Page image
Page image

B.—No. 4.

17

MELBOURNE POSTAL CONFERENCE.

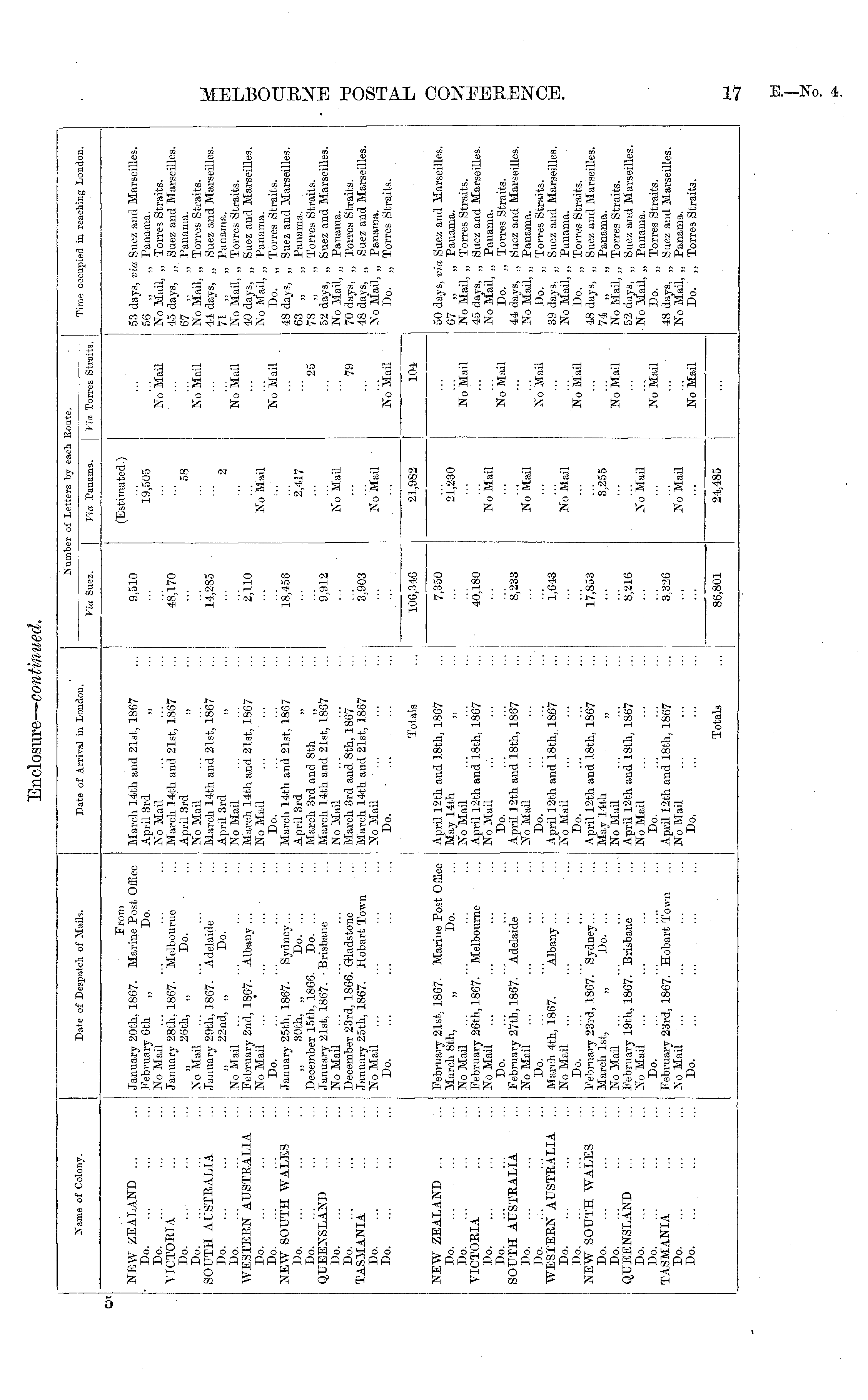
Enclosure — con t'mued. Name of Colony. Date of Despatch of Mails. Date of Arrival in London. Number of Letters by each Route. Route. Via Torres Straits. Time occupied in reaching London. Via Suez. Via Panama. NEW ZEALAND ... Do. Do. VICTORIA Do Do. SOUTH AUSTRALIA Do Do. WESTERN AUSTRALIA Do. Do. NEW SOUTH WALES Do Do. QUEENSLAND Do Do TASMANIA Do Do From January 20th, 1867. Marine Post Office February 6th ,, Do. NoMail* ... January 28th, 1867. Melbourne 26th, „ Do. • ... NoMail ... January 29th, 1867. Adelaide „ * 22nd, „ Do. NoMail ... February 2nd, 1867. Albany... No Mail Do. ... January 25th, 1867. Sydney... „ 30th, „ Do."... December 15th, 1866. Do. ... January 21st, 1867. -Brisbane NoMail ... December 23rd, 1866. Gladstone January 25th, 1867. Hobart Town NoMail Do March 14th and 21st, 1867 April 3rd ,, NoMail March 14th and 21st, 1867 April 3rd NoMail March 14th and 21st, 1867 April 3rd NoMail March 14th and 21st, 1867 NoMail Do. March 14th and 21st, 1867 April 3rd March 3rd and 8th March 14th and 21st, 1867 No-Mail March 3rd and 8th, 1867 March 14th and 21st, 1867 NoMail Do. 9,510 48,170 14,285 2,110 (Estimated.) 19,505 58 2 No Mail NoMail NoMail NoMail NoMail 53 days, via Suez and Marseilles. 56 ,, ,, Panama. No Mail, ,, Torres Straits. 45 days, „ Suez and Marseilles. 67 ., „ Panama. No Mail, „ Torres Straits. 44 clays, „ Suez and Marseilles. 71 ,, „ Panama. No Mail, „ Torres Straits. 40 days, „ Suez and Marseilles. No Mail, ,, Panama. Do. „ Torres Straits. 48 days, „ Suez and Marseilles. 63 „ ,, Panama. 78 „ „ Torres Straits. 52 days, „ Suez and Marseilles. No Mail, „ Panama. 70 days, ,, Torres Straits. 48 days, „ Suez and Marseilles. No Mail, ,, Panama. Do. „ Torres Straits. 18,456 2,417 9,912 '" 25 No Mail 3,903 79 NoMail No Mail NEW ZEALAND ... Do Do VICTORIA Do Do. SOUTH AUSTRALIA Do. Do. WESTERN AUSTRALIA Do Do. NEW SOUTH WALES Do Do. QUEENSLAND Do. Do. TASMANIA Do. Do February 21st, 1867. Marine Post Office March 8th, „ Do. NoMail ... February 26th, 1867. Melbourne No Mail Do. February 27th, 1867. Adelaide NoMail ... Do March 4th, 1867. Albany ... NoMail ... Do February 23rd, 1867. Sydney... March 1st, „ Do. ... NoMail February 19th, 1867. Brisbane NoMail ... Do February 23rd, 1867. Hobart Town ... So Mail ... Do Totals 106,318 21,982 101 April 12th and 18th, 1867 May 14th NoMail April 12th and 18th, 1867 No Mail Do. April 12th and 18th, 1867 NoMail Do. April 12th and 18th, 1867 NoMail Do. April 12th and 18th, 1867 May 14th „ NoMail April 12th and 18th, 1867 NoMail Do. April 12th and 18th, 1867 No Mail Do. 7,350 40,180 8,233 1,643 21,230 No Mail NoMail NoMail NoMail NoMail NoMail 50 days, via Suez and Marseilles. 67 ,, „ Panama. No Mail, ,, Torres Straits. 45 days, „ Suez and Marseilles. No Mail, „ Panama. Do. „ Torres Straits. 44 days, ,, Suez and Marseilles. No Mail, „ Panama. Do. ,, Torres Straits. 39 days, „ Suez and Marseilles. No Mail, ,, Panama. Do. ,, Torres Straits. 48 days, ,, Suez and Marseilles. 74 „ ,, Panama. No Mail, „ Torres Straits. 52 days, „ Suez and Marseilles. No Mail, „ Panama. Do. ,, Torres Straits. 48 days, „ Suez and Marseilles. No Mail, ,, Panama. Do. ,, Torres Straits. NoMail 17,853 3,255 NoMail 8,216 NoMail 3,326 NoMail NoMail No Mail Totals 86,801 24,485

Log in or create a Papers Past website account

Use your Papers Past website account to correct newspaper text.

By creating and using this account you agree to our terms of use.

Log in with RealMe®

If you’ve used a RealMe login somewhere else, you can use it here too. If you don’t already have a username and password, just click Log in and you can choose to create one.


Log in again to continue your work

Your session has expired.

Log in again with RealMe®


Alert