 4-5 per cent, were recalled for large-film examination. The Division is hoping to extend mass radiography by establishing a miniature radiography training unit in Wellington under the Department of Health. At this unit it is hoped to' train sufficient staff to operate similar units which the Government has approved should be set up under groups of Hospital Boards in other parts of the country. Tuberculosis Research The Tuberculosis Committee of the Medical Research Council held one meeting during the year to receive a report on the investigations made overseas by the Director during his visit in 1947. Consideration is being given to investigating the possibilities of introducing B.C.Gr. vaccine immunization into New Zealand as a prophylactic measure against tuberculosis for those persons who desire to submit to inoculation. In response to a recommendation of the Research Committee, Dr. J. M. Wogan was appointed to the Department on a part-time basis as Tuberculosis Research Officer. He is investigating the incidence of tuberculosis in the nursing staff of New Zealand hospitals.

43

Year. Tubercle Bacilli in Sputum or Discharge. No Sputum or Not Investigated. Total. T.B.+ T.B.Discharge. 1944 1945 1946 1947 708 1,045 1,306 1,227 1.323 1,504 2.324 2,371 3,099 4,405 4,731 4,729 3,429 1,581 1,492 7,731 9,077 9,617 9,821

H—3l

Summary Although the mortality of tuberculosis disease in New Zealand shows a falling tendency since 1945, the registered incidence shows an accretion of 540 cases in 1946 and 204 cases in 1947. With case-finding and control organized as it is, there is reason to feel that stability has been obtained and that a further reduction in mortality and incidence can be expected. However, in spite of this apparent improvement, tuberculosis still holds in New Zealand the unenviable position amongst other diseases as reported last year. It is felt that the completion, as soon as possible, of the building for new and extra hospital accommodation as planned for tuberculous patients will contribute towards a further decline in the incidence and mortality of tuberculosis. DIVISION OF MATERNAL WELFARE Births The further increased number of births in 1947 imposed an added strain on the maternity services of New Zealand, but this was, to a degree, borne by the addition of beds to existing public hospital annexes and by the use of public-hospital wards where no other accommodation* was available. Comparison of Birth-rates Per 1,000 of Mean Population for Years Ending 31st December, 1946 and 1947 1946. 1947. Non-Maori .. .. .. ..25-24 26-42 Maori .. .. .. .. 56 • 49 46-86 Total .. .. .. .. 27-05 27-63 Non-Maori births were the greatest number recorded in any one year in New Zealand and the rate the highest since 1912. Accommodation (a) Hospital Boards.—ln the four main centres during 1946 and 1947 the Hospital Boards have provided 175 additional beds. In Christchurch the new St. Helens Hospital is in course of construction to provide 50 beds. In the provincial towns of Blenheim, Hastings, and Tauranga, up-to-date annexes now provide 46 beds. At the end of 1947 a total of 1,246 beds was available under Hospital Board supervision, as compared with 1,180 in 1946, representing a gain of 66 beds. (b) Private Hospitals. —The total number of available beds in private maternity hospitals at the end of 1947 was 829, as compared with 942 in 1946, representing a loss of 113 beds. The following figures show the total available bed accommodation for New Zealand : Public hospitals .. .. .. .. 1,246 Private hospitals .. .. .. .. 829 St. Helens Hospitals .. .. .. .. 106 Alexandria Home, Wellington .. .. .. 19 2,200 This figure represents a bed ratio of 5-54 beds per 1,000 of female population in the age group 15-44 years.

44

H—3l

Standard of Accommodation For Private Hospitals where good clinical results were obtained it was decided to disregard minor defects occasioned by wear-and-tear on buildings or in architecture. It was found impracticable, because of high, costs and labour shortage, to expect licensees to meet heavy outlays, as this would probably have resulted in more licences being surrendered. By operating their smaller institutions to full capacity they were easing the burden on the State hospitals, which could not cope with the demand. For Public Hospitals. —In the South Island the available accommodation is poorest in Invercargill, Oamaru, and Gore. In the North Island : The increasing number of Maoris using the State maternity hospitals has created an acute shortage of beds and a clamant need for annexes to be built or enlarged in a number of areas. At some northern annexes facilities are poor, which makes staffing problems difficult. Staff shortages in turn vitiate the establishment of breast-feeding and too many infants are sent home bottle fed and/or under weight. (These comments are made fully aware of and in deep appreciation of the manner in which existing staffs have worked of recent years to cope with a greatly increased number of deliveries.) A new low record of European maternal mortality, excluding deaths from septic abortion, has been established in New Zealand with a rate of 0-85 per 1,000 live births, as compared with 1-76 per 1,000 live births for 1946, which was then the lowest rate ever recorded in New Zealand. Including septic abortion, the figures are 2-05 and 1-07 per 1,000 live births respectively for the years 1946 and 1947. This drop can be attributed to a combination of factors which, while they have been quietly operating for some years, seem to have culminated in 1947. This figure is so low that it issues a challenge for the future. The accompanying table shows the causes of deaths of all mothers who had reached or passed the twenty-eighth week of pregnancy during the four years, 1944 to 1947. New Zealand, with a European population showing a relatively high tendency to some degree of toxaemia and a Maori population showing a relative freedom from toxsemic complications, offers unique scope for research into both the incidence and the etiology of eclampsia.

Causes of Maternal Deaths Occurring after Twenty-eighth Week of Gestation, Years 1944 to 1947

45

V Toxaemia and Eclampsia. Haemorrhage and Placenta Prsevia. Puerperal Sepsis. Contracted Pelvis. Embolism. Ruptured Uterus. Inversion of Uterus, " Obstetrical Shock," " Collapse," &c. Total. 1944 26 9 4 11 8 58 1945 26 9 4 2 10 6 57 1946 29 10 5 1 11 5 5 66 1947 12 3 1 1 5 2 6 30 Totals .. 93 31 14 4 37 7 | 25 211

H—3l

Table No. I.—Number of Births P.A., Birth-rates, Neo-natal Death, Still-birth, and Maternal Death-rates

Table II. —Puerperal Mortality, 1947 (European), showing Number of Deaths and their Proportion to Live Births

46

(Average rates for each year from 1943 to 1947) 1943. 1944. 1945. 1946. 1947. Number of live births per annum .. .. E. 30,311 33,599 37,007 41,871 44,816 M. 4,440 4,508 4,644 5,776 4,988 Live-birth rate .. .. .. .. E. 19-70 21-59 23-22 25-24 26-42 M. 45-78 45-32 46-09 56-49 46-86 Combined 21-25 23-01 24-58 27-05 27-63 Still-birth rate per 1,000 total births .. .. E. 26-25 23-23 22-84 21-75 19-92 Neo-natal death-rate per 1,000 live births .. E. 21-28 20-60 19-59 19-08 18-08 M. 18-92 19-30 26-05 18-35 17-84 Still-birth rate and neo-natal death-rate com- E. 46-97 43-35 41-98 40-42 31-63 bined per 1,000 total births Maternal-mortality rate (including septic abor- E. 2-21 2-71 2-24 2-05 1-07 tion) per 1,000 live births Maternal-mortality rate (excluding septic abor- E. 1-71 2-14 1-94 1-76 0-85 tion) per 1,000 live births E. = European ; 2 (I. = Maori.

Number Death-rate of per 1,000 Deaths. Live Births. Septic abortion 10 0-22 Puerperal sepsis folJowing childbirth 3 0-07 Accidents of labourPlacenta praevia 2^ Post-partum haemorrhage 2 Puerperal embolism and thrombosis without puerperal 3 sepsis >15 0-34 Other— Obstretrical shock and heart-failure 5 Ruptured uterus 3^ Toxaemia of pregnancy— Eclampsia 51 Puerperal toxaemia (pre-eclamptic) 6 J>12 0-26 Acute yellow atrophy of liver 1J Accidents of pregnancy — Abortion (non-septic) 21 Ectopic gestation 5 y 7 0-16 Ante-partum haemorrhage, without delivery • •J Parturition (unspecified) 1 0-02 Total maternal deaths — Excluding septic abortion 38 0-85 Including septic abortion 48 1-07

H—3l

Table III. —Maori Puerperal Deaths and Death-rates for the Ten Years 1938 to 1947 Inclusive

Table IV. —Maternity Hospital Statistics, 1939 and 1943 to 1947

47

1938. 1939. 1940. 1941. 1942. Cause of Death. No. Bate. No. Rate. No. Rate. No. Rate. No. Rate. Puerperal sepsis following childbirth Accidents of labour (haemorrhage, thrombosis, phlegmasia, embolism, and following childbirth, not otherwise defined) Toxaemia, albuminuria, and eclampsia Accidents of pregnancy 6 10 1-62 2-70 3 12 0-73 2-92 6 7 1-41 1-64 3 9 0-73 2-18 3 7 0-70 1-62 2 2 0-54 0-54 2 0-49 1 3 0-23 0-70 1 1 0-24 0-24 4 1 OO K) CO Total maternal causes (excluding septic abortion) 20 5-41 17 4-13 17 3-99 14 3-39 15 3-48 Septic abortion 2 0-49 3 0-70 2 0-48 5 116 1943. 1944. 1945. 1946. 1947. Cause of Death. No. Rate. No. Rate. No. Rate. No. Rate. No. Rate. Puerperal sepsis following childbirth Accidents of labour (haemorrhage, thrombosis, phlegmasia, embolism, and following childbirth, not otherwise defined) Toxaemia, albuminuria, and eclampsia Accidents of pregnancy 6 1*35 3 6 0-67 1-33 4 3 0-86 0-65 1 15 0-17 2-60 8 1*61 3 0-68 2 2 OO '2 0-43 3 3 <M OO 1 2 OO OO Total maternal causes (excluding septic abortion) 9 2-03 13 2-88 9 1-94 22 3-81 11 2-21 Septic abortion 1 0-23 2 0-44 1 017

— 1939. 1943. 1944. 1945. 1946. 1947. Number of hospitals 272 297 287 275 263 245 Number of beds 1,680 2,108 2,078 2,066 2,249 2,200 Admissions for ante-natal treatment 1,299 2,403 2,448 2,741 2,930 3,092 Admissions for delivery 27,083 32,287 34,621 38,360 42,641 45,713 Confined at full term 25,521 30,549 32,629 36,405 40,416 43,467 Confined 7-9 months 1,285 1,696 1,881 1,955 2,005 1,870 Per 1,000 confinements 47-9 52-6 54-5 51-0 47-3 41-24 Total confined 26,806 32,231 34,533 38,360 42,421 45,337 Per bed 16-0 15-3 16-6 18-6 18-9 20-57 Abortions 165 196 243 194 165 155 Per 1,000 confinements 6-2 6-1 7-0 5-1 3-9 3-42 Instrumental deliveries 2,672 3,419 3,248 3,634 4,602 5,284 Per 1,000 confinements 99-7 97-7 94-1 94-7 108-5 116-5 Manual removal of placenta 187 185 217 243 279 334 Per 1,000 confinements 7-0 5-7 6-3 6-3 6-6 7-3 Haemorrhage—accidental 91 113 108 167 153 198 Per 1,000 confinements 3-4 3-5 31 4-4 3-6 4-3 Haemorrhage—Placenta praevia 113 166 172 194 216 191 Per 1,000 confinements 4-2 5-2 5-0 5-0 51 4-2 Haemorrhage —Post-partum 330 431 463 436 539 614 Per 1,000 confinements 12-3 13-4 13-4 11-4 12-7 13-5 Eclampsia 81 84 78 86 92 95 Per 1,000 confinements 3-0 2-6 2-3 2-2 2-2 2-1 Infant deaths 414 462 491 487 533 570 Per 1,000 confinements 15-4 14-3 14-2 12-7 ' 12-6 12-5 Still-births . 749 746 709 801 824 785 Per 1,000 confinements 28-0 23-1 20-5 20-9 19-4 17-3

H—3l

DIVISION OF DENTAL HYGIENE A significant feature of the work of the Dental Division during the past year has been the operation for the first complete year of the dental-benefits system under the Social Security Act. The inauguration of this system was noted in the last annual report, the new service having been launched on the Ist February, 1947. It is possible now to give an account of the first fourteen months' operation of the system —that is, up to the 31st March, 1948—and this appears in the appropriate section of this report. Shortage of staff at all levels continues to hamper the effort to maintain a completely effective dental health service. As yet, the shortage of dentists in the Dominion shows little sign of immediate relief, although the marked increase in the number of students at the Otago University Dental School gives promise of a measure of relief eventually. In the meantime the Department has offered appointments to a limited number of dental surgeons in the United Kingdom, where applications were invited by advertisement towards the end of 1947. There is a small increase in the number of school dental nurses as compared with the previous year, but the total is still far short of the number required to deal effectively with the sharp increase in the school population, an increase which has not yet reached its peak. Arrangements are in hand for the training of still more dental nurses with a view to building up the staff to the level necessary to meet this position. It is unfortunate that the age-group from which student dental nurses are drawn is at present a very restricted one as a result of the low birth-rate fifteen to twenty years ago, and there are many occupations competing for recruits from this group. This is another factor that is embarrassing the Department in its effort to maintain a high standard of dental health in the pre-school and school population. Notwithstanding these difficulties, it is possible to record progress in various directions during the year under review, as will be seen from the following account of the activities of the Dental Division during this period. Adolescent Dental Service The dental service for adolescents was inaugurated on the Ist February, 1947. Pending the development of a salaried dental service, dental care for adolescents is being provided by private practitioners as a dental benefit under the Social Security Act, the practitioners being reimbursed on a fee-for-service basis. The intention is ultimately to provide dental care for adolescents until they reach nineteen years of age, but in the meantime the age is limited to the sixteenth birthday. There are two classes of dental benefits : (a) general, and (b) special. (a) Persons eligible for enrolment for general benefits are (i) those who, being under sixteen years of age, have been discharged from a school dental clinic on passing out of the highest class under treatment and who apply for enrolment for dental benefits within three months of being so discharged, and (ii) those who, being under sixteen years of age, submit a certificate of dental fitness signed by a registered dental practitioner. (Children who are eligible for enrolment at a school dental clinic and fail to so enrol are not eligible for general dental benefits at the hands of a private practitioner.) (b) Special dental benefits include types of treatment which are not specified in the Schedule to the Social Security (Dental Benefit) Regulations but which are usually given in a normal conservative dental practice. Those eligible for special dental benefits are (i) persons who are on the roll of a school dental clinic (these may be enrolled for treatment that is not available at such clinics), and (ii) persons who are enrolled with a private dental practitioner for general dental benefits. In all cases applications for special dental benefits must be approved by the Department.

48

H—3l

Excluding a number of persons who applied for enrolment but who for various reasons were not eligible, the numbers who were actually enrolled between the Ist February, 1947, when the service was inaugurated, and the 31st March, 1948, were — For general dental benefits .. .. .. .. 47,354 For special dental benefits .. .. .. .. 16,987 Total .. .. .. .. .. 64,341 Of these, the following ceased to be enrolled prior to the 31st March, 1948 : General benefits : Patients who attained age sixteen prior to 31st March, 1948 .. .. .. .. .. 4,123 Special benefits : Patients whose treatment was completed prior to 31st March, 1948 .. .. .. .. 8,084 Total .. .. .. .. .. 12,207 Thus, at the 31st March, 1948, the numbers actually on the roll were — For general dental benefits .. .. .. .. 43,231 For special dental benefits .. .. .. .. 8,903 Total .. .. .. .. .. 52,134 Amounts paid for dental benefits up to 31st March, 1948, were — £ s. d. For general dental benefits .. .. .. 85,413 4 11 For special dental benefits .. .. .. 19,746 64 Total .. .. .. .. £105,159 11 3 Number of patients in respect of whose treatment the above amount was paid was — For general dental benefits .. .. .. .. 22,717 For special dental benefits .. .. .. .. 7,831 Total .. .. .. .. .. 30,548 Average cost per person : £ s. d. For general dental benefits .. ... ..3152 For special dental benefits .. .. .. 2 10 5 General average .. .. .. ..£329 Of 675 private dental practitioners holding annual practising certificates as at the 31st March, 1948, 483 were participating in the dental-benefits system as contracting dentists. As the latter figure does not include dentists who were employed by contracting dentists, it does not represent the total number of dentists engaged in providing dental benefits.

49

H—3l

During the year under review, applications were invited from registered dentists for appointment in the salaried dental service. The result was disappointing, and it was decided to advertise in the United Kingdom. As a result, appointments are being offered to a number of United Kingdom applicants. Premises have been secured at various centres, and these are being adapted and equipped in readiness to be staffed by full-time salaried dental surgeons. School Dental Service Twenty additional treatment centres have been established during the year, making the total number 476, as against 456 at the end of the previous year. At the 31st March,. 1948, the staff numbered 709, including 202 student dental nurses in training. The output of school dental nurses from the Training School has been rather more than sufficient to make good current wastage, but not sufficient to augment the field staff to the extent that is necessary to deal effectively with the increased school population. The question of increasing the intake of student dental nurses is under consideration. The number of children under regular treatment is 233,981, an increase of 7,183 during the year. The number of schools receiving treatment is 2,331, as compared with 2,313 at the end of the previous year. The total number of operations for the year was 1,598,982. This included 931,925 reparative fillings in both permanent and deciduous teeth and 177,587 preventive fillings, a total of 1,109,512 fillings. In contrast with this figure, which represents approximately the number of teeth preserved for useful service, the number of teeth removed as. unsaveable (or in some cases to relieve overcrowding) was 66,750, a ratio of 6-02 extractions to every 100 fillings. Training of Dental Nurses. —The Wellington Dental Clinic and Dominion Training School for Dental Nurses continues to fulfil its dual function of training school dental nurses and providing dental care for the pupils of certain of the schools in "Wellington City. Associated with the main institution in Willis Street are the Dental Clinic Annexe in Tinakori Road and the two hostels for student dental nurses—namely, Hunter House, in Hobson Street, and the Glen Road Hostel, in Kelburn. The former hostel was enlarged during the year by the purchase of an adjoining property in order to provide for the increased number of student dental nurses now being trained. At the date of this report the teaching staff of the Dominion Training School is below strength, thus throwing an additional strain on the remaining members of the staff, who under existing conditions are called upon in any case to train two drafts per year. The total output of trained school dental nurses for the year under review was 94. Health Education That the school dental nurses are impressed with the preventive nature of their work is shown by the fact that, despite the shortage of staff and the arrears of treatment in many areas, the volume of health education work performed was greater than during the previous year. The total number of activities amounted to 8,530, as against 7,593 in the previous twelve months. New material has been made available for the field staff during the year. The health education staff has given post-graduate instruction, in the field as well as conducting regular classes in dental health education for student dental nurses at the Dominion Training School. They have also continued to be responsible for the publication of the School Dental Service Gazette.

50

H—3l

Dental Research It was noted in the last annual report that arrangements had been put in hand "for the resumption of research work under the Dental Research Committee of the Medical Research Council. Dr. R. E. T. Hewat, whose appointment as Field Research "Officer attached to the Division of Dental Hygiene was referred to in the last annual report, commenced duty in June, 1947. He has been engaged in a study of regional variations in the incidence of dental caries in New Zealand, and an interim report on his studies up to the 31st March, 1948, has been submitted to the Medical Research "Council. Dental Bursaries At the beginning of 1948, 20 new bursaries were awarded to dental students. Of "the bursaries granted in previous years, 66 were renewed, 4 were suspended temporarily, •and 5 were terminated. The total number of bursaries held as at the 31st March, 1948 (including those temporarily suspended), was 90. Eight holders of bursaries graduated in 1947, and, of these, 3 are now on the staff of the Dental Division, 1 is on the staff of a hospital, and 1 was granted permission to accept a Demonstratorship at the Otago University Dental School for one year. Three failed to undertake the service prescribed in the bursary agreement, and the penalties provided for in the agreement were imposed in each case. New Dental District Constituted The continued expansion of the School Dental Service, the rapid development of the private-practitioner service,, and the inauguration of the salaried service for adolescents have made it necessary to create a new dental district in order to facilitate the administration and control of these services. It has therefore been arranged to divide the existing Wellington Dental District into two. The northern portion, which comprises the Taranaki and the WellingtonHawke's Bay Health Districts, will continue to be administered from Palmerston North, while the southern portion will have its headquarters at Wellington and will include the Central Wellington and Nelson-Marlborough Health Districts. Mr. G-. H. Leslie, 8.D.5., formerly on the staff of the Department, and at present on the staff of the Otago University Dental School, has been appointed Principal Dental Officer of the new district, and the reorganization of the districts will take effect as soon as Mr. Leslie is able to take up his new appointment. Director's Tour Overseas During the year, the Director, Mr. J. LI. Saunders, was appointed to represent the Dominion at the Tenth International Dental Congress, which was held at Boston, Massachusetts, in August, 1947. Following the Congress, Mr. Saunders, at the request •of the Government, undertook a study tour which embraced the United States, Canada, the United Kingdom, Sweden, Denmark, and Germany, in all of which countries study was made of the most recent developments in dental science and practice, more especially in the fields of preventive and public health dentistry, but also in regard to dental education and research. These studies, together with appropriate recommendations, have been the subject of a special report.

51

H—3l

Futube Development : Preventive Approach to the Dental Problem With the inauguration early in 1947 of organized dental care for adolescents, the National Dental Service entered upon the second major phase of its development. The first phase—organized care of the pre-school and school population —is already well established. It is therefore timely to indicate the general lines on which the National Dental Service should be developed. At the present time, adolescents (up to age sixteen years only in the first instance) are being cared for by means of the interim (private practitioner) service, whereby private practitioners give six-monthly attention to duly enrolled persons on a fee-for-service basis under the provisions of the Social Security Act. Regular dental care at frequent intervals has long been recognized as an essential feature of any organized dental health plan, but, fundamental as this is, it does not go far enough in the light of modern knowledge. Recent advances in dental science have provided means for controlling dental disease and reducing its incidence, and the Department would be failing in its obligations if it did not make available to the public all available facilities for making a determined attack on this insidious and almost universal disease. The appointment, in small numbers' to commence with, of full-time salaried dentists to the staff of the Department provides the means for making a new approach to the dental problem by attacking it on a preventive basis. It is planned to create the organization necessary for this purpose and to train all full-time dental officers in the technical procedures that are involved. Certain of the techniques can be applied in the course of routine dental care, but others depend for their success on the co-operation of the patient. To be successful in reducing the high incidence of dental decay in New Zealand would be a major achievement. It is the aim of the Department to attempt this, and to apply to this end the knowledge and the methods that scientific research makes available. This is the keynote of the plan for the development of the Department's organized dental services. INDUSTRIAL HYGIENE DIVISION During the eleven months since Dr. Garland's appointment he has visited and inspected 220 workplaces, most of which come within the definition of a factory. Among the first 200 factories visited, 52 were engaged in engineering of some sort or another; 30 in the production of clothing, boots, or textiles; 18 in food-manufacture ; 11 in woodwork; 14 in battery-making, metal recovery, or lead-pipe manufacture ; 9in fertilizer or cement manufacture ; 9in printing; 6in paint-manufacture ; and 4in soap-manufacture. The remaining factories were engaged in making some twenty or thirty other types of manufactured goods. Of the 18,000 or so factories registered in the Dominion, nearly 16,000 employ 10 or less workers. In the 200 under discussion there were employed approximately 24,500 men and 4,050 women. Only 35 employed 10 or less workers, so that the sample visited is not truly representative of New Zealand industry ; it is representative of the group of factories employing more labour than is employed by the average establishment. Where there is a large number of workers, the cost per head of amenities is less than where there is a small number, and standards consequently tend to be higher. The factories were graded A, those with standards above the requirements of the Factories Act; B, those conforming to the Factories Act; C, those below Factories Act standards, but capable at reasonable expense of being made to conform; and D, those so bad that they could either in no circumstances be made to conform to Factories Act standards or could not be made to conform at reasonable expense. Twenty factories

52

H—3l

fell into category A, 62 into category B, 87 into category C, and 31 into category D—that is to say, even in the larger factories, which, on the whole, have better standards than the smaller factories, less than half can be said to conform to Factories Act standards, which are in themselves minimum standards. Much of the Factories Act is couched in general terms, but there are certain specific requirements, such as those which lay down that soap and towels must be provided as part of the suitable facilities for washing; a lunch-room must be provided where there are more than six workers ; a rest-room shall be provided in factories where more than six women are employed ; all female workers whose work is done standing shall be provided with suitable facilities for sitting ; adequate and suitable accommodation shall be provided for clothing not worn during working-hours, and arrangements made for drying such clothing. On specific sections such as these, the majority of factories fail to come up the Factories Act. If one were to interpret strictly such general sections asrequire that a factory be kept in a clean state, that every room shall be ventilated to carry off all steam, fumes, dust, and other impurities, and that effective provision shall be made for securing and maintaining suitable lighting and a reasonable temperature,, an even higher proportion of factories would fail to conform to the Factories Act. The following districts have been visited : Wellington, Auckland, New Plymouth, Palmerston North, Hastings, Mangakino, Christchurch, and Dunedin. In most of thesedistricts contacts were made with the local Medical Officer of Health, the factory inspectorate Department, the local employers' association, and the secretary of the Trades Council. Inspections in areas other than Wellington were carried out accompanied by representatives of one or other of these organizations. Industrial Health Nurses During the year, for the first time, an industrial nursing course was incorporated into the syllabus of the Post-graduate Nurses' Training-school. Three nurses took this course, and at the end of the year, when they had completed their training, two of these were appointed to the Health Department to work in the Wellington area. Up to the present the conception of an industrial nurse has been of a worker confining her activities within the sphere of a particular factory. There are some 36 such industrial nurses employed by private firms in the Dominion, and the establishments in which they work employ on an average 300 to 400 workers ; the largest,, a meat-works, employs over 1,000, and the smallest under 100. A nurse in these establishments undoubtedly does valuable work, but the tendency is for them to be appointed to those places where standards are already high, and it would seem preferable that the influence of such a highly trained person as a nurse should be spread over more than one factory and that she should operate, to start with, in those places which have low standards. There appears, in fact, a good case to be made for a nurse to work in an industrial area whose function will be rather like that of the health visitor who tries to raise the standards of health within the homes of a given area. The two nurses appointed in Wellington have had special training in blood examination of workers at risk from lead absorption and they will include among their duties the monthly blood examination of such workers, required under the Lead Processes Regulations. It is hoped in time that other groups of workers at special risk from health hazards, such, for example, as those in plating-shops, will be included under the regular supervision of the nurses, and that they will be available for any special work that may be required in looking after juveniles, pregnant women, or other physically handicapped workers.

53

H—3l

Lectures In addition to the lecturers given at the Post-graduate School for Nurses, some twenty-five other lectures were delivered during the year on industrial health matters to various bodies, including trades councils, W.E.A. classes, general practitioners, Factory Inspectors, Eoyal Sanitary Institute, &c. Education on industrial health matters for all groups in society is needed, and it would appear that much attention should be given to this side of the work in the Department. It should be recognized as a principle that nobody who asks for a lecture on an industrial health subject should be refused, and every encouragement should be given to Inspectors and others who may have any qualifications to talk on factory conditions to give such lectures. A valuable addition to the lecture is the film strip, and during the year one has been made, based on photographs taken in Wellington factories, illustrating day-to-day health and safety problems which are current issues in factory life in the Dominion.

Juveniles The 1946 Factories Act requires that any one entering industry under the age of sixteen should have a medical certificate declaring him to be fit for work. This clause came into operation for the first time in April, 1947, and during the nine months April to December the following were examined by the factory certifying surgeons :

Industrial Diseases It is difficult at this stage to say much about specific industrial diseases and their •occurrence in New Zealand. Working-conditions in many instances are such that it is inevitable that the health of workers will be affected, but the type of training of the factory inspectorate and the machinery for notification by general practitioners is not such as to enable accurate records to be established as yet. Undoubtedly, industrial dermatitis is, occurring on a fairly wide scale, and occasional cases of lead poisoning, fume fever, and chrome ulceration have been seen, but it is impossible to say how many are occurring in the Dominion. There are factors operating in this country which are likely to reduce the incidence of specific industrial syndromes. In the first place, industry is very slightly developed as yet and in this early developmental stage the division of labour is not as marked a phenomenon as it is in a highly industrialized country. This is a great safeguard to workers connected with dangerous processes, for it means that much of their time will usually be spent on work of a less dangerous character. The other factor that is undoubtedly operating as a safeguard for workers is the high labour turnover, which is specially marked in operations which are unpleasant or dangerous to health. If a man does not feel well at his job to-day, there is every encouragement for him to throw it up, for there is no scarcity of other work where he calculates he may feel better. Thus, talking recently to an employer who had a large spray-painting shop where conditions were far from healthy, he agreed it was unusual for any worker to stay on the job longer than three months. It may be safely assumed that if industrialization develops and labour becomes more stable, the incidence of ill heath directly attributable to the nature of the industrial process will become far commoner in New Zealand, unless factory standards are materially raised.

54

Number Examined. Number Passed as Fit. Number Refused. Percentage Refusals. 2,129 2,099 ! 30 1-4

H—3l

The main efforts of an industrial health. Department in the immediate future and for years to come must be directed to altering working-conditions so that the standards laid down in the Factories Act are attained. The task is an immense one. Two of the many difficulties to be overcome are the absence of trained personnel to work in this field and the large number of very small establishments. The appointment of four whole-time industrial Medical Officers to work in the four main centres has now been agreed, but no decision has yet been reached on the exact relationship between the medical men in the Health Department and the Factory Inspectors in the Labour Department. The backbone of the service must be the Factory Inspector, trained in health and safety inspection, who has time to make regular routine inspections. To-day not only is the Inspector without training in this field, but he has no time for it. The pressure on the Labour Department, as far as work in factories is concerned, is to deal with complaints arising out of awards, to look after apprentices and settlers, to enrol those out of work and to fill vacancies, to survey the over-all labour situation in the country, and to settle industrial disputes. Rarely does any one come along and demand that a routine factory inspection be made, and consequently, with so much to do, this is the field that can most easily be allowed to lie fallow. Unless there are trained men allotted specifically to this task, it is difficult to see how any real start can be made. Routine inspection of the small factory is very time-consuming and inevitably doomed to achieve very little. Remarkable initiative and a great deal of painstaking effort is much in evidence among many of these small producers. Their production cannot be regarded as rationally organized in this age of advanced technical equipment; nevertheless, they are contributing a substantial quantity and a considerable variety of goods to the national economy. Socially speaking, however, the small factory has one very serious drawback—namely, that working-conditions in so far as amenities are concerned are virtually certain to be of a low standard. It is financially impossible for a man setting up as a manufacturer in a small way and only employing a few workers to spend the necessary capital that is required to conform with the provisions of the Factories Act in regard to lunch-room, cloak-room, and washing and sanitary accommodation. He has great difficulty also in putting aside cash and labour hours for maintenance and cleaning. Vigorous enforcement of the Factories Act in the case of employers of under 10 persons would bring a proportion up to the required standard, but if pushed to the point of legal action would drive many out of business. While a practical compromise policy can be adopted for the present-day situation, it appears desirable to give consideration to a radical solution of the problem of amenities in the small establishments. Fundamentally the law requires, and every one would desire, high standards for all workers, regardless of whether they work in a large or in a small establishment. Such a solution is offered by the " flatted " factory. A flatted factory is a large building capable of housing 50 or 100 manufacturers employing in the aggregate 500 to 1,000 workers. If such a building is constructed of five or six stories, as is a modern block of flats, an enormous saving of space is attained, and there are great advantages from the town-planning point of view. So many of the smaller places are virtually factory slums, and more are developing every day. From the architectural point of view a flatted factory offers an opportunity for dignified design that will be a lasting credit to our cities.

55

H—3l

In such a building, with proper organization, overhead charges for amenities are no longer crippling. It should be possible to include communal services such as canteen, laundries, central rest-room and first-aid room, garages and cycle-sheds, and washing and sanitary accommodation at a reasonable per capita charge. An extension of communal facilities is possible in the direction of a repair-shop and certain machinery that is not in constant use by any one firm. Cleaning and maintenance staff and nightwatchmen can also be shared, while it can be assumed that a high standard of lighting, heating, and ventilation will be ensured throughout the building. As many of the existing small factories are dependent to a large extent on female labour, much of it, too, part-time labour of married women, a flatted factory affords an opportunity of attracting more of this labour by providing creches and nursery schools, either on the premises or in close proximity. If only one such flatted factory could be put up in the next five years in each of the main industrial centres and administered under the Labour Department, a very real contribution to clearing the factory slums could be made. GENERAL Milk-in-schools Scheme During the year the operation of this scheme has been materially affected bv the poliomyelitis epidemic and the resultant closing of schools. Otherwise every effort has been made to continue supplies on the same basis as last year. Apples-in-schools Scheme During last year 33,844 cases of apples, comprised of 31,344 to primary and secondary schools and 2,500 to correspondence schools, were supplied to pupils attending these schools. Boards Associated with the Department The Board of Health, the Medical and Dental Councils, the Medical Research Council, the Nurses and Midwives Board, the Opticians Board, the Masseurs Registration Board, the Medical Advertisements Board, the Plumbers Board, the King George Y Memorial Fund Board, and the Dominion Advisory Board of the New Zealand Federation of Health Camps continued their activities during the year. I regret to record the resignation of Sir Donald McGavin from the Medical Council, the Board of Health, and the Medical Research Council. As the representative of the New Zealand Branch of the British Medical Association, Sir Donald had been a member of the Medical Council since 1928 and was also Chairman during the five years preceding his resignation. His services have been of great value to the bodies concerned. South Pacific Health Service The agreement for the establishment of a South Pacific Health Service between the Government of New Zealand (in respect of New Zealand island territories, including Western Samoa), the Government of Fiji, and the Eastern Pacific High Commission will expire in September, 1948, when an opportunity will be taken to review the position. The activities of this Service have been greatly handicapped by the extreme difficulty encountered in finding medical staff for island positions.

56

H—3l

Visitors from Overseas and New Zealand Representation Abroad During the past year distinguished visitors to New Zealand from the health point of view included Dr. John B. Grant, representing the International Health Division of the Rockefeller Foundation, who investigated medical services on behalf of the Foundation ; Professor R. W. Gerard, Professor of Physiology at Chicago University, who lectured at the Medical School; Dr. Earl R. Carlson ; and Dr. C. B. Heald. Dr. Carlson, a world authority on cerebral palsy, visited New Zealand under the auspices of the New Zealand Crippled Children Society, and has submitted a report to the Government after completing a survey of this problem in New Zealand and giving lectures and inspecting treatment facilities here. Dr. Heald, Consultant to the British Legion Unit of Rheumatology, a member of the Empire Rheumatism Council, and one of the leading figures in England in the campaign against rheumatic diseases, conducted a series of lectures throughout New Zealand on the subject in question. He later made available a report to the Government on facilities for treatment of rheumatism in New Zealand. During the past year New Zealand was represented at the following overseas gatherings connected with health matters : (1) The Centennial Celebrations of the American Medical Association at Atlantic City, New Jersey, on 9th to 13th June, 1947, by Dr. Rowan Nicks, 0.8. E. Dr. Nicks submitted a report on these Celebrations, which were attended by approximately 16,000 medical men, including American, South American, and European representatives. (2) The Fifth International Congress on Pediatrics in New York on 14th to 17th July, 1947, by Dr. Helen Deem, on the nomination of the New Zealand Pediatric Society. After her attendance at the Congress, Dr. Helen Deem undertook a tour of study in the United States of America, Canada, Great Britain, and Denmark on infant welfare, mothercraft, and allied subjects. (3) The Fourth International Microbiological Congress, Copenhagen, on 20th to 26th July, 1947, by Dr. Denis Stewart (representing the Departments of Health and Agriculture). Dr. Stewart and Dr. Nicks were already abroad at the time of attending the gatherings mentioned. As a result of the Congress in Copenhagen which was held under the auspices of the International Association of Microbiologists, an International Committee for Enteric Phage Typing was formed. The Central Enteric Reference Laboratory of the Public Health Laboratory Service of England and Wales (London) will, it is proposed, act as the International Central Reference Laboratory for enteric phage typing. Dr. Stewart while in London unofficially attended the British Commonwealth Specialist Conference on Culture Collections of Micro-organisms. This Conference took place following decisions of the British Commonwealth Scientific Official' Conference, 1946. The specialists recommended the establishment of a Permanent Central Committee in London and National Committees, representative of educational and research institutions, in each of the Dominions. One of the main functions of a National Committee will be the compilation of a catalogue of the type organisms maintained within its territory. Drs. J. 0. Mercer and L. Kirschner have been appointed as representatives of the Medical Research Council and the Otago Medical School respectively on the National Committee to be established in New Zealand.

57

H—3l

Medical Research Council Microbiology Research.—Annual report received from Dr. N. L. Edson. Publications : (a) " The Onset of Pneumonic Influenza in 1918 in Relation to the Wartime Use of Mustard Gas" (G. M. Richardson). New Zealand Medical Journal, 47, 1948, 4-16. (b) " The Effect of Physical Agents on Hydatid Scolex Viability " (L. B. Pastier). Submitted for publication overseas. (c) " An attempt to Produce Bacterial Agglutinins in Vitro " (L. B. Fastier). Submitted for publication overseas. (d) " Possible Fallacies in the Present Method of Sputum Examination in the Diagnosis of Pulmonary Tuberculosis " (L. Kirschner). New Zealand Medical Journal, 46, 1947, 398-403. (e) ut The Diagnosis of Fungus Infection : An Investigation of 100 Cases " (M. J. Marples). New Zealand Medical Journal, 46, 1947, 422-427. Also illustrated pamphlet, " Beware of Hydatids," by the late Sir Louis Barnett. (Published by Department of Health.) Dental Research.—Reports submitted by Dr. J. P. Walsh and Dr. R. E. T. Hewat, Publications : (a) " Recent Advances in the Attack on Dental Caries " (J. P. Walsh). New Zealand Dental Journal, 43, 133-149. (b) " The Relative Susceptibility of Tooth Surfaces to Dental Caries and Other Comparative Studies " (J. P. Walsh and R. S. Smart.) New Zealand Dental Journal, 44, 17-35. (c) Paper in press : Interim report, " Field Studies on Dental Caries in New Zealand " (R. E. T. Hewat). Nutrition Research. —Annual reports received from Dr. J. Malcolm and Dr. Muriel E. Bell. Publication : " Protein in the Therapy of Medical and Surgery Cases " (Muriel E. Bell.) New Zealand Medical Journal, Aug., 1947, 254, 255-263. Thyroid Research. —Annual report made available by Sir Charles Hercus. Publications (a) " Studies on Experimental Goitre—Vlll: Thyroid Tumours in Rats Treated with Thiourea " (H. D. Purves and W. E. Griesbach). British Journal of Experimental Pathology, 1947, XXVIII, 46. (b) " Relative Activities of 1- and tZI-Thyroxine " (W. E. Griesbach, T. H. Kennedy, and H. D. Purves). Nature, 9th August, 1947. Clinical Medicine Research.—Annual report received from Professor F. H. Smirk. Publications : (1) " Thiocynate and Basal Blood Pressure " (K. S. Alstad). British Medical Journal, 1, 250 (1948).

58

H—3l

(2) " Surgery of Lumbar Intervertebral Disk Protrusion : A Study of Principles and Results Based upon One Hundred Consecutive Cases Submitted to Operation " (M. A. Falconer, M. McGeorge, and A. C. Begg). British Journal of Surgery, 35, 225 (1948). (3) " Observations on Cause and Mechanism of Symptom Production in Sciatica and Low Back Pain " (A. C. Begg, M. A. Falconer, and M. McGeorge). Journal of Neurology, Neurosurgery, and Psychiatry > Feb., 1948. (4) " Isomorphic Form of Urea Picrate " (P. A. Ongley) Nature, London, 159? 812 (1947). (5) " Bacterisemia, a Factor of Prognosis in Pneumonia " (K. S. Alstad). Edinburgh Medical Journal, LIV, 427 (1947). (6) " Factors Influencing Prognosis in Pneumococcal Pneumonia" (K. S. Alstad). New Zealand Medical Journal, XLVI, 273 (1947)» (7) " Subacute Bacterial Endocarditis " (K. S. Alstead). New Zealand Dental Journal, 44, 36 (1948). Tuberculosis Research:— (a) Annual report received from Dr. T. W. J. Johnson. (b) Annual report received from Travis Trust Laboratory for Tuberculosis Research. Publications : * (1) " Extra-pulmonary Tuberculosis : Frequency of Infection with the Bovine Type of Tubercle Bacillus " (M. K. Finlayson and N. L. Edson). New Zealand Medical Journal, 46, 1947, 184. (2) " The Use of Yolk-enriched Egg Medium for the Cultivation of Tubercle Bacilli" (M. K. Finlayson and N. L. Edson). New Zealand Medical Journal, 46, 1947, 190. (3) " The Oxidation of Lactic Acid by Mycobacterium phlei " (N. L. Edson). Biochemistry Journal, 41, 1947, 145. (4) " The Respiration of Mycobacterium phlei" (N. L. Edson and G. J. E. Hunter). Biochemistry Journal, 41, 149, 139. Neuropathology and Neurophysiology Research. —Annual report received from Professor J. C. Eccles. Publications : (1) "A Study of the Effects of Anaesthesia and Asphyxia on the Mono-synaptic Pathway through the Spinal Cord " (C. McC. Brooks and J. C. Eccles). Journal Neurophysiology, 1947, 5, 349-360. (2) " Conduction and Synaptic Transmission in the Nervous System " (J. C. Eccles). Annual Review Physiology, 1948, 10, 93-116. (3) " Responses of Inhibited Motoneurones " (C. McC. Brooks, J. C. Eccles, and J. L. Malcolm). Federation Proceedings, 7, 15, 1948. (4) " An Analysis of Synaptic Excitatory Action " (C. McC. Brooks and J. C. Eccles). Journal Neurophysiology, 11, July, 1948. (5) "An Attempted Correlation between Inhibitory Action on a Motor Nucleus and the Focal Potentials Generated Therein " (C. McC. Brooks and J. C. Eccles). Journal Neurophysiology, 11, July, 1948.

59

H—3l

(6) " The Synaptic Potentials of Inhibited Motoneurones " (C. McC. Brooks, J. C. Eccles, and J. L. Malcolm). Journal Neurophysiology, 11, July, 1948. (7) Inhibition of Antidromic Responses of Motoneurones " (C. McC. Brooks and J. C. Eccles). Journal Neurophysiology, 11, July, 1948. Obstetric Research.—Annual report received from Sir Bernard Dawson. Cancer Research.—Annual reports made available on behalf of New Zealand Branch, British Empire Cancer Campaign Society, by Mr. G. E. Roth, Physicist in Charge, Dominion X-ray and Radium Laboratory, Christchurch, and Mr. W. H. Hall, Cancer Research Laboratory, Medical School, Dunedin. Staff Among the senior appointments to the staff during the past year have been the following Dr. H. B. Turbott, Deputy Director-General of Health ; Mr. J. E. Engel, Deputy Director-General of Health (Administrative); Mr. A. V. Keisenberg, Chief Executive Officer, Hospitals Division; and Dr. G. A. Q. Lennane, Medical Superintendent, Government Hospital, Rotorua. Another development of note that took place during the year was the amalgamation of the Mental Hospitals Department and the Department of Health. I would like to conclude by expressing my thanks for the co-operation of all bodies and organizations with which the Department is associated and also my thanks to members of the staff of the Department for their work and continued support during the past year. T. R. Ritchie, Director-General.

60

H—3l

A CONTRIBUTION TO THE EPIDEMIOLOGY OF POLIOMYELITIS IN NEW ZEALAND <By A. W. S. Thompson, 0.8. E., M.8., M.R.C.P., D.P.H., Medical Officer of Health, Auckland) FOREWORD The investigation described in this paper was undertaken in Auckland during the summer of 1947-48. The field-work was carried out by the writer in conjunction with Dr. G. A. de Lautour, Medical Officer of Health, and Miss D. F. Gatenby, Nurse Inspector; .assistance was also given by Drs. Houghton, Miller, and Parr, of the staff of the Auckland Health District. My best thanks are due to all for their ready co-operation and hard work, and for their carefully kept records, which greatly facilitated the task of analysis. In consideration for the reader, most of the tables have been relegated to the Appendix, and full use has been made of graphic methods of presentation of data. A. W. S. Thompson. Auckland, 27th May, 1948. Note. —Unless otherwise stated, all cases of illness are referred to in this paper by date of onset, mot of notification. • CONTENTS PAGE Foreword .. .. .. .. .. .. .. .. .. 61 I. Poliomyelitis Epidemic, 1947-48 .. .. .. .. .. .. 62 11. Network Linking Four Positive Cases .. .. .. .. .. .. 64 111. Plan for an Investigation .. .. .. .. .. .. 66 IV. Reliability of Findings .. .. .. .. .. .. 89 V. The Background of the Epidemic : The Early Stages .. .. .. .. 70 VI. Illnesses in Affected Households .. .. .. .. .. .. 72 VII. The Background : Peak and Decline .. .. .. .. .. .. 79 (а) Incidence in Age and Sex Groups .. .. .. .. 79 (б) Ratio of " Suspect " Illnesses to Positive Cases .. .. .. 80 (c) Leading Symptoms, Positive and Suspect Cases .. .. .. .. 82 VIII. Discussion, and a Suggested Line of Inquiry .. .. .. .. .. 84 IX. Conclusions .. ..... .. .. .. .. .. .. 87 X. Summary .. .. .. .. .. .. .. .. 89 Appendix (Tables Ito VII) .. .. .. .. .. .. 90-92 Figures I. Spot Maps : 5, 10, 20, 50 Cases .. .. .. .. .. 62-63 11. Network Linking Four Positive Cases .. .. .. .. .. .. 65 111. Map Showing Test Areas .. .. .. .. .. .. .. 68 IV. Illnesses Amongst Families Visited in December .. .. .. .. 71 V. Relationship Between Positive Cases and Suspect Illnesses .. .. 73 VI. Development of Suspect Illnesses in Affected Households .. .. .. 75 VII. Inverse Relationship Between Suspect and Positive Cases .. .. .. 76 VIII. Percentage of Age/Sex Groups Not Affected .. .. .. .. .. 77 IX. Intervals Between Successive Illnesses in Same Household .. .. .. 78 X (I). Males—Positive and Suspect Cases Month by Month .. .. .. .. 81 X (II). Females —Positive and Suspect Cases Month by Month .. .. .. .. 81 XI. Percentages in Each Age Group (General Population) Affected .. .. .. 82 XII. Population in Each Age Group, Showing Proportion Affected .. .. .. 83 Tables Tables I to VII will be found in Appendix. VIII. Incidence of Positive Cases in Urban and Rural Districts .. .. .. 80 IX. Ratio of Suspect Illnesses to Positive Cases .. .. .. .. .. 80 X. Leading Symptoms in Positive and Suspect Illnesses .. .. .. 84 XI. Comparison Between Incidence of Threadworms (Peckham) and " Suspect" Illnesses (Auckland) .. .. .. .. .. .. .. .. 85

61

H—3l

I. POLIOMYELITIS EPIDEMIC, 1947-48 On a Saturday morning in October, 1947, an Auckland school-girl, running from her home to a waiting car to commence a trip to the country, was noticed to stagger to one side as if giddy. She denied feeling ill, but when her temperature was taken it was 104° f. This girl was the first victim of the epidemic of poliomyelitis with which this paper is concerned. The correct diagnosis in her case was not established until several weekshad passed. The earliest cases to be notified were reported towards the end of the third week in November. By the end of the year 87 cases, and by the end of March 142 cases, had occurred in the Central Auckland district. The earliest cases were scattered widely. The first, as mentioned above, lived in Auckland City (onset, 25th October). The next was at Papakura, nineteen miles to the south (10th November). As early as 19th November, when the outbreak in the city was just getting under way, a farmer in a remote valley near Hunua, some thirty milesto the south-east, experienced the commencing symptoms of an attack. In Auckland itself there was nothing to indicate spread from any particular focus. This is well shown on the spot maps (see Fig. I, pages 62, 63), on which the first 5, 10, 20, and 50 cases have been plotted. The first 10 cases affected seven different residential areas, and the first seven children attended four different schools. Even when twopatients were drawn from the same school, they were usually found to have been in different standards and had had no traceable contact with each other. Efforts to clarify the situation by detailed studies of the movements of cases and those with whom they had been in contact were not very helpful. Quite often one was rewarded by tracing a relationship, sometimes between widely separated cases ; but

Fig. I.—Spot Maps to Show Development of Epidemic in Auckland: (1) 10 Cases, 20th November; (2) 20 Cases, 1st December; (3) 50 Cases, 17th December.

N.B.—Dates refer to onset.

62

H—3l

63

H—3l

it was disconcerting to return to the office after discovering an ingenious link between t cases," only to find that in the meantime one of them had been declared negative ; and this happened more than once. It was soon obvious that in the neighbourhood of every positive case one could discover numerous instances of minor illness of a suspicious nature, and several quite definite abortive cases came to light at an early stage. This was merely what previous knowledge of the disease had led one to expect. It was not difficult in some instances to link one case with another through a network of suspicious illnesses in contacts, and it seemed not impossible that diligent inquiry might have extended the network to include most of the cases in the city. Even if this could be done, however, it would still be open to question whether the whole structure could not be accounted for by chance. There was a good deal of minor sickness about of a nature possibly related to poliomyelitis, but it varied enormously in severity, and occasionally an important link in the chain appeared to consist of somebody who had not been ill at all. It was easy to construct schemata, but difficult to def end them in detail An example may be of interest. 11. NETWORK LINKING FOUR POSITIVE CASES One of the earliest notified cases could be connected rather neatly with another in the same area, and two more living five miles away on the other side of the city. Sixteen suspicious illnesses, including at least one definite abortive case, were also involved. Figure II (page 65) shows the relationship between these cases, the horizontal lines connecting members of the same family, and the broken lines indicating possible transference by contact. Fictitious names have been employed. Except for Mary, sister of case A, only persons who had a suspicious illness are shown, the dates giving the times of onset. Case A was a boy whose parents first realized he was ill on 13th November, but for a week before that his elder sister, Mary, had given him a pick-a-back home from school because of pain and weakness in his right leg. This girl had no history of any recent illness. The boy's classmate, Bill, was ill during the week before he took to bed, and a playmate of Mary's, Marjorie, had a suspicious illness shortly afterwards. Next door to case A lived a child aged two called Jerry Brown. There was said to be little contact between the two families, but both houses were notably fly-infested owing to the activities of a senile neighbour who was fond of throwing night-soil on her garden. Jerry stayed with the family of case B from 25th August to 10th September, and on returning home had an illness lasting for a week with vomiting, diarrhoea, and lassitude. Betty, six-year-old sister of case B, had " influenza " about August, but remained well thereafter. She was a classmate and friend of case C and often visited his home. The aunt of this case, who lived with him, was in bed for about a week in the middle of November with vomiting, diarrhoea, and a high temperature. There was a double link between the families of cases A and D. Roy, who was in the same class as Mary, sister of case A, generally walked home from school with her, and was ill at about the same time as case A, with a sore throat, high temperature, and marked drowsiness. Within the succeeding ten days, five other members of the family went down with similar symptoms ; only one girl, aged 14, escaped at this time, but early in December, after a very heavy day's gardening, she was admitted to the hospital as a positive case with severe paralysis (case D). The other link was the fact that, for six days from 12th November, just before case A took ill, the father of case A was working on repairs in the house of case D.

64

H—3l

Study of Fig. II will show how difficult it is to be certain of the reality of the supposed relationship between these cases. The earliest illness noted was in Betty, sister of case B. If this had made her a carrier, she might possibly have infected Jerry Brown and case C as well as her sister (case B), and Jerry Brown might have conveyed the infection to the family of case A, who in turn might have passed it on to the family of case D ; but it is difficult to account for the discrepancies in time. Jerry Brown had left the case B home before he took ill on 14th September ; yet it was over two months before case B fell ill, and a similar interval separated Jerry's illness and the onset of case A. The more closely one studies it the more flimsy the whole structure appears.

Fig. II.—Possible Linkage Between Four Positive Cases and Sixteen other Suspicious Illnesses.

(Ages in brackets. Dates give time of onset. Unaffected members of households not shown.) 3—H 31

65

H—3l

Similar difficulties arose when other tentative networks linking positive cases were examined with a critical eye. There seemed to be no order or reason about the way in which these illnesses sprang up amongst a group of susceptibles. Two cases occurred, for example, in families living next door to each other. The victims were children with a marked difference in age who seldom came in contact, but were linked through the agency of playmates of their own ages, a sister of one and a brother of the other. . Yet these two cases fell ill on the same day, and the illnesses of the " links " occurred afterwards —one two days later, the other eight. In other instances a family of children of susceptible age in close daily contact would develop their illnesses not simultaneously, but successively, often with a considerable interval between them. It was all so haphazard that one was almost tempted to reject altogether the idea that these minor illnesses had any important connection with the epidemic. At this stage in our inquiries we were the more inclined to scepticism about it, because of an almost involuntary tendency to regard droplet infection as the prevalent mode of spread. We were, of course, aware of the stress which has been laid in recent years on other means of transfer, especially intestinal, but we found it difficult to believe that an outbreak so widespread and increasing so rapidly could be other than a droplet infection. But surely no droplet infection ever behaved like this ! It was obvious that an investigation of the kind just described could only be of very limited value. It tends to overlook those who, despite close contact, escape unscathed; yet such people are far more interesting than those who fall ill. Why, how, and for how long do they continue to escape ? A study of illness amongst contacts is handicapped, also, when one does not know what particular types of contact are of most importance. One naturally thinks of a school-child's classmate, the boy or girl who shares a desk with him, as a close contact; as indeed he is, if it is droplet infection that matters. But other less obvious contacts, much less easily traced, may be more interesting. For example, the child " Mary " (Fig. II) and her friend " Marjorie " were in different classes, did not know each other's surnames, and never met outside school; neither could have named the other as a contact; but they met each day at lunch-time, and their routine was interesting. First they would play together for a while with a hand-ball, tossing it from one to the other. Then they sat side by side on a bank and ate their sandwiches. Before meeting they had, of eourse, visited the lavatory, and neither ever bothered to wash her hands ; and in this school, as in many others, the children had an amiable habit of exchanging their more interesting sandwiches with their friends. There may not have been much interchange of droplets between these two, but the mechanism for- the transfer of faecal organisms was complete. 111. PLAN FOR AN INVESTIGATION What we really wanted to know was what was going on in the population "at large while, these positive cases were bobbing up so haphazardly ; and particularly what had happened in the month or two before recognizable cases began to appear, and especially in the affected households. How did it all begin ? What happened afterwards ? What about the family contacts who had no history of illness ? Did they eventually fall sick with a minor attack; and, if so, why did not all the susceptibles in close contact get it at about the same time ? It was with these and similar questions in mind that the investigation about to be described was undertaken.

66

H—3l

It was noted at an early stage that few suspect cases and no positives had been reported from the North Shore. This seemed strange, because, although this portion of Auckland is separated from the remainder by the Waitemata Harbour, a considerable proportion of its population of 30,000-odd are employed on the city side; continual daily contact is maintained through the ferry service, and the North Shore beaches attract innumerable car-loads of children from south of the harbour every week-end. It was decided to regard the North Shore, so long as its freedom from cases continued, as a control area for the study of conditions on the city side. Even if the epidemic eventually spread there, it was hoped that its late commencement would enable us to find out what sort of conditions immediately precede an outbreak. As it turned out, the date of onset of the first case on the North Shore was 24th December, nearly two months after the earliest recognized case fell ill. By this time over 50 cases had already occurred on the city side. By the end of March the North Shore had furnished only 4 cases, as against 91 in the rest of the metropolitan area (ratio 1 : 23), the population ratios being about 1:8. The method adopted was simple. The investigation was divided into two parts (1) The homes of cases occurring in the metropolitan area were visited as soon as possible after notification, and careful inquiry was made into (a) the recent health of the patient, and the symptoms of onset of the attack ; (b) the health of all other members of the household. Leading questions were avoided, an attempt being made to interest the family in the problem and, by unhurried and sympathetic questioning, to obtain a complete history. Full allowance was made for the difficulty of recalling the details of family illnesses ; few people find it easy to remember much about the health of their families more than a week or so previously, and the present writer found that he himself was quite unable to describe the health of his own household during the preceding month. The symptoms and duration of all illnesses possibly related to poliomyelitis were recorded and the date of onset was fixed as closely as possible in every case. Special note was made of any of the following : Fever. Pain or stiffness of the neck. Vomiting. Abdominal pain. Diarrhoea. Drowsiness. Headache. Delirium. Sore throat. (2) The first 16 confirmed cases in the metropolitan area were selected as nuclei for the study of the background to the epidemic. House-to-house visits were carried out in the area surrounding each of these cases, the houses visited being grouped, as far as possible, symmetrically about the house in which the case had occurred. A note was made of any address where admittance had not been obtained, and about twenty houses were entered in each area. As soon as possible after completing an area, the same investigator crossed to the North Shore, selected a district which appeared to be of similar social and economic type, and visited twenty homes. These served as controls.

67

H—3l

Fig. III. —Distribution of Test Areas: Control Areas (Not Marked) were all North of the Waitemata Harbour-"North Shore."

The distribution of the test areas is shown in the sketch map (Fig. III). It was agreed between members of the team* that in all eases they would try to gain admittance to the house, and sit down quietly in the living-room with the housewife, before commencing detailed inquiries ; information gained on the doorstep could not be of equal value. They were instructed to use some such formula as : "I am Dr. of the Health Department. We are making some inquiries in connection with the infantile paralysis outbreak. We are trying to find out how much illness there is in Auckland at present. I mean illness of any kind, including quite minor illnesses. Do you mind giving me some particulars ? " Instructions to the investigator continued as follows : " Information must be extracted by direct and persistent questioning. If necessary, give reassurance that it is not intended to apply any restrictions as a result of this investigation. Do not accept a reply that a person has not been ill lately without further probing.

* The bulk of this part of the investigation was carried out by Dr. G. A. de Lautour and Miss D. F. Gatenby.

68

H—3l

" Nature of Illness. —Ask about each member of the household in turn, inquiring about' flu,' feverish attacks, stomach upsets, headaches, sore throat, pains in limbs, &c. Has he been in bed ill, even for one day, in the last month or so ? Note details of any illness even remotely related (but not other illnesses). Note if a doctor was called, and his diagnosis. Make note of date of onset in all cases." IV. RELIABILITY OF FINDINGS Study of the household contacts of positive cases was based on 40 cases in the metropolitan area. The dates of onset ranged from 25th October to 29th December. Consecutive cases were taken, except that those which were rapidly fatal were not included. All homes were visited on three occasions, the first visit following immediately upon notification, the second and third being made after intervals of from six to eight weeks. There were fifteen test areas to the south of the Waitemata and fifteen control areas on the North Shore ; in one instance an area was based on 2 cases in the same street which occurred on the same day. In 15 of these cases the dates of onset fell between 12th November and Ist December, while one commenced on 18th December. Visits to the test areas were completed between the Ist and 23rd December, the control areas being completed between the 3rd and 23rd. Intervals between visits to test and control areas averaged less than three days and were never longer than five. A second visit was paid about the end of January to all homes in which there were children, and a third at the end of March. These families were therefore under fairly continuous observation throughout the period of the epidemic. With regard to the well-known fallacy in such investigations, that houses where there happened to be nobody at home were not included, it is not thought that this factor was of much importance in the present instance. Throughout the period in question all schools were closed and the public had been warned to keep children segregated at home and not to allow them to go about the streets or enter shops. These instructions were, on the whole, very carefully observed, and most parents seldom allowed their children to leave their homes or gardens. Houses which included persons under the age of 16 were therefore hardly ever found to be empty. Most of the inhabitants of missed houses must have been adults, and therefore, so far as households consisting of adults only are concerned, our results cannot be accepted without reserve. In all cases the occupation of the head of the household was noted, and the house was placed in one of four social and economic classes (see Appendix, Table I). Comparable control areas were not found without difficulty, and in two instances surveys of test areas had to be excluded because similar districts could not be found on the North Shore. In the final result, however, the two groups selected were practically identical in social and economic status. In the Appendix, Tables I and 11, details will be found of the types of houses visited and of the composition of the families living in them, in both test and control areas. It will be seen that about 300 families (1,100 persons) were included on each side of the Waitemata, families being subdivided into those without children, those in which there were only pre-school children, and those including school-children. There were minor differences in the density and composition of these families, but not sufficient to invalidate comparison. The investigators were well received, but it was noticeable that where there were only adults in the household information was not so readily obtained as elsewhere. Mothers of young families were, without exception, most willing to co-operate. There was no reason to suppose that persons living on the North Shore were any less " polioconscious " than those on the city side.

69

H—3l

A possible source of inaccuracy was the fact that in most cases information was obtained from the housewife, who might be expected to have a better recollection of her own illnesses than of those of the remainder of the household. It is possible, therefore, that the incidence of illnesses amongst adult females might be somewhat exaggerated under this method of inquiry. Y. THE BACKGKOUND OF THE EPIDEMIC : THE EAELY STAGES As has already been explained, during their first visits to test and control areas the investigators collected information about the health of persons in all types of families, including those consisting only of adults. The epidemic itself did not get properly under way until the third week in November, and it was decided, therefore, to separate illnesses in which the onset occurred before Ist November from those commencing later. To simplify an assessment of the results of this part of the inquiry, the populations concerned were reduced to equal numbers. This was done by ignoring the excess persons in each age group, care being taken to ensure that the resulting populations would have the same composition in respect of each type of family.* The following comparisons are therefore concerned with equal test and control populations, composed as follows: —

Considering, then, these equal populations of similar composition, we found that 164 persons in the test areas had a recent history of suspicious illness and 114 in the control areas —i.e., 15 per cent, of the test population and 10-4 per cent, of the controls. These illnesses varied enormously in severity, and their analysis presented a difficult problem. To classify them as either " possibly "or " probably " related to poliomyelitis (the first method which was tried) would be too open to personal bias. It was finally decided that the only way to achieve an objective analysis was to classify them according to the number of suggestive symptoms actually recorded by the investigator. For this purpose — (a) The following were designated "cardinal" symptoms: Fever, vomiting, diarrhoea, headache, sore throat. (b) The following were regarded as suggestive : Pain or stiffness in the neck, abdominal pain, drowiness, delirium. All illnesses recorded were then classified according to the number of " cardinal " symptoms mentioned, but if two or more of the features listed under (b) were also present, the illness was placed in the next category above. All illnesses were further subdivided into those of less than four days' duration and those lasting for four days or more. The results are shown in Fig. IV (next page). Figures will be found in the Appendix, Table 111.

* It was necessary, for example, to reduce the number of adults in the test areas from 732 to 717 in order to make them equal to the total in the control areas. This was done by ignoring the last 2 adults in families without children, the last 10 in families including only pre-school children, and the last 3in families with school-children. This made the number of adults in each type of family the same in both populations.

70

• Total. Type of Family. Adults Only. Only Pre-school Children. With Schoolchildren. Adults School children Pre-school children Persons 717 246 128 295 79 47 343 246 81 1,091 295 126 670

H—3l

In Fig. IV, persons ill in the test areas are indicated by the black bars, those in the control areas being uncoloured. The situation before Ist November is shown in the upper half of the diagram, that after Ist November in the lower half. The following inferences may be drawn: —

Fig. IV.—Illnesses Amongst Equal Populations (1,091 Each) Visited in December, 1947

(а) Before Ist November suggestive illnesses of long duration were practically identical in the two areas studied, both in frequency and severity. (б) Suggestive illnesses of short duration were nearly twice as common in the test areas as in the control areas (I*B :1).

71

H—3l

(c) After Ist November there was a considerable increase in illnesses of both types in both test and control areas. (Increase was 2-1:1 in test areas and 2-8 :1 in the controls.) (d) The most notable feature after Ist November was that suggestive illnesses of long duration were now much commoner in test than in control areas (1-7 : 1) and the preponderance was greatest in illnesses showing three or more " cardinal " symptoms (3 : 1). A further analysis was made to discover what age groups and what types of family were most affected. Figures are given in the Appendix, Table IV. It was found that in the period before Ist November the excess of illnesses of short duration noted above was due to the number of illnesses in adults, especially adults in families without children. After Ist November, families including children were much more severely affected in test than in control areas, particularly where there were school-children, and there the increase was especially marked in respect of illnesses*of long duration (3-2 :1). After Ist November, illnesses in wholly adult families increased in the control areas, while tending to subside in the test areas. This part of the investigation suggested, therefore, that the epidemic had been preceded by an increase of illnesses of short duration amongst adults, particularly adults in families without children. As the epidemic developed, illnesses in childless households tended to become less frequent in districts where polio cases were actually occurring ; but in areas more remote, childless households now began to show an increase. Concurrently with the early stages of the epidemic, families including children suffered a considerable amount of the kind of illness which has in the past been regarded as possibly related to poliomyelitis. This was much commoner in the neighbourhood of polio cases, and most obvious and definite where there were school-children. Even parts of the city where no positive cases had yet been identified seemed, however, to be going through a similar process at a less advanced stage. VI. ILLNESSES IN AFFECTED HOUSEHOLDS Forty houses in which positive cases had occurred were visited (a) in November and December, immediately after notification of the case, (b) in January, and (c) at the end of March. At the outset more than 150 homes were under observation, but many of these cases proved to be negative, and eventually it was decided to concentrate on cases in the metropolitan area which had commenced before the end of December, 1947. Conditions of spread in rural areas must obviously be rather different from those in the city. These 40 households included a total of 218 persons, distributed as follows

72

Primary " Secondary " Household Cases. Oases. Contacts. M. F. M. F. M. F. Age 0 and under 5 8 4 2 11 14 „ 5 „ 10 .. 15 3 12 13 „ 10 „ 15 .. 3 5 9 10 „ 15 and over (" adults ") 2 1 1 49 56 Totals 28 12 1 CO 81 93

H—3l

A second positive case occurred in four different houses, one of which commenced on the same day as the original case, another two days afterwards, the others after intervals of ten days. Of the remaining 174 contacts, 77 (43 per cent.) had an illness during the period under review which might possibly have been regarded as poliomyelitis in a mild form. Six were seen during the attack and were definitely diagnosable as abortive cases. The remainder varied enormously in severity, but only cases which displayed some genuinely suspicious feature have been included in this survey. The onset of the positive case in the household was taken as the focal point for this part of the investigation, suspicious illnesses in the contacts being studied in their time relation to the positive case. Suspect illnesses whose dates of onset fell within six days on either side of that of the positive case were regarded as concurrent with it, as neither was likely to have been responsible for the infection of the other, assuming the generally accepted incubation period of not less than seven days. As soon as suspect illnesses amongst contacts were divided into those concurrent with or commencing before the positive case and those occurring afterwards, it became obvious that there was probably a mathematical relationship between positive cases and suspect illnesses. This is shown in Fig. V, details being given in the Appendix, Table Y.

Fig. V.—Forty Affected Households: Relationship Between Positive Cases and Suspect Illnesses in Age/Sex Groups

It will be noted that in each of the groups, male children, female children, and persons aged 15 years or over, the more positive cases there were, the less suspect illness was found.* This is true whether we consider all suspect illnesses or only those occurring before the onset of the positive case or concurrently with it. The coefficient of correlation is very high (from 0-88 to 1 in the latter case ; 0-67 to 1 in the former) and confirms this apparent relationship.

* By " suspect illnesses " we really mean persons who developed a suspect illness, as only one illness was recorded for any individual.

73

H—3l

This is an important observation. It is seldom possible—in ordinary circumstances, never possible—to prove that a particular minor illness in a polio contact has any real connection with poliomyelitis. The relationship just described is, however, very strong evidence that the illnesses recorded in these contacts were definitely linked with the positive cases in their friends. Up to this point in the investigation I must confess that I was often doubtful whether the whole basis of the inquiry was not fallacious. From here onwards one felt at liberty to discuss the behaviour of these contact illnesses with much more confidence than would have been justified by their clinical study above. The next fact of importance shown in Fig. Y is that there is no general correlation between positive cases and suspect illnesses, regardless of age and sex. If we arrange all the age/sex bars in Fig. Y so that the left-hand portions (percentage of positive cases) are in order by lengths, the right-hand columns are thrown into confusion. To bring out the relationship described above it is necessary not only to consider " adults " separately from the rest, but to divide children under 15 into the two sex groups.* The meaning of this appears to be that there is some fundamental difference between the effect on male children of a poliomyelitis risk as compared with female children. It is well known that in all large outbreaks there are more boy positives than girls. This has sometimes been attributed merely to a preponderance of males over females in the younger age groups (see, for example, Sydney Smith's report on the Wellington epidemic of 1916, page 21), but study of Fig. Y will show that the pattern of positives and suspects is quite different in the two sexes. We will return to this question later. Let us now see how this state of affairs developed. On the next page, in Fig. YI (see Appendix, Table VI), the progress of suspect illnesses amongst the different age groups is shown. Let us look, first, at the period up to seven days before the onset of the positive case. This should demonstrate which age group was most liable to introduce the infection into the family. It will, be seen that more than 4 weeks before the onset of the positive case, members of both school age groups in each sex developed suspect illnesses. Other groups were affected as time went on, but the most striking feature is the steady advance of suspect illnesses amongst male children aged 10-15 years, 50 per cent, of whom had already had an attack by the time the positive case commenced. Now observe what happened at the time when the positive case fell ill. So far as suspect illnesses in male children are concerned, the situation is reversed. Schoolboys aged 10 or over developed no concurrent illnesses ; pre-school males, least affected before, now had several. In females, however, concurrent illnesses followed the same pattern as before, presumably because the process of salting had not previously advanced so far 'as in males. Add concurrent illnesses to those already recorded, and the distribution of positive cases in children of either sex can be predicted by simply applying the rule that the less suspect illness there has been, the greater will be the incidence of positive cases. This is shown in Fig. VII. Indeed, it would almost be possible to forecast the actual number of positive cases in each age group, because of the high proportion of male children aged 10-15 years and of females aged 5-10 who either have a suspect illness or become positive cases. This is shown in Fig. VIII, in which all suspect illnesses, including those occurring after the positive case, have been included. It will be seen that the gap in each age group, representing the percentage of persons for whom nothing was recorded in the period covered, increases from male children (where it is small, 8 per cent, to 21 per cent.) through female children to adults.

* If, for example, we consider suspect illnesses before and concurrent, the coefficient of correlation is reduced from 0-88 for male children and 0-88 for females to 0-81 for both sexes combined. This is still a very high degree of correlation, but the reduction supports the view that there is some essential difference between male and female children in their response to the polio risk.

74

H—3l

Fig. VI.—Forty Affected Households: Development of Suspect Illnesses (1) Before, (2) Concurrent With Positive Cases.

75

H—3l

Fig. VII. —Forty Affected Households: Inverse Relationship Between Suspect Illnesses and Positive Cases in Age/Sex Groups

76

H—3l

Fig. VIII. —Forty Affected Households: To Show the Percentage in Each Age/Sex Group Not Affected (Either by Suspect or Positive Illness) During Period of Observation.

Since some " suspect illnesses " were only mild, a proportion may liave been overlooked or forgotten. It is clear from Fig. VIII, however, that we cannot close all the gaps by adding equitable proportions to represent missed illnesses. In other words, it is evident that, even in the homes of positive cases, all children exposed to infection do not suffer either a clinical or sub-clinical attack; for some reason most adults, and certain female children, seem to escape completely. In the case of adults it would be natural to assume that the gap might be due to immunity acquired in a previous epidemic. But what of the difference between male and female children ? In only one age group —the pre-school child—does Fig. VIII suggest an identity of response. In the next group, aged 5-10 years, illnesses in girls seemed to be both less prevalent and less severe than in boys. In the 10-15 group, girls had less than half as much suspect illness as had boys of the same age, but rather more positives, and this is the group with the largest gap in female children and the shortest in males. We conclude, therefore, that, on the whole, female school-children are either less susceptible to polio than males or are less frequently or less heavily infected. At a later stage we may find a clue as to which explanation is the more likely. We have established that the majority, at least, of these suspect illnesses amongst contacts are related to the poliomyelitis virus. The next question is the interval between successive cases in the same household. When several of these illnesses have occurred in a family it is reasonable to suppose that in most cases those which have not taken ill simultaneously have been infected by the patient next before in the family chain.*

* I am aware that some authorities would dispute this assumption, arguing that individual variations in the incubation period may account for the stringing-out of several cases infected at the same time. The assumption is, however, justified for present purposes, at least until the alternative is proved.

77

H—3l

There were 81 contact illnesses in our 40 households. The intervals between successive illnesses (including positive cases) in the same household ranged from 1 to 110 days and fell into two practically equal groups : Thirty-seven with a short interval, from 1 to 10 days. Thirty-six with a long interval, from 12 to 110 days. Ignoring for the moment 16 cases in which the interval was 4 weeks or more, let us consider the 57 cases with an interval of Ito 23 days. These are plotted in Fig. IX.

Fig. IX.—Forty Affected Households: Interval, in Days, Between Successive Illnesses in Same Household

It will be seen that they fall into two groups, 37 with a short interval (1-10 days) and 20 with a long interval (12-23 days). The mean interval for the first group was just under 5 days, with a standard deviation of 2-51. The 20 cases falling between 12 and 23 days gave a mean interval of about 18 days, standard deviation 1-34. An obvious hypothesis is that these' may represent the effects of different modes of transmission. May not the short interval imply droplet infection, and the long interval infection by fsecal organisms ? In the latter case one would expect considerable variation in the interval, which might well be very long indeed, depending upon the function in the household of the source case and the standard of personal hygiene. When an attempt was made to " correct " Fig. V by excluding the 16 cases in which the interval seemed excessively long (28 to 110 days), it was found that the neat correlation already noted between positive cases and suspect illnesses was upset, suggesting that even these cases were genuine instances of aberrant polio ; but not, of course, excluding the possibility that they might have acquired their infection outside the home, so that the incubation period may not have been so long as it appeared to be.

78

H—3l

A study was made of the age and sex of individuals who feel ill from 1 to 10 days after a previous case in the household, and those in whose case the interval was 12 days or more. There were 48 of the former and 28 of the latter, and the following table shows the percentage in each age/sex group.

From this it would appear that male pre-school children and girls aged 10 to 15 years have an excess of short-interval and female adults an excess of long-interval infections. The notion that the long interval denotes fsecal infection might fit in with this observation, because it is on the mother that the duty of attending to the young or the sick child mainly falls, with a more than average risk of contamination with fsecal organisms. Forty cases may seem a small number upon which to base conclusions, however tentative. These cases, however, represented 74 per cent, of the total notified in the metropolitan area in that period. It is probable, therefore, that, while it would be foolish to assume that the results have any wider application, they do represent with considerable accuracy what happened in the homes of positive cases falling ill in Auckland while the epidemic was at its height. VII. THE BACKGROUND : PEAK AND DECLINE (a) Incidence in Age and Sex Groups The Auckland urban area, with which this study has been concerned, has a population of just over a quarter of a million. During the five months November to March these produced a total of 94 confirmed cases of poliomyelitis, the peak in the first week of December (16 cases) being followed by an irregular and rather tardy decline. It would be unwise to discuss the progress of an epidemic of poliomyelitis without having regard to the age and sex composition of the population concerned. I have tried to spare the reader by relegating the actual figures to the Appendix (Table VII), but in Figs. X (I) and X (II) on page 81 he will find a picture of the course of the epidemic showing the number of cases per 15,000 in each age/sex group occurring each month. Males are shown in Fig. X (I), females in Fig. X (II). These charts also show, in parallel with the positive cases, the incidence of suspect illnesses in all families with children in the test and control areas. Suspect illnesses are shown per 100 in each age/sex group of the population concerned, the scale for positive cases having been exaggerated 150-fold for comparison. It will be seen that the curves of incidence for all three are very similar. Control areas produced less illness than test areas, and it subsided more rapidly. It is tempting to attribute this, and the dearth of positive cases on the North Shore, to the measures imposed from the end of November onwards, but we cannot hope to prove it.

79

Males. 1 Females. 15-Short-interval infections: Percentage in 20-8 20-8 8-3 6-3 12-5 10-4 6-3 14-6 each group Long-interval infections: Percentage in 10-7 17-8 7-2 7-2 17-8 10-7 3-6 25 each group

H—3l

The next table shows the incidence of cases in the months November to March, by types of district:—

Table VIII.—Incidence of Positive Cases in City, Urban, Semi-rural, and Country Districts

The ratios for " rural districts " probably err On tlie low side, as the population figure upon which they were based includes a large number of districts from which no cases were reported. Similarly, the " semi-rural" ratios are probably too high, as the areas drawn upon are not completely covered by the population figures quoted. These two combined (4 and 5 in Table VIII) give an incidence of 61-6 per 100,000. This relatively high incidence in the rural population has been noted again and again in many parts of the world. An unusual feature in this epidemic is, however, the fact that the percentage of cases amongst persons aged 15 years or more is loiver in the rural and semi-rural districts than in the city and its environs. This is the reverse of the usual finding. (b) Ratio of " Suspect " Illnesses to Positive Cases Our test populations were deliberately selected in the near vicinity of positive cases. The controls were in parts of the urban area remote from the main incidence, and no positive cases occurred within their ambit. By averaging these suspect illnesses we get a fair picture of the whole area. In Table IX this average incidence per 10,000 in each age/sex group has been compared with the incidence of positive cases, and the ratio of suspect to positive illnesses is shown :

Table IX. —Ratio of Suspect Illnesses to Positive Cases, November to February Inclusive

80

— Population, 1st April, 1947 (Estimated). Positive Cases November to March. Ratio of Cases to Population. Cases per 100,000. Percentage of Cases Aged 15 Years and Over. 1. Auckland Metropolitan Area, less North Shore 2. North Shore boroughs 3. Otahuhu and Papatoetoe 4. Other urban* (semi-rural) districts 5. Rural districts 236,000 29,660 11,570 14,950 54,860 90 4 4 20 23 1: 2,622 1: 7,415 1: 2,892 1 : 747 1:2,385 38-1 13-5 34-6 133-8 41-9 26-7 25 25 20 17-4 Total 347,040 141 1:2,461 40-6 24-1 * The following districts have been excluded : Howick, Great Barrier Island, Waiheke, Warkworth, and Helensville.

Sex. Age. Suspect Illnesses per 10,000. Positive Cases per 10,000. Ratio Suspect Positive Cases. Round Figures. Males 1015 and over 1,920 2,155 1,595 710 17-.2 21-7 5-0 1-3 112: 1 99: 1 319: 1 546: 1 1 children : Ratio, 130 : 1. J Males over 15 years: Ratio, 500: 1. Females 05— 1015 and over 1,460 1,630 1,290 875 7-2 71 7-7 0-9 203:1 230: 1 168: 1 972:1 1 children : Ratio, 200 : 1. J Females over 15 years : Ratio, 1,000: 1. Total •• 991 3-29 301: 1 Ratio, 300 : 1.

H—3l

Fig. X(II).—Females: Positive Cases in Auckland Urban Area and Suspect Illnesses in Test and Control Areas Month by Month.

N.B.—Scale for positive cases=150 times scales for suspect cases.

81

H—3l

It will be seen that the overall ratio is 300 suspect illnesses to every confirmed positive case, that the ratio is higher in females than in males and higher in adults than in children, and that it ranges from about; 100 :1 in young males to nearly 1,000 :1 in adult females. A curious feature is the comparatively low ratio amongst girls aged 10 to 15 years. These ratios of suspect to positive cases are so high that it might be imagined that during the course of an epidemic the bulk of the population (at least in the lower age groups) must suffer from poliomyelitis in one form or another. This does not appear to be the case. In Fig. XI the percentages in each age group affected by suspect and positive illnesses are shown, the scale for the latter being 100 times that of the former.

Fig. XI.—Auckland Urban Area: Percentage of Each Age/Sex Group Affected by Suspect or Positive Illness, November to February, 1947-48.

In the next diagram, Fig. XII, the populations in each age/sex group are charted and the calcidated numbers of suspect illnesses in the period November to February are shown. On this scale the positive cases were too small in number to be indicated. It will be seen from Fig. XII that even when the epidemic was at its most brisk, the proportion of each age group affected was so small that even with a generous allowance for missed cases it is impossible to believe that anything like a complete salting of the population has taken place. By the end of July there had been 131 confirmed cases. As a background to these there may have been about 40,000 minor illnesses related to polio. In nine months, therefore, only about 15 per cent, of the population were affected in any recognizable degree. (c) Leading Symptoms, Positive and Suspect Cases A study was made of the symptoms which had most impressed the parents or other members of the household in 50 positive cases, 78 illnesses in household contacts, and 170 illnesses in the test areas. These were the symptoms which were recalled by the relatives and mentioned to the investigator. The result is shown in Table X.

82

H—3l

Fig. XII .—Auckland Urban Area: Number of Persons in Each Age/Sex Group, and Calculated Number in Each Group Who had a Suspect Illness, November to February, 1947-48. (Scale too small to show positive cases.)

83

H—3i

Table X.—Leading Symptoms in Positive and Suspect Illnesses

An interesting feature was the infrequency of diarrhoea in positive cases (8 per cent.) compared with suspect illnesses, and the small percentage of suspect cases in which nuchal pain or fever was noted as compared with positive cases. In other words, meningeal symptoms were commoner in positive cases, and intestinal symptoms in suspect illnesses. Drowsiness was only noted in 7 per cent, of the test area cases, or less than one-third as frequently as in the affected families. VIII. DISCUSSION, AND A SUGGESTED LINE OF INQUIRY We have seen that what really took place in Auckland in 1947-48 was a very widespread epidemic of a comparatively trivial illness, totalling perhaps some 40,000 cases in the first nine months. In the course of this otherwise unimportant outbreak, positive cases of poliomyelitis came to light as dramatic but infrequent episodes. It is further apparent that during the four months when positive cases were occurring in epidemic numbers, only comparatively small percentages of the total population at risk were affected. The most heavily attacked age group only suffered a little more than 20 per cent, of casualties, and even in families in which positive cases had occurred we found no indication that all children in close contact had been affected. Some female school-children, in particular, seemed to escape completely. It has long been recognized that poliomyelitis tends predominantly to affect males. In 1932 an analysis of published data relating to 36,000 cases gave a male : female ratio of 1-3:1. Rhodes* comments, however, that " while this ratio holds for younger children, it has been stated that at ages over 20 years there are more cases in females than in males." In our series the male : female ratio was 2-1:1 under the age of 15, and 1-2:1 above. With " suspect" illnesses the ratios were 1-3:1 and 1:1-5 respectively. Scrutiny of Figs. XI and XII will show that, in whatever form the epidemic is considered, male children were more heavily attacked than female children. The schoolgirl aged 10 to 15 years is in a peculiar position; this group produced fewer suspect illnesses than the corresponding male group, but more positive cases. In other words, her resistance (immunity ?) is lower, but she is less frequently attacked. It is clear, therefore, that poliomyelitis has a peculiar age and sex incidence which is not dependent on local or temporary conditions. In this investigation we have shown that the male school-child is especially liable to bring the infection into the household, and that once it is introduced it tends to pass from one member to another, not affecting all at the same time, but in turn, and that eventually a very high proportion of family

* Rhodes, A. J. (1947): Bull, of Hyg., 22, 353.

84

— Positive Cases. Contact Illnesses. Test Area Illnesses. In 30 per cent, of cases or more In 20-29 per cent, of cases In 10-19 per cent, of cases Per Cent. Fever .. 78 Headache .. 44 Pain in the neck 44 Vomiting .. 38 Per Cent. Fever .. 43 Headache .. 30 Sore throat .. 30 Per Cent. Fever .. 34 Headache .. 30 Sore throat .. 30 Sore throat .. 24 Drowsiness .. 24 Drowsiness .. 22 Vomiting .. 28 Diarrhoea .. 25 Abdominal pain 12 Vomiting .. 19 Diarrhoea .. 18 Pain in neck .. 15 Abdominal pain 16 Pain in neck .. 12

H—3l

contacts are attacked. When pondering on these facts, it suddenly occurred to the writer that there is another affection of childhood which behaves in a somewhat similar manner. I refer to infestation with threadworms. Recent research has thrown much light on this condition. It is now known to be far more common than was formerly believed. Reliable statistics of its age and sex incidence in normal population groups (as opposed to selected social groups, hospital patients, &c.) are difficult to obtain, but some interesting figures are available from the Peckham Health Centre* The population concerned is a good cross-section of a middleclass London suburban community, only whole families being admitted to membership of the Centre, and medical overhauls being obligatory. In the following table (Table XI) the percentages of each age group in which worm infestation was confirmed by laboratory examination are shown alongside our figures for " suspect" illnesses in Auckland :

Table XI. —Comparison Between Incidence of Threadworm Infestation, Peckham, and "Suspect" Illnesses, Auckland

A preponderance of male children, especially after school entry, and a higher proportion of female adnlts affected than of males, are features alike of the Peckham figures and of our records of " suspect " illnesses in Auckland. It will be noted, also, that Rhodes' comments on the general incidence of poliomyelitis, quoted above, would apply equally well to the Peckham figures for worm infestation. (Females : males = 1-3:1. Females exceed males after age 20.) The resemblance between the behaviour of Enterobius vermicularis and of the virus of poliomyelitis does not stop, however, at a mere similarity of age and sex incidence. If we consider the following facts about threadworm infestation we are reminded at every point of similar features of poliomyelitis. I hasten to add that it is not suggested at this stage that there is any connection between them, but rather that the epidemiology of one may throw light on that of the other. Enterobius vermicularis appears, as a parasite, to be strictly confined to man as its host. Failure has attended all attempts to infest guinea-pigs, mice, dogs, and rhesus monkeys, j We have here, then, a bowel parasite of man alone which so far as is known has no intermediary. One would expect that its incidence could be correlated with defective sanitation, but such is not the case, and, like poliomyelitis, this is one of its most puzzling features. In America, for example, of about 4,000 persons examined, the percentages found to be infested were : 2,895 Whites .. .. .. .. 41-5 per cent, infested. 1,099 Negroes .. .. .. .. 12-9 per cent, infested. Other writersj enlarge on their failure to find infestation in negroes and mestizos in the proportion which would be expected from their low standards of cleanliness, and admit that to date no satisfactory explanation has been forthcoming.

* " The Peckham Experiment," Pearse and Crocker, London, 1943. f Eloise B. Cram (1943): Am. J. Dis. Child, 65, 46-59. j Millbb and Einhokn (1944) : Am. J. Dis. Child, 68, 376.

85

Age Group. Peckham Health Centre: Worm Infestation. Auckland Urban Area —" Suspect " Illness: Percentage Affected. Population Concerned. Number with "Worms. Percentage Infested. Male. Female. Male. Female. Male. Female Male. Female. 0-5 6-10 11-15 16 and over 248 200 212 1,323 248 197 199 1,375 45 83 55 52 39 46 29 69 18-1 41-5 25-9 3-9 15-8 23-4 14-6 5-0 19-2 21-5 15-9 71 14-6 16-3 12-9 8-7

H—3l

A description of the incidence of threadworms in United States of America has a familiar ring. It was found to be highest in school-children, lowest in adults, and intermediate in pre-school children*. There was evidence that if young children attended nursery schools, their incidence rose until it equalled that of children of school age. The highest incidence recorded was in a group of 504 boys aged 6-16 years, of whom 57 per cent, were infested. When families in which one member was known to be infested were investigated (cf. our studies of household contacts of poliomyelitis cases), an unusually high incidence was found. In 286 white families, 1,353 persons were examined ; 72 per cent, of the children and 36 per cent, of the adults were infested. In 34 negro families, 172 persons were examined ; 51 per cent, of the children, but only 7 per cent, of the adults, were infested. A leading authority concluded that " even stringent measures cannot be relied on to control the infection." All this is reminiscent of some of the more puzzling aspects of poliomyelitis. Growing emphasis has been laid in recent years on the role of fecal organisms in the spread of the disease. It seems possible, therefore, that something might be learned, by analogy, if we look further into the threadworm question. This leads us to a startling aspect of the epidemiology of threadworms, only recently recognized, but already well established as a fact on both sides of the Atlantic. It is now known that where threadworm infestation is common (and where is it not ?) the eggs can be recovered in large numbers from the dust in schools and in homes, where they seem to be blown about everywhere. The height above the floor of the surface examined is immaterial. In the homes of infested families they have been found in all rooms, and at all levels from the floor to the ceiling lights. In the United States of America, in 7 infested households, 91-7 per cent, of 241 samples of dust yielded eggs. The largest numbers were found in the bedrooms, and about half of the eggs were viable or had recently been so. In Amsterdam, where all children are said to be infested, the numbers of eggs found"j" on a square foot of surface was 119 in a school dining-hall, 305 in class-rooms, and 5,000 in closets. More eggs were found in girls' closets, but girls were not more heavily infested than boys. The main source of the eggs appeared to be the anal region, where they are deposited by the female worm during the hours of sleep Movements of the clothing cause them to be rubbed off, and they are then spread about in the dust. Bedmaking was noted as being favourable to dissemination. Dust-borne spread has been accepted as an important source of light infestation, thereafter convertible by finger transference into a severe and active condition. Does this throw any light on the poliomyelitis problem ? I think it may. We know that the virus of poliomyelitis is principally eliminated in the feces and that contacts and persons who have had abortive attacks may harbour it for weeks or months in the intestine. We know that it may retain its infectivity in dried feces for a long time. If, therefore, the relatively enormous ova of Enterobius have been found so readily in the dust in schools and in private houses and have been proved to be blown about indoors and to be liable to inhalation or swallowing, surely it is reasonable to suppose that spread of the poliomyelitis virus may well take place in the same way—possibly at the same time. The ova themselves might be contaminated with infective virus ; tiny particles of dried feces, derived in a similar manner from the anal region of a poliomyelitis carrier, almost certainly must be, at least occasionally.

* Eloise B. Gram (1944): Am. J. Dis. Child, 68, 376. t See " Threadworms," Lancet, 18th May, 1946, p. 742—various references.

86

H—3l

It is possible that if it can be shown that the dust in school closets during an epidemic contains appreciable quantities of the active virus, this may also supply a clue to another mysterious feature of poliomyelitis. Why do epidemics nearly always commence in summer ? Might the reason not be that certain physical conditions existing then, of temperature, humidity, and dust promotion, may for a short time be particularly suited to the survival and dissemination of the virus in an infective form by the means suggested above ? Without disputing the importance of other modes of transfer, it is, I suggest, possible that indoor dust spread, in schools in particular, may be the type best suited to touching off an epidemic in a population happening to be ripe for it, by causing a more rapid and wider circulation of the virus. This might lead first (as we have seen) to an increasing number of minor illnesses in school-children, especially in boys aged 10-15 years, and later, when the virulence became exalted by passage, to recognizable cases, falling most heavily on the age groups which previously suffered least from the disease in its milder form. Infections acquired in this manner might generally be light (as seems to be the case with threadworms) and neglected personal hygiene might be necessary in most cases to boost them to a clinical level. This might explain why the older schoolgirl, perhaps the most fastidious member of the community, usually escapes lightly, while the adult woman (who makes the beds and attends to the younger child) is relatively heavily attacked. I submit that a prima facie case has been made out for considering that this manner of spread, analogous to that of threadworms, is a possibility, and perhaps an important one. That the threadworm itself might be intimately concerned in the life-history of the virus may seem a fantastic suggestion, but it cannot be excluded on grounds of speculation. So far as I know, the idea now put forward has not been considered before, and it at least deserves inquiry. If it should be found to contain any truth, it opens up a new line of attack upon the disease. If it turns out to be a really important factor, the whole of our policy of polio prophylaxis may have to be revised. IX. CONCLUSIONS (a) The Auckland poliomyelitis epidemic of 1947-48 was preceded and accompanied by large numbers of cases of minor illness in the general population, of varying severity, characterized by (in order of frequency) fever, headache, sore throat, vomiting, diarrhoea, and sometimes pains in the abdomen or neck. (b) In the homes of positive cases, these " suspect illnesses " in contacts were found to bear a close inverse mathematical relationship to the positive cases in the same age/sex groups. (c) The monthly curves of incidence of these "suspect illnesses" in the general population followed a similar pattern to the incidence of positive cases not only in districts where positive cases were occurring, but also in parts of the city where there was little or no obvious prevalence of poliomyelitis. (d) The ratio of " suspect illnesses "to positive cases was very high. The over-all ratio was about 300 :1. In male children it ranged from 100 to 300 :1, in female children from 150 to 250 :1, and in adults from 500 :1 (males) to 1,000 :1 (females). (e) Notwithstanding these high ratios, only comparatively small proportions of the population suffered any obvious illness," suspect "or positive. In the four months when the epidemic was most active the male age group 5-10 years was the most heavily attacked, but it was calculated that only about 22 per cent, of children in that age group were affected during this time. This is despite the fact that the incidence of positive cases in Auckland urban area, November to March inclusive, reached 38 per 100,000, which is generally regarded as a high figure.

87

H—3l

(/) The following facts suggest that when individuals come unscathed through an outbreak of poliomyelitis, the primary factor is not (as has generally been assumed) immunity gained in a previous epidemic : (1) During this widespread and moderately severe epidemic less than one in four in any age group of the general population was affected in any way. (2) Amongst those in closest contact with positive cases, significant numbers of young people could be found who, after searching inquiry, appeared to have escaped completely. (3) Between boys and girls of the same age there appeared to be a notable difference in susceptibility in favour of the latter. (4) In rural areas, although the incidence was much higher than in the city, the percentage of cases aged 15 years or over was lower. (g) Of equal, or greater, importance may be the degree of exposure to infection, and possibly the stage of the epidemic at which infection is first encountered. It seems that infection may not be acquired so easily as is generally believed, and that mode of life and personal habits may be deciding factors. Some immunity appears to have been conferred by minimal infections early in the epidemic—e.g., amongst older schoolboys and possibly adults. See next paragraph, and (Jc) below. (h) The epidemic was preceded by an increase of illnesses of the type mentioned in (a) above, at first mainly of short duration (under 4 days), the chief prevalence being amongst adults.* As the epidemic approached its peak, however, " suspect" illnesses showed their highest prevalence in school-children, especially in the vicinity of positive cases, and there was a marked increase in the duration of illness and in the number of suggestive symptoms observed. (i) Serial spot maps of positive cases showed no indication of spread from any particular focus. It must be presumed, therefore, that in the form of " suspect " illnesses the disease had already established itself widely before the appearance of positive cases revealed its presence. Investigation showed that this unobtrusive spread of " suspect " illnesses had occupied a period of some weeks at least, during which only a single positive case occurred, date of onset 25th October ; yet so widespread had the infection become by the middle of November that a very large number of individuals must already have been involved. In the first four weeks of the overt epidemic (9th November to 6th December), 30 positive cases occurred in the Auckland urban area, and the peak of the epidemic was reached in the fourth week. These facts would be consistent with an increase in the virulence of the organism during October and November. (j) A very high percentage of the household contacts of positive cases had a " suspect" illness during the period of observation. Before, or concurrent with, the onset of the positive case, 50 per cent, of two age groups (males aged 10-15 years, females aged 5-10 years) in the affected households had a " suspect" illness. School-children, particularly boys aged 10-15 years, were most frequently responsible for introducing the infection into the family. Amongst children the age groups most affected by " suspect" illnesses beforehand produced fewest positive cases, but females, on the whole, suffered less than males, and adults very much less than children. (k) The intervals between the dates of onset of successive illnesses (suspect or positive) in the same household ranged from 1 day to as much as 110 days. Half of them ranged from Ito 10 days, half were of 12 days or more. A tendency to grouping about the fifth day and the eighteenth day was noted. The facts pointed either to a comparatively poor capacity of the organism to pass from person to person in the home, or to a remarkable degree of variation in the incubation period. The former was considered to be the more likely. (I) " Suspect" illnesses in the general population followed the usual poliomyelitis pattern in their age and sex incidence. Males under the age of 15 were more affected than females of the same age, the preponderance being more marked after school entry

* For reasons mentioned on page 69, however, least reliance can be placed in this investigation on records of illness amongst adults in childless families.

88

H—3l

than before ; over the age of 15, females suffered rather more severely than males. Attention is drawn (see preceding section) to the fact that a similar age and sex incidence has been noted in different parts of the world in regard to threadworm infestation. The latter has, epidemiologically, some curious points of resemblance to poliomyelitis, and it is suggested that recent discoveries about its mode of spread may supply clues to some hitherto unexplained features of the more serious disease. The task of the investigator is to establish facts. It is not a primary object of this paper to suggest the manner in which its conclusions might be translated into practice. One could not help being impressed, however, with the emphasis which the findings throw on the role of the school-child in spreading infection and introducing it into the home—particularly the older schoolboy; on the likelihood of faecal organisms, rather than droplet infection, playing the major part in propagating the disease ; and on the supreme importance of personal hygiene over all possible general measures of control. With regard to these last, however, the chief point of practical importance which emerges is that a particular kind of public assembly is especially to be avoided in epidemic times —that is, any in which children are collected together, use closets in common, and take food. Day schools and children's parties are therefore much more dangerous than casual contact in trams, buses, shops, or in the streets. It is to be noted, however, that we have shown that by the time we are made aware of the presence of an epidemic the infection has already become widespread. School closure, therefore, unless it is prompt, can only be of limited value. That it definitely was of value in the present instance lam convinced. Experience of this measure in England or the United States of America has little interest for us in New Zealand, because conditions here are different from those in any other country. I doubt if the public in Britain would respond as well to the requirements of the health authorities as they did in Auckland, and there is no city in England whose average living conditions are at all comparable or which has such an abundance of private gardens and open spaces where children can enjoy the fresh air without coming into contact with others outside the family circle. When the schools reopened in Auckland, a note from the Health Department was read out to all classes warning the children (amongst other things) that they must be careful to wash their hands before lunch. When lunch-time came, in one school at least, some of the older boys were heard to say that " they weren't going to wash their hands — only sissies did that." This, as we have seen, is the group chiefly responsible for spreading the infection—and no wonder ! X. SUMMARY (а) A field investigation into an outbreak of poliomyelitis in Auckland in the summer of 1947-48 is described. (б) The object of the investigation was to study the background of the epidemic in the general population, to discover how it had commenced, and how much minor illness related to poliomyelitis had occurred (i) amongst household contacts, (ii) in other persons residing in the same neighbourhood, and (iii) in those parts of the urban area least affected by-the epidemic. (c) Conclusions reached have been detailed in the preceding section. A relationship was established between minor (" suspect ") illnesses and positive cases ; the ratio of " suspect " to positive cases at different age levels has been calculated, and an estimate is given of the extent to which the population as a whole was affected. Seasons are adduced for believing that, during an epidemic, mode of life and personal habits may be of more importance in determining the fate of the individual than previously acquired immunity. (d) It is suggested that indoor dust-borne infection, at school and in the home, may be important, and that the results of recent research into threadworm infestation may throw light on this factor.

89

H—3l

APPENDIX Table I.—Composition of Test and Control Areas, by Types of Dwellings and Families

Table II.—Age and Sex Composition of First 1,000 Persons in Test and Control Areas

Table III. —Analysis of Illnesses Recorded in Test and Control Areas at First Visit

90

(See page 69) Total Houses Class of House. Persons. A rhilf c< School PreAU.UltS. school Visited. I. II. III. IV. Male. Female. Total. Children A. All Categories Areas — (a) Test 300 33 224 41 2 566 567 1,133 732 246 155 (b) Controls 303 30 237 34 2 548 553 1,101 717 256 128 B. Families Without Children Areas — (a) Test 118 16 83 19 140 157 297 297 (b) Controls 126 17 99 10 136 159 295 295 C. Families Including Only Pre-school Children Areas— (a) Test 39 4 31 4 72 71 143 89 54 (b) Controls 33 2 25 6 64 62 126 79 47 D. Families Including School-children Areas — (a) Test 143 13 110 18 2 354 339 693 346 246 101 (b) Controls 144 11 113 18 2 348 332 680 343 256 1 81 Note.—Classification of houses (social and economic) : I, superlative ; II, g ;ood ; III, fair ; IV, bad.

(See page 69) Age Group 45— 14Over 15. Males— Test areas Control areas 10 9 15 11 17 16 20 10 15 12 16 13 19 16 13 12 11 9 7 20 6 11 7 11 12 7 8 7 8 9 319 323 Females — Test areas Control areas 13 13 14 13 14 9 9 12 9 10 12 9 12 13 18 11 13 13 7 5 8 5 2 7 5 6 2 11 5 8 354 359

(See page 70) Before 1st November. After 1st November. X umber of " Cardinal" Symptoms. Duration 4 Days. Duration 4 Days+. Duration 4 Days. Duration 4 Days+. Test. Controls. Test. Controls. Test. Controls. Test. Controls. Five.. Four Three Two One .. Indefinite i 7 15 7 1 3 6 7 3 6 3 3 i 7 4 1 i 5 28 30 10 i 5 16 28 7 1 4 10 12 14 4 5 10 11 1 Total 30 17 15 13 74 57 45 27

H—3l

Table IV.—Distribution of Illnesses Recorded at First Visit, by Types of Family

Table V.—Forty Affected Households: Positive Cases, and Suspect Illnesses, in Age/Sex Groups

91

(See page 72) Families .. .. .. -f I I Illnesses Duration Under 4 Days. Illnesses Duration 4 Days or Over. Adults Only. Pre-school Only. With Schoolchildren. Adults Only. Pre-school Only. With Schoolchildren. A* (295) A (79) P (47) (343) S (246) P (81) (295) A (79) P (47) (343) s (246) P (81) Before 1st November— Test areas Controls Tests.. .. Controls .. After 1st November— Test areas Controls .. Tests Controls 12 0 3 0 1 3 8 6 5 5 1 3 4 3 0 1 4 1 3 5 4 1 2 0 1 12 0 4 3 Y 14 14 4 3 4 2 7 8 6 10 9 0 V 8 3 15 15 34 21 2 8 j 4 8 4 4 2 4 11 3 18 8 1 6 1 0 6 10 17 3 51 44 4 8 6 8 35 11 * " A " = adults ; "V" — pre-school children ; " S " = school-children.

(See page 73) Xumber. Per 100 in Each A/S Group. Age Group. Contacts 111 Contacts 111 Positive Cases. Before or Concurrent. After +ve Case. Positive Cases. Before or Concurrent. After +ve Case, Male Children 5— 1015 8 3 4 6 6 5 1 2 56 42 25 15 32 50 19 5 17 Female children 55 6 3 4 6 5 0 2 2 33 30 19 27 30 50 0 10 12 Aged fifteen and over Male .. Female 3 1 6 9 4 12 6 2 12 16 8 21

H—3l

Table VI.—Forty Affected Households: Time Relationship Between Onset of Positive Case and Illnesses in Contacts

Table VII. —Positive Cases and "Suspect" Illnesses in Auckland Urban Area, Month by Month (See page 79) (a) POSITIVE CASES, AUCKLAND URBAN AREA

(b) SUSPECT ILLNESSES, PER 100 IN EACH AGE/SEX GROUP, TEST AND CONTROL AREAS

92

(See page 74) Total Persons. 111 Before Positive Case. Concurrent. Sex. Age. More than 2 Weeks. 2-4 Weeks. 7-14 Days. Contacts. Cases. After. Males 1519 27 12 52 1 (3%) 2 (17%) 1 (2%) 1 (5%) 1 (4%) 2 (17%) 1 (2%) 1 (4%) 2 (17%) 2 (4%) 5 (26%) 1 (4%) 0 .. 2 (4%) 8 (42%) 15 (56%) 3 (25%) 3 (6%) 1 (5%) 5 (18%) 2 (17%) 4 (8%) Females 1520 16 15 57 1 (6%) 1 (7%) 2 (10%) 2 (12%) 2 (13%) 4 (7%) 1 (5%) 1 (6%) 2 (4%) 3 (15%) 4 (25%) 1 (7%) 3 (5%) 6 (30%) 3 (19%) 5 (33%) 1 (2%) 2 (10%) 2 (12%) 12 (21%)

Sex. Age. Population (1945). Positive Cases. Cases per 15,000. Nov. Dec. Jan. Feb. Mar. Nov. Dec. Jan. Feb. Mar. Males 05— 1511,619 8,772 7,965 92,330 3 5 2 2 9 13 1 6 5 1 1 1 3 3 1 1 1 2 3-9 8-5 3-7 0-3 11-5 22-2 1-9 0-9 6-4 1-6 1-9 0-1 3-9 0-4 1-3 1-6 1-9 0-3 Females .. 011,184 1 4 2 1 1-3 5-4 2-7 1-3 58,500 2 2 1 1 1 3-6 3-6 1-8 1-8 i-8 107,822 1 3 1 1 2 1-9 5-7 1-9 1-9 3-9 15110,273 4 2 4 1 0-6 0-3 0-6 0-1

Sex. Age. Test Areas. Control Areas. Nov. Dec. Jan. Feb. i Mar. Nov. Dec. Jan. Feb. Mar. Males 15-9-1 13-2 13-2 6-3 8-9 13-2 2-7 2-0 i-6 1-4 5-7 4-2 1-6 i'i 8-5 8-1 5-9 2-7 8-5 5-4 2-7 i-6 4-4 0-5 2-0 2-0 0*5 Females 0-4-3 10 1-4 2-9 5-8 4-3 2-9 1-7 1-7 1-7 5— 11-6 8-6 1-6 1-6 5-3 3-5 . . 2 10-10-7 71 2-5 2-5 3 15-5-5 4-5 i'o 0-5 1-7 4-8 0-5

H—3l

REPORT ON AN OUTBREAK OF TYPHOID FEVER IN KAIKOURA, 1947 (By J. H. Blakelock, M.Sc., M.8., Ch.B., D.P.H., Medical Officer of Health, Christcliurcli) PART I.—KAIKOURA TOWNSHIP Topography Kaikoura is a small rural coastal town on the main road between Canterbury and Marlborough. It is some 120 miles north of Christchurch and 80 miles south of Blenheim. It can be roughly divided into two sections : one lying along the narrow coastal plain to the north of the Kaikoura Peninsula, the other occupying the seaward slopes of the north-going spur. The soil in the first area is sand and shingle, in the latter' a tenacious clay. The general aspect is to the north and east and the climate an equable one. Population Since Kaikoura is part of the administrative county of that name it has no defined boundaries and no definite figure can be assigned to its population. Based on the results of a survey made during the outbreak, the population of the area commonly accepted as lying within the town limits is in the neighbourhood of 1,200. The age and sex distribution of the population based on a survey of 256 families with a total of 1,066 persons is as follows

Occupations Kaikoura caters for a considerable tourist traffic and, in addition, serves as a market town for the surrounding rural area. The wage-earning population includes staff of the Railway, Post and Telegraph, and Public Works Departments, hotel and restaurant workers, shopkeepers, tradesmen, and fishermen. There are 110 local industries other than a butter-factory lying some two miles from the township. Transport There is a daily bus both ways between Nelson, Blenheim, and Christchurch, and a passenger-train both ways between Christchurch, Blenheim, and Picton three days weekly. Both road and rail services make stops for lunch at Kaikoura. There is a refreshment-room on the station catering for train passengers ; those going by road patronize one or other of the local hotels or tea-rooms. The bearing of this practice on cases arising outside the district will be referred to later.

93

Persons Per 1,000 of Population. Age Groups. Males. Females. Both Sexes. 0-2 36 35 ! 71 -5 36 39 75 -10 .. 64 64 128 -15 .. 60 36 96 -20 .. 25 42 67 -30 .. 56 66 122 -40 .. 81 92 173 -50 74 50 124 5080 64 144 All ages 512 488 1,000

H—3l

Medical Services Kaikoura lias one full-time medical practitioner who is assisted by a second doctor 011 a part-time basis. The practice is a large one and includes not only Kaikoura, but a very considerable area of the surrounding country. The next doctor to the south is at Cheviot, some forty miles away. The North Canterbury Hospital Board maintains a hospital in Kaikoura of some thirty medical and surgical beds and ten maternity beds. The local doctor is also medical officer to this hospital. There is no resident bacteriologist. Specimens for bacteriological examination have to be sent to Christchurch. Sewerage and Nightsoil Disposal There is no sewerage scheme operated by the local sanitary authority. About three-fifths of the houses have pan privies. A Public Works Department camp housingover forty families has its own private contractor. The collection service for the remainder of the township is carried out by a contractor engaged by the County Council. The contract calls for a weekly service, the used pan being replaced by a clean one. The remaining two-fifths of the houses have either individual or communal septic tanks. Two of these communal schemes are of some size : one serves a group of houses owned by the New Zealand Railways, the other a State housing block. In both cases septictank effluent is piped to the foreshore and disposed of by sub-surface drains in a large bank of coarse shingle. A few business premises and a local hospital discharge their septic-tank effluent into the Lyell Creek, which enters the town from the north and discharges on the foreshore almost at the town's central point. Water-supply The township has a high-pressure water-supply which is operated by the Kaikoura County Council. The source of supply is a stream coming from Mount Fyffe, an outlying peak of the Seaward Kaikoura Range. The collecting area is totally uninhabited. From the intake the water is piped across an intervening plain to the township. Along this main are several break-pressure tanks. A rising main supplies a reservoir situated in the township itself. Its only function is to act as a balance tank at times of considerable draw-off. There is no treatment of any kind. The water is of good chemical quality, and routine tests made prior to the outbreak show it to be of a high degree of bacterial purity. Milk-supply The law provides that all dairies for production of " town " milk must be registered by the Live-stock Division of the Department of Agriculture, which is responsible for their supervision. At the time of the outbreak there were three such dairies in Kaikoura : one supplied the local hospital but no other residents; the second, cream to a local icecream manufacturer ; and the third, some two-thirds of the town with milk, including all the hotels, tea-shops, and milk-bars. In this dairy the cows were machine milked and the milk cooled by passing over a water cooler. It was neither pasteurized nor bottled. The milk was transported in cans on an open motor-truck and the individual customers served from a hand-can periodically filled from the cans on the truck. There were no facilities for cleansing the dippers during progress of the round. To supplement the milk produced at his own dairy this vendor found it necessary for a portion of the year to obtain supplies from the Milk Marketing Division's plant at Blenheim. This, like the milk produced by himself, was sold loose. The total daily distribution was in the neighbourhood of 80 gallons. The remaining households either had their own cow or obtained their milk by " arrangement " from a neighbour who had. Since these small producers were and still are unregistered, this traffic in milk does not have the sanction of the law. It is, however, a matter of extreme difficulty to eliminate it.

94

H—3l

Ice-cream Except for a small quantity of ice-cream manufactured by a local, producer and vended only by him, all ice-cream sold in Kaikoura is obtained from one or other of the wholesale manufacturers in Christchurch. Other Foods The production and distribution of other foods calls for no special comment. The township is supplied by two butchers, three bakeries, at one of which only pastries and small-goods are produced, and by one fish-shop. There are five small restaurants and tea-rooms. Flies Although complaints have been made from time to time as to the manner of disposal of nightsoil by the contractor, no evidence of fly-breeding was noted at the disposal site immediately prior to or during the outbreak. Previous Cases of Typhoid Fever in the District The only notified cases of typhoid occurring in Kaikoura and the surrounding district during the previous five years were two —one in 1944, the other in December, 1946. The former had left the district at least a year before the outbreak occurred. The second was discharged from the local hospital in late January, 1947, and was stated to be non-infectious at the time of discharge, since when he had lived at a farm some three miles outside the township. This picture was somewhat complicated by the number of ex-servicemen who had served overseas either in the Pacific islands, Middle East, or Italy during the last war. Information subsequently obtained from Service authorities indicated that none of them had had typhoid fever during their period of military service. Administration The local sanitary authority both for Kaikoura itself and for the county is the Kaikoura County Council. It is charged with the administration of the Health Act, is responsible for supervision of water-supplies, general sanitary services, of food shops, and in part with the control of infectious disease. Conjointly with several other counties it employs a Sanitary Inspector, who is resident in Rangiora some 90 miles south. The county is part of the Canterbury - West Coast Health District, which is administered from Christchurch. The District Medical Officer of Health acts in an advisory capacity on health matters to local sanitary authorities in his district and, in addition, administers the Food and Drugs Act. His responsibility for the quality and safety of the milk-supply begins only at the farm gate. As previously stated, control of production is in the hands of the Department of Agriculture. Samples of water, milk, or other foods taken by the Sanitary Inspector (who acts in his district as a Food and Drugs Officer for the Department of Health) have to be taken for examination to the Government Analyst (Department of Scientific and Industrial Research) at Christchurch. The local hospital is one of many similar ones administered by the-North Canterbury Hospital Board. It has normally no laboratory facilities, bacteriological specimens having to be sent by road or rail from Kaikoura to the central laboratory maintained by the Hospital Board at their main hospital in Christchurch.

95

H—3l

It will be seen that, in view of the limited medical staff and hospital accommodation locally available and the distance from the laboratory facilities of all kinds and from the main administrative centre in Christchurch, the control of an epidemic of any size in this township poses problems of considerable magnitude. PART lI.—THE OUTBREAK The first case in this outbreak was notified to the Department of Health on the 10th October. The date of onset of this case was most probably the 22nd September, some eighteen days earlier. Some six days later, on 16th October, the local doctor informed the Department at Christchurch that he was attending several patients whom he suspected to have typhoid fever, 2of which were clinically positive. In 1 case only had laboratory confirmation of the diagnosis been obtained. Officers of the Department visited Kaikoura the following day, and on the 17th and 18th October carried out a preliminary inquiry. Some 13 patients in all were interrogated. It became evident from the inquiries made that most of these persons had become ill and had therefore presumably been infected within a few days of each other. The local doctor took samples of blood from several of these patients —these were brought back to Christchurch for examination. With one exception the homes involved were provided with a watercarriage sewerage system. Flies were conspicuously absent and it was difficult to see how the infection, if, indeed, it were typhoid, could be accounted for except by the consumption of some common article of food or drink. The detailed histories taken definitely eliminated all such articles except water and milk. All the affected households received high-pressure water from the town supply; all except one bought their milk from the town milk-vendor. The family in which this exception occurred had their own cow, and this patient subsequently proved not to be a typhoid case. None of the patients appeared to be seriously ill. The majority were children and some of them were kept in bed only with difficulty. Generally they were sitting up in bed and reading or playing with their toys. The only constant symptoms were headache and feeling off colour. All had shown a raised temperature at some time or other. The most striking feature noted about the children was a slightly flushed face and a general impression of tenseness and alertness. Inquiries were made into the water and milk supply and samples of blood, faeces, and urine taken from possible carriers. The results of the specimens submitted to the laboratory on 19th October, 1947 r were not available until the afternoon of the 22nd October, when four positive cultures from the clots of the blood sent in for a Widal examination were reported. The nature of the outbreak was now established and the following immediate action taken (1) The Medical Superintendent of the North Canterbury Hospital Board was notified that preparation should be made for hospitalization of all cases immediately. The medical officer in charge of the Kaikoura Hospital was similarly notified. (2) A statement was made to the local press (which has a wide circulation in the Kaikoura district) informing Kaikoura residents that an epidemic of typhoid fever had broken out and advising them of the steps they should take for their own protection. (3) The bus company which maintains the service between Christchurch and Nelson were notified, and requested to advise their passengers of the occurrence of the outbreak. It was suggested that they confine their meals in Kaikoura, until advised to the contrary, to hot cooked foods only. The manageress of the Railway refreshment-rooms had earlier been advised to boil all milk used.

96

H—3l

(4) A circular memorandum was despatched to all doctors in the Canterbury and West Coast Health District. The Head Office of the Department and Medical Officers of Health of all other South Island districts Were similarly notified. (5) Arrangements were made with the milk-vendor to have all his milk pasteurized. This was possible by arrangement with the local butter-factory. The plant available was designed only for pasteurizing cream by a continuous-flow process and was not ideally suited to the pasteurization- of milk. It was considered, however, that the treatment could be sufficiently well controlled to guarantee that the treated milk would be safe. Milk was brought from the dairy in cans and bulked at the factory. The cans were then steam sterilized at the factory and returned to the dairy. The cans for the round were kept separate. Milk when pasteurized was filled into them, and on the completion of the round they were returned to the factory for sterilizing. They were not permitted to go back again to the dairy. Arrangements were made for frequent sampling of the milk-supply particularly with a view to determining whether the pasteurization procedure was being carried out effectively. (6) A request was made to the North Canterbury Hospital Board to establish a bacteriological laboratory at the Kaikoura Hospital in order to facilitate the bacteriological investigation of cases and of possible carriers, thereby obviating the inconvenience and delay which would be inevitable if all specimens had to be sent to Christchurch. This was done on 29th October. (7) Arrangement were made for the regular and frequent sampling of the watersupply. Some of these were taken by the Sanitary Inspector, others by the Engineer to the Kaikoura County Council, who very willingly agreed to co-operate in this matter. It was necessary to transmit all these samples on ice to Christchurch for examination by the Government Analyst. Course of the Outbreak After an isolated case on 26th September, 6 further cases occurred during the following two weeks. The outbreak reached its maximum incidence in the week ending 20th October, by which time more than half the total cases had already occurred. Even if the measures taken proved entirely successful, the epidemic could be expected to continue thereafter for a further 10-15 days relatively unabated. Further isolated cases might still occur after that due either to longer than average incubation periods or to secondary infection from cases occurring earlier in the outbreak. The first delivery of pasteurized milk was made on the morning of October 24th, and subsequent to Bth November —that is, 15 days after pasteurization Was instituted —only . 6 cases occurred. Subsequent to 14th November —i.e., 21 days after the community had been served with pasteurized milk (not an extreme incubation period)—only 2 cases were noted. Experience, therefore, was closely in accord with expectations. It is of interest to note that by the time that the nature of the outbreak was firmly established—i.e., 22nd October —4 o out of the total of 78 cases had already commenced to be ill. Accommodation In order to accommodate the rapidly increasing number of cases, arrangements were made to evacuate all patients from the medical and surgical wing of the hospital. The ma,vimnm number that could be catered for by these means, allowing for the expected preponderance of children, was 40. It was anticipated at first that this might suffice.

4—H 31

97

H—3l

In view, however, of the considerable time lag between onset and notification of cases, this proved a gross underestimate, and it was necessary later to transfer by ambulance in relays some 31 cases to the North Canterbury Hospital Board's isolation hospital at Burwood (Christchurch). The transfers were made as follows : Cases. sth November .. .. .. .. 10 6th November .. .. .. .. 4 7th November .. .. .. .. 4 13th November .. .. .. .. 5 19th November .. .. .. .. 7 24th November .. .. .. .. 1 In view of the length of the journey (120 miles) and the difficult nature of a considerable portion of the road, the selection of cases for transfer was a matter of some difficulty. Only very early cases or those in which convalescence was reasonably well established were considered suitable. The staffing and equipping of these two hospitals to deal with the influx imposed no light burden on the hospital authorities. In view of the shortage of trained nursing and other staff for even normal requirements, appeals for outside help had to be launched. These were extremely well responded to. Those who volunteered for service at Kaikoura were boarded out at two of the local hotels. Consideration was given to opening an emergency hospital in one or other of the available buildings in Kaikoura. This scheme was abandoned on'the score of the general unsuitability of any of the buildings for the purpose intended. Inspection of Premises In addition to the Sanitary Inspector serving the township, a further Inspector was detailed to assist in the general supervision of the district. Advice was given to all households in which cases occurred as to post-disinfection and the measures of personal and general hygiene to be observed. A close watch was kept on all food premises. Particular attention was paid to nightsoil disposal and to the cleansing of pans. The nightsoil contractors, who obviously ran more than average risk of infection, were advised as to the precautions they should take. It is a matter of interest that no case occurred in either family. House-to-house Survey From the preliminary reports coming to hand and from the results of a small pilot survey it became obvious that there was a close association between the consumption of raw milk from the town supply and the incidence of cases. It was therefore decided to conduct a house-to-house survey taking in, as far as possible, all houses within the area served by the high-pressure water-supply. This area includes the whole of the Township of Kaikoura and a few outlying farms. The opportunity was taken of distributing to householders a cyclostyled sheet giving information on the cause of the disease, its method of spread, and advice on matters of isolation, personal hygiene, protection of food, methods of dealing with excreta, and the suppression of fly-breeding. Relevant pamphets issued by the Department were distributed at the same time. An interrogation form was designed to give as complete a sickness record as possible of all residents and visitors to Kaikoura during the time that the district was exposed to risk. This was considered to be from not earlier than the Ist of September. Information as to the

98

H—3l

source of milk supplied to each household was sought, together with details as to how, in what ways, and to what extent it was used by each individual member of the household. The survey served the following purposes :■ — (1) A follow up of visitors to Kaikoura and of residents temporarily absent who might possibly have been infected while there was made possible. Their names and present addresses were obtained and referred to the Sanitary or Health Inspector of the 'district in which they were now residing with a request they be kept under surveillance. Four cases came to notice in this way : two residents, both of whom developed typhoid very shortly after leaving there, and two visitors, both of whom were associated with households having multiple cases. No cases were reported among travellers. This is .-.rather remarkable in view of the hundreds who must have taken meals there during the period of infection. The disinclination of the New Zealand public to use milk as a beverage has probably a definite bearing on this matter. Among those residents of Kaikoura who habitually took raw milk in their tea the attack rate was 4-4 per cent. The risk attached to taking infected milk in one cup of tea is therefore not entirely negligible, even allowing for a slight sterilizing action in cases where the tea is really hot and the amount of milk added small by comparison. Tea-drinkers at the Railway refreshmentrooms could reasonably be expected to run even slighter risk, the common practice being to prepare the tea-milk mixture before the arrival of the train. A few minutes at a temperature approaching boiling-point would be sufficient to render even a heavily infected brew quite harmless. (2) Several sick people were found who had not yet requested medical attention. The names of these persons were given to the local doctor, and in several instances they proved to be early typhoid cases. By this means earlier hospitalization and treatment were obtained than otherwise might have been the case. (3) The opportunity was taken to check up on the general sanitary arrangements, •and steps were taken to have any defects remedied without delay. (4) A reasonably accurate estimate of the population of the township was obtained —its age and sex distribution and the occupation of those gainfully employed. This information could not otherwise have been obtained. The approximate location of each house investigated was marked on a plan. The houses have no street numbers ; in some streets a considerable distance separates adjacent houses and it was therefore not always possible to fix the position of a house -accurately without giving to it more time than the procedure warranted. Although strict accuracy is not claimed for the plan, it nevertheless serves the purpose for which it was intended. It shows the distribution of cases through the township ; their order •of occurrence ; whether one or more cases occurred in any one house ; the source of the milk-supply to each house, whether it was normally boiled or used raw ; and the water-supply reticulation. PART lII.—INVESTIGATION OF THE SOURCE OF THE EPIDEMIC Water-supply As previously noted, all samples taken from the supply prior to the epidemic had proved chemically and bacteriologically satisfactory. At the time of the preliminary investigation on 17th and 18th October the County Engineer was questioned as to recent work done on any portion of the supply system. His information was that the intake had last been inspected on the 20th September, 1947, and prior to that at approximately monthly intervals. The same staff had been employed on this job as for some years past. They were reliable workmen, none of them had had any recent illness, and the possibility of them having infected the supply was considered negligible.

99

H—3l

The reservoir had been drained and cleaned out last on 7th October, 1947. For this purpose additional temporary staff had been employed. New gum boots had been used and the work had been done under supervision. The date of cleaning was toolate to account for a considerable number of the early cases. . In view of this and the other relevant facts, it was considered reasonable to rule out the cleaning of the reservoir as a possible source of infection. A leak in a branch main had occurred some fourmonths previously. The site of the leak was inspected. It was well away from any drain and no possibility of contamination of the water-supply having occurred through the defect at this point appeared at all possible. Taking all the facts into consideration,, therefore, while the water-supply could not completely and absolutely at that time be exonerated as a possible vehicle, the possibility of it having any causal relationship to the epidemic was considered most unlikely. Subsequent sampling revealed transient contaminations of the supply with coliform organisms of fsecal type. On each occasion that such a contamination occurred a leak in the main was detected at some point or other in its passage through the low-lying plain to the north of the town. With the repair of the leaks the contamination subsided. Although under these conditions chlorination of the supply was considered advisable, no means could be found to do this as an emergency measure. The plain above referred to is a well-stocked grazing area and the probability is that the contamination noted was of animal and not of human origin. The fact that no cases occurred which could only be satisfactorily accounted for if the water-supply system were a source of infection substantiates this view. Milk-supply There remained the town milk-supply to be considered. The local vendor is also* a producer. Until Ist September, 1947, milk had been produced at a dairy some twoto three miles north of Kaikoura. Water for this dairy was supplied from a well. On that date milking had been discontinued at this dairy, and from then on a newly built dairy a mile or so nearer the township was used. Apart from this change of location,, no other significant alteration had been made and no staff changes had occurred during the past twelve months. The milking was done by the producer himself with the assistance of a male employee. Another employee normally acted as roundsman but took no part in the milking. The roundsman had been on sick-leave from the 30th September to Bth October. He complained of general aches and pains and a sore throatDuring his period of leave the milking hand had acted as roundsman and a relative of the producer's had assisted with the milking. Similar arrangements had been made several times in the past. The temporary hand had no history of a recent illness and had not had typhoid or any illness resembling it. The roundsman had served in the Middle East and had been hospitalized in Egypt at or about the same time that New Zealand troops then stationed there suffered a considerable epidemic of typhoid fever.. On the score of his recent illness and the possibility of his having had typhoid in the Middle East, the producer agreed temporarily not to engage the roundsman on any work: having to do with the production or distribution of milk. After two series of specimens of blood, stools, and urine from the roundsman had been examined with negative resultsand a report received from Army Base Records that he had not had typhoid while in the Army, he was allowed to resume duty. The new dairy shed was situated immediately

100

H—3l

adjacent to the banks of a stream. Water was pumped from this stream by a powerful electric pump and was used for all general purposes of the dairy —that is, flushing the yard and cowbails, filling the cooling-trough, rinsing of cans, &c. ; in fact, all purposes other than as the water-supply for the cooler. Water for the cooler was obtained from a spring some 100 yards distant from the dairy. The spring rises close to the bank of the stream but several feet above its normal water-level and discharges into it. A sample of water taken from this spring showed it to be of a high degree of bacterial purity, no coliform organisms being found in 100 c.c. quantities. The stream from which the water was drawn drains a considerable watershed largely given over to the grazing of dairy stock. It was ascertained that a number of farms lay 011 the watershed and that the last notified case of typhoid lived at one of them. An inspection of the surroundings of this farm showed that a drainage ditch ran along a fence-line past the house at a distance of 20 ft. or so. Household waste water was discharged to this ditch, without treatment, by an open drain! The only sanitary convenience was a pan privy situated immediately beside the ditch. Evidence of recent burial of the contents of the privy along the fence-line and a matter of only 1 ft. to 2 ft. from the ditch was evident. The course of the ditch was traced, when it was found to run into the stream which passed the dairy some distance above it. The total distance from the farm to the dairy was estimated at from three-quarters to one mile. Other farms were visited from which drainage could find its way to the stream now under suspicion. Pigsties were found the contents of which were being discharged directly into one or other of the tributary streams, and over one of them the farm privy had been built. The conditions found in the St. Marylebone outbreak of milk-borne enteric fever in 1873, described by the Medical officer to the Privy Council with an artistry to which I cannot aspire, were found duplicated almost exactly in New Zealand three-quarters of a century later. Direct visual evidence was now to hand that the water used in the dairy was subject to gross pollution with both human and animal excrement. Whether the epidemic was typhoid or not, whether any faecal material reaching the stream directly or indirectly was from typhoid carriers or not, the potential danger of this situation was such as absolutely to condemn this stream as a source of water-supply. The producer was accordingly requested to discontinue using , water from the stream for any purpose whatsoever connected with the dairy. The pump was forthwith disconnected, and from then on only water from the spring was used in the dairy. This caused considerable inconvenience to the producer, as storage facilities for the spring water in course of erection were not yet completed and the flow of the spring was barely sufficient for all dairy purposes unless this storage was available. Subsequently a bacteriological examination of water from the stream was carried out. It was estimated to contain 7,000 E. coli per 100 ml., an indication of gross feecal pollution. The quantity of milk produced at the vendor's dairy during the winter and early spring was insufficient to meet the town's requirements. He therefore supplemented his own supply during these months by milk purchased from the Milk Marketing Division's plant at Blenheim. This Blenheim milk was bulked, cooled, and railed to Kaikoura in cans. It was vended loose in the same manner as the locally produced milk. At the time of the preliminary investigation (17th October) the vendor stated that the milk from Blenheim was pasteurized. It did not therefore come immediately under suspicion. On checking this point it was found not to have been so treated, and the matter had to be reconsidered. Since 110 cases of typhoid had been notified in any area other than Kaikoura served with Blenheim milk, it seemed reasonable to infer that this milk could not be incriminated as the source of infection. Later history confirmed this view ; the last delivery of Blenheim milk was made on 27th September, and it is obvious that a considerable number of cases were infected subsequent to that date.

5—H3l

101

H—Si

Tlie picture that presented itself by 23rd October was this : —- A typhoid outbreak confined to the area of the Kaikoura milk-supply commencing on 22nd September with 1 case and increasing thereafter considerably in severity. A change in the location of the dairy at which the suspected milk was produced on Ist September. At the new dairy, water had been used from Ist September until 17th October from a source that was shown to be polluted directly by human fsecal matter by the occupants of one farm house and capable of being indirectly polluted in a similar manner by the occupants of a second, one of whom was known to have had typhoid recently. To complete the picture and demonstrate the full sequence of events it would be necessary to show — (a) That the association between cases of the disease and the suspected milk-supply was so close that no mode of infection other than the consumption of this milk could satisfactorily account for the outbreak. (&) That the water used in the dairy was infected with typhoid organisms. (c) That one or more persons capable of infecting the water-supply to the dairy were typhoid carriers. It was, among other objectives, to determine the relationship of cases to the milksupply that the house-to-house survey was undertaken. Data was obtained regarding 266 households comprising 1,240 persons. Of these, 209 regularly drank the suspected milk raw as a beverage and 56 of them contracted typhoid, giving an attack rate of 27 per cent. A further 386 used the raw milk only in tea or on porridge, puddings, fruit, &c. The risk run by using milk only in this manner, assuming it to be infected, may reasonably be anticipated to be less than if used as a beverage, in that the average per capita consumption would be lower and the chance of getting an infective dose proportionately less. In this group 17 cases of typhoid were reported—that is, 4J per cent, were attacked. A further 293 people used the suspected milk in one manner or another, but stated that, as a routine, the milk was boiled before use. Of these only 2 contracted typhoid ; the attack rate in this group is therefore less than 1 per cent. These two cases, Nos. 42 and 9, present some interesting features. Case 42's family obtained their milk regularly from the suspected supply. Their usual practice was to scald it before use, but on 11th and 18th October this was not done. The patient was able to pin-point these dates by reference to Saturday evening visits to the cinema. Milk was delivered to his house in the evenings, and on the occasions in question it was delivered later than usual and in consequence the normal routine was not carried out. He developed typhoid on 21st October. Case 9is a child. The mother's statement was that his milk was always boiled, but that used by the remaining two members of the family was not so treated. It is possible, therefore, since raw milk was available, that he may have been given it on one or more occasions. Among those not taking milk from the suspect supply, 352 persons in all, there were 3 cases, giving an attack rate of less than 1 per cent. Of these 3, one (No. 77) was a nurse at the hospital who had been nursing typhoid patients from the beginning of the epidemic. She did not contract typhoid until 21st November —that is, only after she had been exposed to the risk of secondary infection for some weeks. It is reasonable to assume in her case that the infection was contracted in this way. She was the only case notified from among the total staff of the hospital. The permanent staff numbered approximately 50 and during the epidemic they were considerably reinforced by voluntary helpers. The second case (No. 59) lived outside Kaikoura, but on 11th and 13th October visited a Kaikoura family and had meals with them. This family obtained their milk from the suspect supply, did not boil it, and several members of the family contracted typhoid.

102

H—3l

The onset of two of the cases was prior to the visit in question, both were still at home, and one of them was almost certainly infectious. One cannot, therefore, in this case be certain whether the infection was of primary or secondary type. The third case in this group (No. 63) arrived in Kaikoura on 4th November. The date of onset of illness was given as Ist November. She could not therefore have been infected in Kaikoura. A Widal test was done on 9th November : a titre of 1/60 for TH was obtained, all other titres being negative. On 15th November the test was repeated with completely negative results. No further positive test was obtained until clearance tests were undertaken prior to discharge, when one positive stool culture resulted. Clinically she was a doubtful case. To sum up : among 888 people living in households supplied with the milk under suspicion, 75 cases occurred ; among 352 people not regularly receiving this milk, only 3 cases were notified. Of these 3 cases, one was almost certainly secondarily infected ; one case was doubtful, and even if suffering from typhoid, contracted the disease away from Kaikoura ; the third may be a secondary case, although the possibility of infection from the milk-supply cannot be definitely excluded. All but 5 of the households investigated obtained their water from the town supply. Two of the houses had chemical closets, 104 had septic tanks, either private or communal, and 160 had pan privies. Of the 59 houses at which cases occurred, 27 had septic tanks and 32 had pan privies. It is contended that it is a reasonable deduction from these facts that the town milk-supply was the vehicle of infection. Previously it has been shown that the most probable way in which the milk became infected was by the use, after Ist September, of water from a stream highly polluted with faecal matter, a portion of which was of human origin. The persons engaged in the production and distribution of the milk had not changed for more than twelve months prior to the outbreak and none of them had during that period any illness suggestive of typhoid. One of them (the roundsman) came temporarily under suspicion as a possiblesource of infection on account of his medical history while with the Armed Forces. This suspicion, on subsequently checking with Base Records, was seen to be without foundation. Further, a specimen of blood taken from him on 19th October showed no H or 0 agglutinations against S. typhi, S. paratyphi A, or S. paratyphi B. No organisms of the typhoid-paratyphoid group were isolated from stool and urine specimens. Several samples of water taken from the stream itself and from a tributary to it between the dairy and the suspected points of pollution were examined by cultural methods without S. typhi being isolated from any of them. Two series of specimens of fasces and urine from the only known prior case of typhoid in the district were also culturally examined with negative results. As previously stated, nightsoil from the house in which he lived was disposed of in such a manner that pollution of a drainage ditch which emptied into the main stream above the dairy could easily have occurred. Further specimens were not obtainable. The source of infection in this case had never been traced. No member of the family had been abroad ; all gave a completely negative history of any typhoid-like illness ; the patient had never been away from the district. Composite specimens from the common privy on the farm were examined culturally, but no S. typhi were isolated. It is fully recognized that the relatively small number of negative cultural tests made does not constitute proof of the absence of the carrier state. The use of the Yi agglutination test would have been invaluable, but unfortunately no Yi antigen was

103

H—3l

available in New Zealand. Its use would have permitted a rapid screening of possible carriers with subsequent intensive investigation of positive reactors. By so doing the time of both field and laboratory staff could have been economized and used to better advantage. To sum up : a case has been stated implicating the milk-supply as the means by which those contracting typhoid fever became infected. Evidence is given which strongly suggests that the milk became infected through the use in the dairy of a highly polluted water-supply. Proof is lacking that the polluted water-supply was infected with S. typhi or that any of the persons whose excreta directly or indirectly polluted it were in fact carriers of S. typhi, but one of them is known to have had typhoid some 10 months before the outbreak occurred. PART IV.—EPIDEMIOLOGY Distribution of Cases Age and Sex Incidence. —The age and sex incidence of cases and deaths is shown in the following table :

The absence of any cases in children under the age of 2 years indicates that either they were immune or were in general not exposed to infection. Earlier epidemics do not support the hypothesis of natural immunity in this age group. Evidence collected in the house-to-house survey points to the latter explanation as the more probable one. The highest attack rate occurred in the 2-10 year age group, and it is in this group that the highest proportion of milk-drinkers was found. Although in a number of age groups the incidence in males is somewhat higher than'in females, the number of cases in any group is so small that the difference is not significant. Taking all males and all females together, the attack rate is the same in both sexes. Mortality.—Three deaths occurred in 78 cases, a mortality rate of 3-8 per cent. All were adult males. Though it is impossible to draw hard-and-fast conclusions from so small a number of cases, it does appear that after adolescence the risk of contracting the disease in an epidemic of this nature diminishes but the probability of a fatal termination is greater. Previous epidemics have shown a similar trend.

104

Males. Females. Both Sexes. Age Group. Attack Attack Attack Deaths. Persons. Cases. Rate Per Persons. Cases. Bate Per Persons. Cases. Kate Per 1,000. 1,000. 1,000. 0-2 .. 45 0 0 44 0 0 89 0 0 -5 .. 46 8 174 48 6 125 94 14 149 -10.. 79 14 177 79 9 114 158 23 145 -15.. 74 4 54 45 3 69 119 7 59 -20.. 31 1 32 52 4 77 83 5 60 -30.. 69 3 43 82 6 73 151 9 59 1 (M.) -40.. 100 6 60 114 • 6 53 214 12 56 1 (M.) -50.. 92 1 11 62 3 48 154 4 26 1 (M.) 50- .. 99 3 30 79 1 12 178 4 22 All ages . 635 40 63 605 38 63 1,240 78 63

H—3l

Location of Cases.—The earlier cases came mostly from one area. Later the majority of cases came from other situations in the township. Mention has been made of the fact that a proportion of the milk was imported from Blenheim and reasons given for the opinion that it conld not have been the vehicle of infection. An attempt was made to correlate the relative distribution of locally produced and imported milk with the distribution of cases. In view of the irregularity of the imported supply and the variation in demand, it was found to be impossible for any given period to be certain what milk was being delivered to any particular locality. No relationship could be established between the type of sanitary service provided and the incidence of cases. Typhoid cases occurred in 59 premises, of which 27 had septic tanks and 32 had pan privies. Multiple Cases in One House.—There were a greater number of cases than the number of houses affected, due to a number of houses having more than one case. The following table shows the number of cases per house :

Cases occurring among visitors to Kaikoura and among residents temporarily absent from the town, details of which are given in the report, have been allocated to the house at which infection is considered to have occurred. Incubation Period To determine the incubation of any disease with exactitude it is necessary to know both the day when infection occurs and the day when the patient first becomes ill. The latter in typhoid is notoriously difficult to fix in view of its usual insidious onset. In this respect the Kaikoura outbreak was no exception to the general rule. In 3 cases — Nos. 42, 59, and 74 —the date.of infection can be determined within narrow limits. Details of the first two cases have already been given. The incubation period in case 42 could be either 10 days or 3 days ; the former is the most probable one. Case 59 could have been infected only on 11th or 13th October ; he became ill on 30th October, which gives an incubation period of 19 or 17 days. Case 74 visited his home in Kaikoura during the week-end of 25th to 27th October and reported sick on 10th November. The incubation period in this case lies between 16 and 14 days. If it be accepted that the milk-supply was not infected prior to Ist September, the first case to occur had a maximum incubation period of 21 days. It is commonly accepted that the incubation period is usually 10-14 days, but that it may be as short as sor as long as 21. All the above fall within the accepted limits. School Closure A determined effort was made both by the headmaster of the local school and the School Committee to have the school closed. No valid reason could be found for such a course of action, and the sanction was withheld. Many parents nevertheless kept

105

Number of Cases in House. Number of Houses. Number of Cases. 1 2 3 4 5 47 8 2 1 1 47 16 6 4 5 Total 59 78

H—3l

their children at home and the school during the early weeks of the outbreak recorded a very considerably reduced attendance. The nominal school roll is 289, of whom some 80 come in daily from country areas outside the town. These country children normally bring their own lunches to school ; no single case of typhoid occurred among them. Prophylactic Inoculation The question of mass inoculation inevitably came up for consideration. In view of the fact that there could be little doubt as to the origin of the epidemic even at an early stage and that satisfactory measures had already been taken to obviate any further possibility of an infection from this source, it was decided that no real case existed for such a measure. The pros and cons of the case for mass immunization is well set out in the following extract from " Control of Common Fevers " (1942), p. 233 : The question remains whether prophylactic vaccination has any part to play in the control of an actual outbreak of the disease (enteric). If the vehicle of infection—water, milk, or food —has been found and stopped, it seems clear that vaccination would be too late to protect those in the incubation stage and unnecessary for those who have escaped infection. Household contacts of known cases will be in the same position, with a few exceptions. Contacts of people who are still in the incubation stage obviously cannot be known beforehand and will ordinarily form so small a proportion of the total population in the affected district that mass immunization of that population, so as to include them, would rarely be justified. An outbreak continuing without discoverable source is not likely to arise in this country ; it would, however, be equivalent to a state of high endemic incidence of enteric fever and might similarly require mass immunization as a protection pending the removal of the sanitary defects responsible. If the foregoing propositions be accepted, the only justification for immunization is continued exposure to infection. The only persons coming into this category were the nursing and domestic staff' of the hospital. It was therefore recommended that those already on duty and liable to infection be immunized in batches as quickly as possible and that the emergency voluntary staff be given prophylactic inoculations before taking up duty. Value of T.A.B. Inoculations Only two persons developed typhoid who had been inoculated. One was a member of the R.N.Z.A.F., the other a nurse at the hospital. Case 74 was inoculated on the sth and 12th September and became ill on the 10th November. This case was one of only three that ended fatally. He was admitted to hospital on the day of onset and on this score should have had an excellent chance of recovery. The other two fatal cases were admitted later in the disease, case 5 on the twenty-sixth day after onset and case 13 on the fourteenth day. Both were much older men than case 74 and only succumbed after a long struggle, death taking place on the fifty-first and fifty-fifth day of sickness respectively, whereas case 74 died on the twenty-third day of illness. Case 77 was inoculated on 4th and 11th November and became sick on 21st November. It is probable that she became infected prior to the second immunizing dose and therefore before the fullest immunity that the vaccine was capable of conferring had been developed. Conditions fob Discharge from Hospital The hospital authorities were requested to adhere to the period of isolation and criteria for discharge set out in the Health (Infectious and Notifiable Diseases) Regulations 1948 (4), which, though at the time not in force, were available in draft form. All but one —that is, 77 of the 78 cases —-have been discharged as non-infectious. The remaining case has so far failed to obtain the necessary clearance and is still in hospital. He states that this is the second time he has had typhoid, the first occasion being while he was on active service during the Boer War.

106

H—3l

PART Y. —MISCELLANEOUS NOTES From the time-table analysis the following facts emerge which it is considered are worth recording (see Appendix No. IX). Delay in Calling the Doctor Data on this score is available in 59 cases. This is set out in the following table :

It will be noted that subsequent to '23 rd September, on which day the public were informed of the nature of the outbreak and were advised to seek medical advice early in all cases of sickness, the delay fell from 7to 3 days on the average. This may be construed to indicate that attempts to educate the public on matters of health does occasionally pay some dividends. The fact that 34 patients ill with typhoid waited on the average 7 days before calling in medical aid is hardly in accordance with the often made statement that the present system of medical service in New Zealand results in patients calling the doctor unnecessarily. Delay in Notification and Admission The average delay between the first visit to the doctor and notification for 59 cases is 7-36 days. The delay in the early part of the epidemic was in excess of this figure and made it extremely difficult to assess the probable requirement of hospital beds. This figure had to be twice revised upwards. Over the same 59 cases the delay from first visit of the doctor to admission to hospital was 944 days. The average number of visits paid each patient during this period was 7-4. Over the whole 78 cases the average delay between onset and admission is 13-7 days, the extremes being 0 and 59. Eighteen had a delay of 20 days or more. Of the 78 patients, 25 were notified before admission with an average delay of 7-8 days between the two events, 38 were notified on admission, and 15 after being admitted with an average delay of 1-9 days. Of 7 capitation patients included in the above list, 6 were notified on admission and 1 admitted the day after notification. The number of visits paid these patients prior to notification is not known. The date of notification has been taken as the date on which the notification was signed, not the day on which it was received. Some cases were notified by the general practitioner attending the case, others by the hospital authorities, some by both. The earliest notification received has been taken in all cases. Duration of Illness As to the Ist April, 1948, 77 of the 78 patients had been discharged. The average stay in hospital was 45-8 days. The average period from date of onset to the day of discharge from hospital was 60 days. It is known that the discharge of some patients was delayed on account of their becoming temporary carriers.

107

— Days of Delay. All Oases. 1 | Before 23rd October, 1947. After 23rd October, 1947. Number of cases Total delay Average delay per case 59 318 5-39 34 241 7-09 25 77 3-08

H—3l

SUMMARY The general features of Kaikoura have been described. An account of an outbreak of typhoid fever in Kaikoura during September, October, and November, 1947, with 78 cases and 3 deaths, has been set out in some detail. Evidence has been given which it is considered indicates that the local milk-supply was the most probable means by which infection was spread. Pasteurization of the milk-supply was introduced, and the outbreak quickly thereafter came to an end. It has been shown that the milk most probably became infected by way of the watersupply used in the dairy. It has been further shown that direct and indirect human faecal pollution of the supply was taking place. Cultural tests undertaken to determine whether the supply was specifically contaminated with S. typhi proved negative. One of the persons by whom the supply could have been contaminated indirectly was an ex typhoid case.

Approximate Cost of Paper. —Preparation, not given; printing (1758 copies), £315

By Authority: E. V. Paul, Government Printer, Wellington.—l94B.

Price 2s.]

108

This report text was automatically generated and may include errors. View the full page to see report in its original form.I whakaputaina aunoatia ēnei kuputuhi pūrongo, e kitea ai pea ētahi hapa i roto. Tirohia te whārangi katoa kia kitea te āhuatanga taketake o te pūro go.
Permanent link to this item
Hononga pūmau ki tēnei tūemi

https://paperspast.natlib.govt.nz/parliamentary/AJHR1948-I.2.4.2.41/3

Bibliographic details
Ngā taipitopito pukapuka

DEPARTMENT OF HEALTH ANNUAL REPORT OF THE DIRECTOR-GENERAL OF HEALTH, Appendix to the Journals of the House of Representatives, 1948 Session I, H-31

Word count
Tapeke kupu
49,001

DEPARTMENT OF HEALTH ANNUAL REPORT OF THE DIRECTOR-GENERAL OF HEALTH Appendix to the Journals of the House of Representatives, 1948 Session I, H-31

DEPARTMENT OF HEALTH ANNUAL REPORT OF THE DIRECTOR-GENERAL OF HEALTH Appendix to the Journals of the House of Representatives, 1948 Session I, H-31

Log in or create a Papers Past website account

Use your Papers Past website account to correct newspaper text.

By creating and using this account you agree to our terms of use.

Log in with RealMe®

If you’ve used a RealMe login somewhere else, you can use it here too. If you don’t already have a username and password, just click Log in and you can choose to create one.


Log in again to continue your work

Your session has expired.

Log in again with RealMe®


Alert