Page image
Page image

7

P.—l

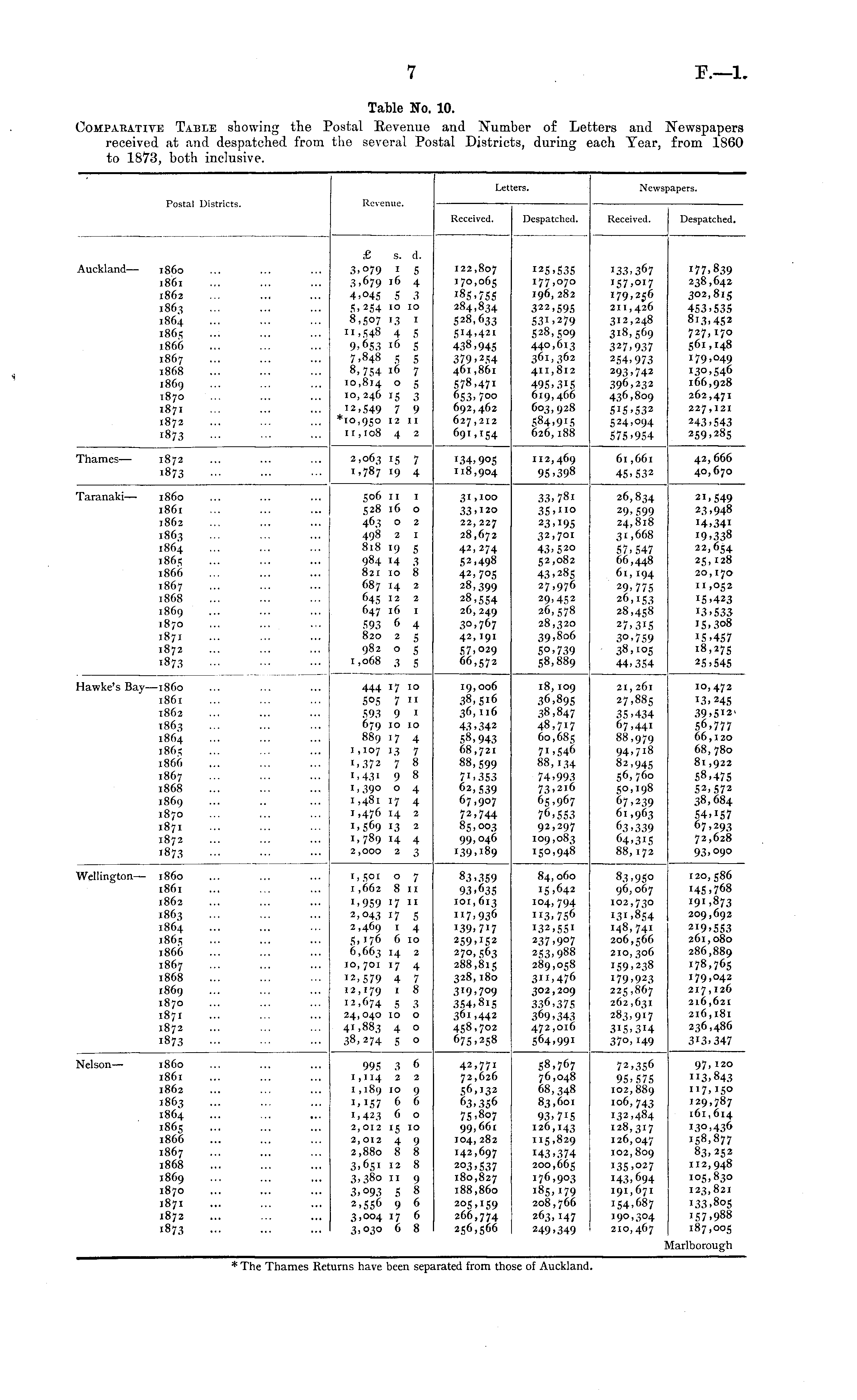
Table No. 10. COMPARATIBE TABLE showing the Postal Revenue and Number of Letters and Newspapers received at and despatched from the several Postal Districts, during each Year, from 1860 to 1873, both inclusive.

Letl ters. Newspapers. Postal Districts. Revenue. Received. Despatched. Received. Despatched. — i860 1861 1862 1863 1864 1865 1866 1867 1868 1869 1870 1871 1872 1873 £ s. d. 3-O79 I 5 3,679 16 4 4,045 5 3 5,254 10 10 8,507 13 1 11.548 4 5 9,653 16 5 7,848 5 5 8,754 16 7 10,814 o 5 10,246 15 3 12.549 7 9 *i 0,950 12 11 11,108 4 2 122,807 170,065 185,755 284,834 528,633 514,421 438,945 379,254 461,861 578,471 653,7oo 692,462 627,212 691,154 125,535 177,070 196,282 322,595 531,279 528,509 440,613 361,362 411,812 495,315 619,466 603,928 584,9!5 626,188 133,367 I57,oi7 179,256 211,426 312,248 318,569 327,937 254,973 293>742 396,232 436,809 515-532 524,094 575'954 '77,839 238,642 302,815 453,535 813,452 727,170 561,148 179,049 130,546 166,928 262,471 227,121 243,543 259,285 'names — 1872 1873 2,063 15 7 1,787 19 4 134,905 118,904 112,469 95,398 61,661 45,532 42,666 40,670 'aranaki— i860 1861 1862 1863 1864 1865 1866 1867 1868 1869 1870 1871 1872 1873 506 11 1 528 16 o 463 O 2 498 2 I 818 19 5 984 14 3 821 10 8 687 14 2 645 12 2 647 16 1 593 6 4 820 2 s 982 o 5 1,068 3 5 31,IOO 33-I2O 22,227 28,672 42,274 52,498 42,705 28,399 28,554 26, 249 30,767 42,191 57,O29 66,572 33,78i 35>i 10 23,195 32,701 43,52O 52,082 43,285 27,976 29,452 26,578 28,320 39,8o6 5o,739 58,889 26,834 29,599 24,818 31,668 57,547 66,448 61,194 29,775 26,153 28,458 27,315 3o,759 • 38,105 44,354 21,549 23,948 I4,34i 19,338 22,654 25,128 20,170 11,052 15,423 13,533 15,308 15,457 18,275 25,545 lawke's Bay—1860 1861 1862 1863 1864 186s 1866 1867 1868 1869 1870 1871 1872 1873 444 17 10 5°5 7 » 593 9 1 679 10 10 889 17 4 1,107 13 7 i,372 7 8 1,431 9 8 1,390 o 4 1,481 17 4 1,476 14 2 1,569 13 2 1,789 14 4 2,000 2 3 19,006 38,516 36, n6 43,342 58,943 68,721 88,599 71,353 62,539 67,907 72,744 85,003 99,046 139,189 18,109 36,895 38,847 48,717 60,685 71,546 88,134 74,993 73,2i6 65,967 76,553 92,297 109,083 150,948 21, 26l 27,885 35-434 67,441 88,979 94,718 82,945 56,760 50,198 67,239 61,963 63,339 64,315 88,172 10,472 13,245 39,512' 56,777 66,120 68,780 81,922 58,475 52,572 38,684 54,157 67,293 72,628 93,090 'ellington —■ i860 1861 1862 1863 1864 1865 1866 1867 1868 1869 1870 1871 1872 1873 1,501 o 7 1.662 8 11 i,959 17 " 2,043 17 5 2,469 1 4 5,176 6 10 6.663 14 2 10,701 17 4 ",579 4 7 12,179 1 8 12,674 5 3 24,040 10 o 41,883 4 o 38,274 5 o 83,359 93,635 101,613 "7,936 139,717 259,152 270,563 288,815 328,180 319,709 354,815 361,442 458,702 675,258 84,060 15,642 104,794 H3,756 132,55" 237,9 O7 253,988 289,058 3",47 6 302,209 336,375 369,343 472,016 564,991 83,950 96,067 102,730 131,854 148,741 206,566 210,306 159-238 179,923 225,867 262,631 283,917 315,314 37o,149 120,586 145,768 209,692 3I9>553 261,080 286,889 178,765 179,042 217,126 216,621 216,181 236,486 313,347 felson — i860 1861 1862 1863 1864 1865 1866 1867 1868 1869 1870 1871 1872 1873 995 3 6 1,114 2 2 1,189 10 9 1,157 6 6 1,423 6 o 2,012 15 10 2,012 4 9 2,880 8 8 3,651 12 8 3,380 11 9 3,093 5 8 2,556 9 6 3,004 17 6 3,030 6 8 42,771 72,626 56,132 63,356 75>8o7 99,661 104,282 142,697 203,537 180,827 188,860 205,159 266,774 256,566 58,767 76,048 68,348 83,601 93,7m 126,143 115,829 i43>374 200,665 176,903 185,179 208,766 263,147 249,349 72,356 95,575 102,889 106,743 132,484 128,317 126,047 102,809 135,027 143,694 191,671 154,687 190,304 210,467 97, 120 "3,843 129,787 161,614 130,436 158,877 83,252 112,948 105,830 123,821 133,805 157,988 187,005 Marlborough * The Thames Returns have been se] >arated from those of Auckland.

Log in or create a Papers Past website account

Use your Papers Past website account to correct newspaper text.

By creating and using this account you agree to our terms of use.

Log in with RealMe®

If you’ve used a RealMe login somewhere else, you can use it here too. If you don’t already have a username and password, just click Log in and you can choose to create one.


Log in again to continue your work

Your session has expired.

Log in again with RealMe®


Alert