Page image
Page image

H.—l4.

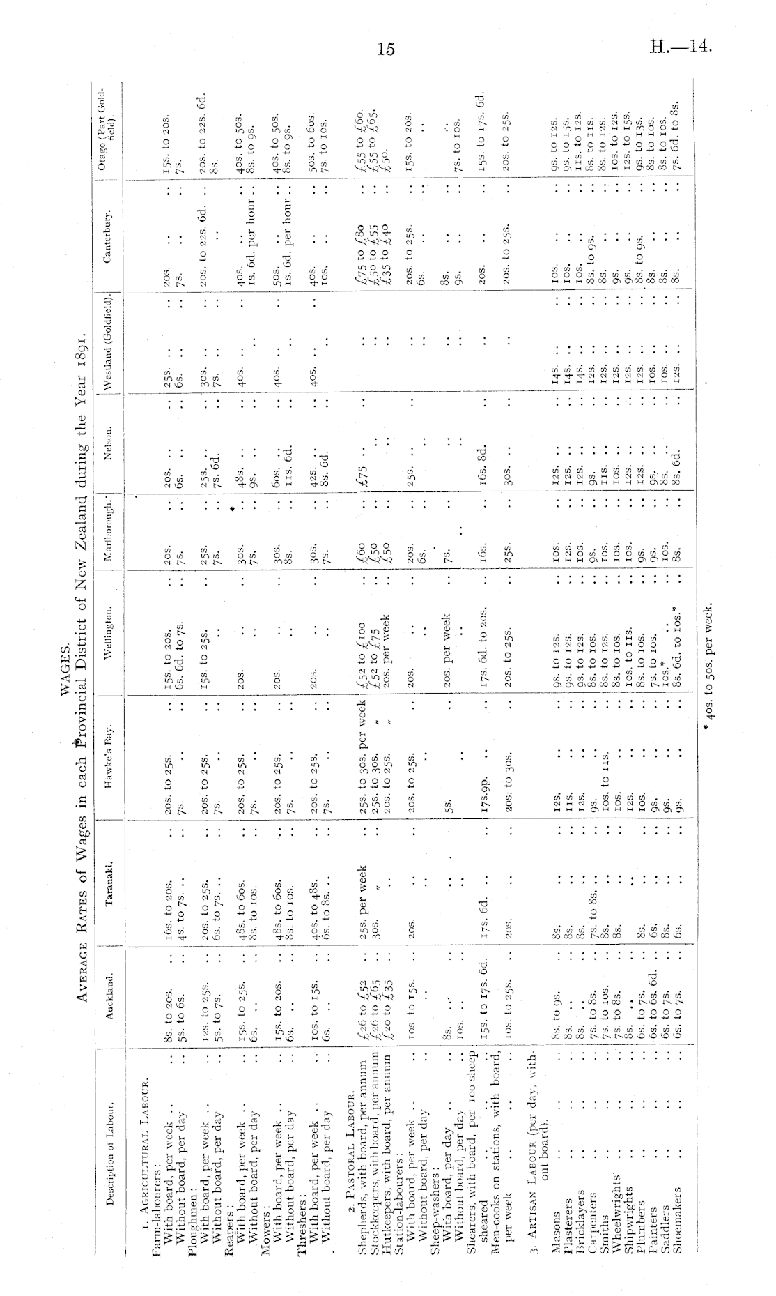
WAGES. Average Rates of Wages in each Provincial District of New Zealand during the Year 1891.

15

Description of Labour. Auckland. Taranaki. Hawke's Bay. Wellington. Marlborough "i Nelson. Westland (Goldfield). Canterbury. I Otago (Part Goldfield). i. Agricultural Labour. Farm-labourers : With board, per week Without board, per day Ploughmen : With board, per week .. Without board, per day Reapers : With board, per week Without board, per day Mowers : With board, per week Without board, per day Threshers : With board, per week Without board, per day 8s. to 20s. 5s. to 6s. I2S. tO 25S. 5s. to 7s. 15s. to 25s. 6s. .. 16s. to 20s. 4s. to 7s. .. 20s. to 25s. 6s. to 7s. .. 48s. to 60s. 8s. to ios. 2OS. to 25s. 7s. 20s. to 25s. 7s. 20s. to 25s. 7s. 15s. to 20s. 6s. 6d. to 7s. 15s. to 25s. 20s. 2OS. 7s. 25s. 7s. 30s. 7s. % 20s. . . 6s. .. 25s. .. 7s. 6d. 48s. .. gs. .. 2SS. .. 6s. .. 30s. .. 7S. .. 40s. .. 2OS. 7S. 20s. to 22s. 6d. .. 40s. is. 6d. per hour .. 15s. to 2OS. 7 s - 20s. to 22s. 6d. 8s. 40s, to 50s. 8s. to 9s. 15s. to 20s. 6s. .. 48s. to 60s. 8s. to ios. 20s. to 25s. 7s. 20s. 30s. 8s. 603. .. us. 6d. 40s. .. 50s. is. 6d. per hour .. 40s. to 50s. 8s. to 9s. los. to 15s. 6s. .. 40s. to 48s. 6s. to 8s. .. 20s. to 25s. 7s. 20s. 30s. 7 s - 42s. .. 8s. 6d. 40s. .. 40s. ios. 50s. to 60s. 7s. to ios. 2. Pastoral Labour. Shepherds, with board, per annum Stockkeepers, with board, per annum Hutkeepers, with board, per annum Station-labourers: With board, per week Without board, per day Sheep-washers : With board, per day Without board, per day Sliearers, with board, per 100 sheep sheared Men-cooks on stations, with board, per week £26 to £52 .. £26 to £65 .. £zo to los. to 15s. 25s. per week 30s. 20s. 25s. to 30s. per week 25s. to 30s. „ 20s. to 25s. „ 20s. to 25s. £ 5 2 to £100 £52 to 20s. per week 20s. £60 £50 20s. 6s. ;£75 •• 25s. .. £ 75 to £80 /50 to £55 £35 to 20s. to 25s. 6s. £55 to £60. ;£55 to £65. £50. 15s. to 20s. 8s. ... JOS. . . 5s. 20s. per week 7s. 8s. gs. 7s. to ios. 15s. to 17s. 6d. 17s. 6d. .. 17S.9P. .. 17s. 6d. to 20s. 16s. 16s. 8d. 20s. 15s. to 17s. 6d. los. to 25s. 20s. 2OS.- to 30s. 20s. to 253. 25s. 30s. .. 20s. to 25s. 20s. to 25s. 3. Artisan Labour (per day, without board). 8s. to 9s. 8s. .. 8s. .. 7s. to 8s. 7s. to ios. 7s. to 8s. 8s. .. 6s. to 7s. 6s. to 6s. 6d. 6s. to 7s. 6s. to 7s. 8s. 8s. 8s. 7s. to 8s. .. 8s. 8s. I2S. IIS. I2S. gs. ios. to iis. IOS. I2S. 9s. to 12s. gs. to 12s. gs. to 12s. 8s. to ios. 8s. to 12s. 8s. to ios. ios, to iis. 8s. to ios. 7s. to ios. IOS.* 8s. 6d. to ios.* IOS. I2S. IOS. gs. IOS. I2S. .. I2S. . . I2S. .. IIS. .. IOS. . . I2S. .. I2S. .. IOS. IOS. gs. to 12s. gs. to 15s. IIS. to I2S, 8s. to us. 8s. to 12s. IOS. tO I2S, I2S. tO I5S. gs. to 13s. 8s. to ios. 8s. to ios. 7s. 6d. to 8s. Masons Plasterers Bricklayers Carpenters Smiths Wheelwrights Shipwrights Plumbers Painters Saddlers Shoemakers IOS. 14s. .. 14s. .. 14s. .. I2S. .. I2S. . . I2S. .. I2S. . . I2S. .. IOS. .. IOS. . . IOS. 8s. to gs. 8s. gs. gs. 8s. to 9s. 8s. 8s. 8s. IOS. 8s. 6s. 8s. 6s. IOS. 9s. 9s. 9s. gs. gs. IOS. 8s. gs, .. i 8s. 8s. 6d. I I2S. .. * 40s. to 50s. per week.

Log in or create a Papers Past website account

Use your Papers Past website account to correct newspaper text.

By creating and using this account you agree to our terms of use.

Log in with RealMe®

If you’ve used a RealMe login somewhere else, you can use it here too. If you don’t already have a username and password, just click Log in and you can choose to create one.


Log in again to continue your work

Your session has expired.

Log in again with RealMe®


Alert