F.—l.
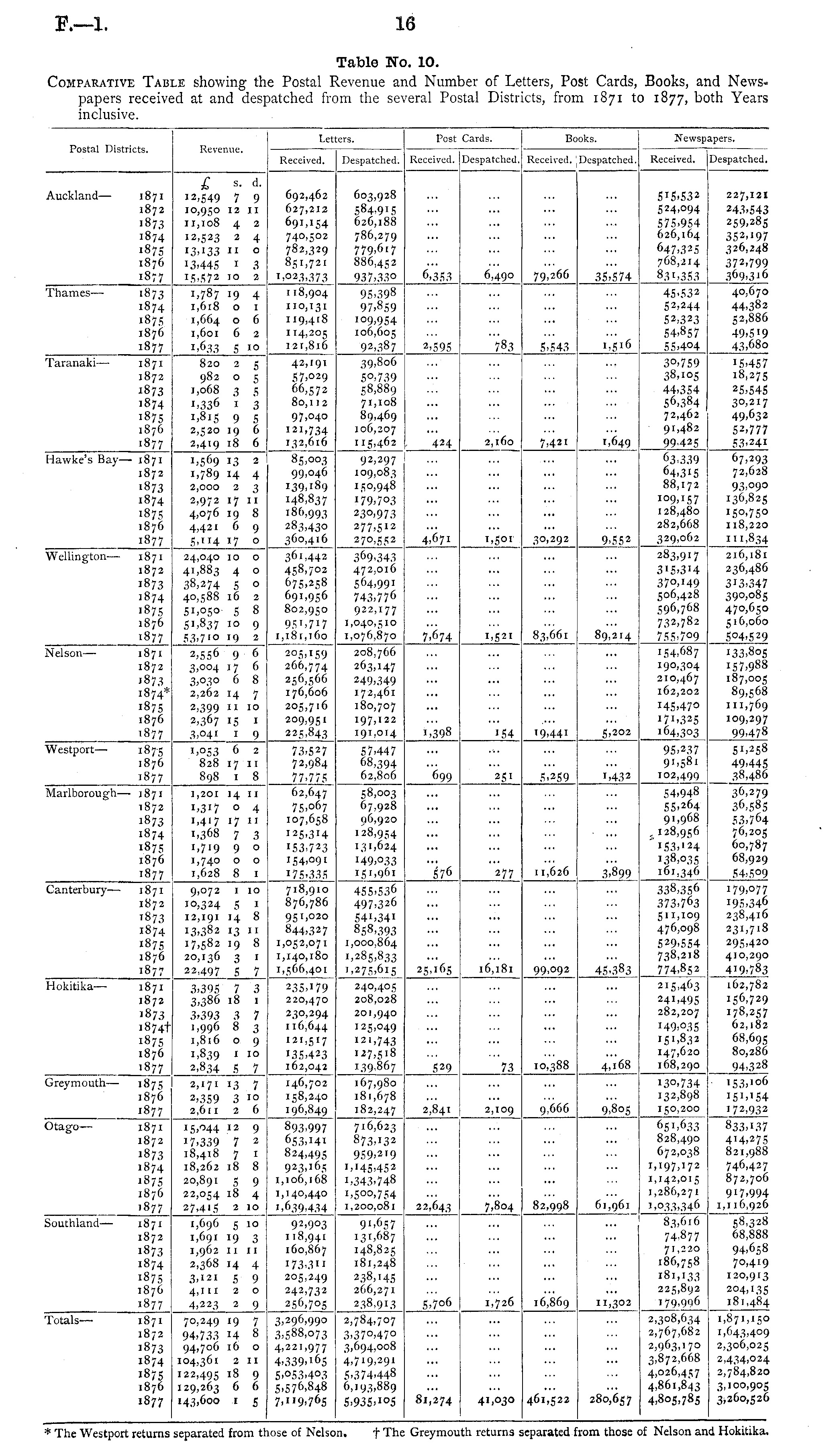
Table No. 10. COMPARATIVE TABLE showing the Postal Revenue and Number of Letters, Post Cards, Books, and Newspapers received at and despatched from the several Postal Districts, from 1871 to 1877, both Years inclusive.
* The Westport returns separated from those of Nelson. f The Greymouth returns separated from those of Nelson and Hokitika.
16
Letters. Post Cards. Books. Newspapers. Postal Districts. Revenue. Received. Despatched. Received. Despatched. Received. Despatched. Received. Despatched. Auckland —- 1871 1872 i873 1874 1875 1876 1877 £ s- d. 12.549 7 9 10,950 12 11 11,108 4 2 12,523 2 4 13,133 11 o 13.445 1 3 15.572 10 2 692,462 627,212 691,154 740,502 782,329 851,721 1.023,373 603,928 584,915 626,188 786,279 779,617 886,452 937.330 515,532 524.094 575,954 626,164 647,325 768,214 831,353 227,121 243,543 259,285 352,197 326,248 372,799 369,316 40,670 44.382 52,886 49,519 43,680 15.457 18,275 25,545 30,217 49,632 52,777 53.241 6,353 6,490 79,266 35,574 Thames — ■873 1874 187S 1876 i877 1,787 19 4 1,618 o 1 1,664 ° 6 1,601 6 2 1,633 S 10 118,904 11 o, 131 119,418 114,205 121,816 95,398 97,859 109,954 106,605 92,387 45.532 52,244 52,323 54,857 55,404 2,595 "783 5.543 1,516 Taranaki — 1871 1872 1873 1874 1875 1876 1877 820 2 5 982 o 5 1,068 3 5 i,336 1 3 i,8iS 9 5 2,520 19 6 2,419 18 6 42,191 57,029 66,572 80,112 97,040 121,734 132,616 39,806 So,739 58,889 71,108 89,469 106,207 115,462 30,759 38,105 44.354 56,384 72,462 91,482 99425 424 2,160 7,421 1,649 Hawke's Bay— 1871 1872 1873 1874 i875 1876 i877 1,569 13 2 1,789 14 4 2,000 2 3 2,972 17 11 4,076 19 8 4,421 6 9 5,114 17 o 85,003 99,046 139,189 148,837 186,993 283,430 360,416 92,297 109,083 150,948 179,703 2.,o,973 277,512 270,552 63,339 64,315 88,172 109,157 128,480 282,668 329,062 67,293 72,628 93,090 136,825 150,750 118,220 111,834 4.671 1,501 30,292 9.552 Wellington— 1871 1872 1873 1874 1875 1876 1877 24,040 10 o 41,883 4 o 38,274 s o 40,588 16 2 51,050 5 8 51,837 10 9 53,710 19 2 36i,442 458,702 675,258 691,956 802,950 951,717 1,181,160 369.343 472,016 564,991 743,776 922,177 1,040,510 1,076,870 7,674 1,521 83,661 89,214 283,917 315,314 370,149 506,428 596,768 732,782 75.5,709 216,181 236,486 313,347 390,085 470,650 516,060 504,529 133,805 157,988 187,005 89,568 111,769 109,297 99.478 Nelson — 1871 1872 1873 1874* 1875 1876 1877 2,556 9 6 3,004 17 6 3,030 6 8 2,262 14 7 2,399 11 10 2,367 15 1 3,04 1 1 9 205,159 266,774 256,566 176,606 205,716 209,951 225,843 208,766 263.147 249,349 172,461 180,707 197,122 191,014 154,687 190,304 210,467 162,202 145,470 i7i,325 164,303 1,398 154 19,441 5,202 Westport— 1875 1876 1877 1,053 6 2 828 17 11 898 1 8 73.527 72,984 77.775 57.447 68,394 62,806 699 5.259 1,432 95.237 91,581 102,499 51.258 49.445 38,486 251 Marlborough— 1871 1872 1873 1874 187S 1876 1877 1,201 14 11 1,317 o 4 1,417 17 11 1,368 7 3 1,719 9 o 1,740 o o 1,628 8 1 62,647 75,o67 107,658 125,314 153,723 154,091 175,335 58,003 67,928 96,920 128,954 131,624 149,033 151,961 54,948 55,264 91,968 128,956 153,124 138,035 161,346 36,279 36,585 53,764 76,205 60,787 68,929 54,509 576 277 11,626 3,899 Canterbury— 1871 1872 1873 1874 1875 1876 1877 9,072 1 10 10,324 s 1 12,191 14 8 13,382 13 11 17,582 19 8 20,136 3 1 22,497 5 7 718,910 876,786 951,020 844,327 1,052,071 1,140,180 1,566,401 455.536 497.326 541,341 858,393 1,000,864 1,285,833 1,275.615 338,356 373.763 511,109 476,098 529,554 738,218 174.8.52 179,077 195,346 238,416 231,718 295,420 410,290 419,783 162,782 156,729 178,257 62,182 68,695 80,286 94,328 25.165 16,181 99,092 45,383 Hokitika— 1871 1872 1873 i874t '875 1876 1877 3,395 7 3 3,386 18 i 3,393 3 7 1,996 8 3 1,816 o 9 1,839 1 10 2,834 5 7 235,179 220,470 230,294 116,644 121,517 i3S,423 162,042 240,405 208,028 201,940 125,049 i2i,743 127,518 139,867 215463 241,495 282,207 i49,o3S 151,832 147,620 168,290 529 73 10,388 4,168 Greymouth— i8?.( 1876 1877 2,171 13 7 2,359 3 10 2,611 2 6 146,702 158,240 196,849 167,980 181,678 182,247 2,841 2,109 9,666 9.805 i.,o,734 132,898 150,200 153,106 151,154 172,932 Otago— 1871 1872 1873 1874 1875 1876 '877 15,044 12 9 17,339 7 2 18,418 7 1 18,262 18 8 20,891 5 9 22,054 18 4 27,415 2 10 893.997 653.141 824,495 923,165 1,106,168 1,140,440 1,639,434 716,623 873,132 959,219 1,145,452 1,343,748 1,500,754 1,200,081 651,633 828,490 672,038 1,197,172 1,142,015 1,286,271 1,033,346 833,137 414,275 821,988 746,427 872,706 917,994 1,116,926 22,643 7,804 82,998 61,961 Southland— 1871 1872 1873 1874 1875 1876 1877 1,696 5 10 1,691 19 3 1,962 11 11 2,368 14 4 3>i2i s 9 4,111 2 o 4,223 2 9 92,903 118,941 160,867 173,3" 205,249 242,732 256,705 91,6.57 1 ,1,687 148,825 181,248 238,145 266,271 238,913 5.7° 6 1,726 16,869 11,302 83,616 74.877 71,220 186,758 181,133 225,892 179,996 58,328 68,888 94,658 70,419 120,913 204,135 181,484 1,871,150 1,643,409 2,306,025 2,434,024 2,784,820 3,100,905 3,260,526 Totals— 1871 1872 1873 1874 1875 1876 1877 70,249 19 7 94.733 14 8 94,706 16 o 104,361 2 11 122,495 18 9 129,263 6 6 143,600 1 5 3,296,990 3,588,073 4,221,977 4,339,l6S 5,053,403 5,576,848 7>II9,76S 2,784,707 3,37o,47o 3,694,008 4,719,291 .5,374,448 6,193,889 5,93S,ioS 2,308,634 2,767,682 2,963,170 3,872,668 4,026,457 4,861,843 4,805,785 81,274 41,030 461,522 280,657
Use your Papers Past website account to correct newspaper text.
By creating and using this account you agree to our terms of use.
Your session has expired.