Page image
Page image

25

D.—4

Railway Department, Head Office, T. Ronaynb, Wellington, 21st December, 1898. General Manager. Approximate Cost of Paper.— Preparation, not given; printing (1,325 copies), c£32 ss. By Authority : John Mackay, Government Printer, Wellington.— 1898. Price 9d.}

4—D. 4

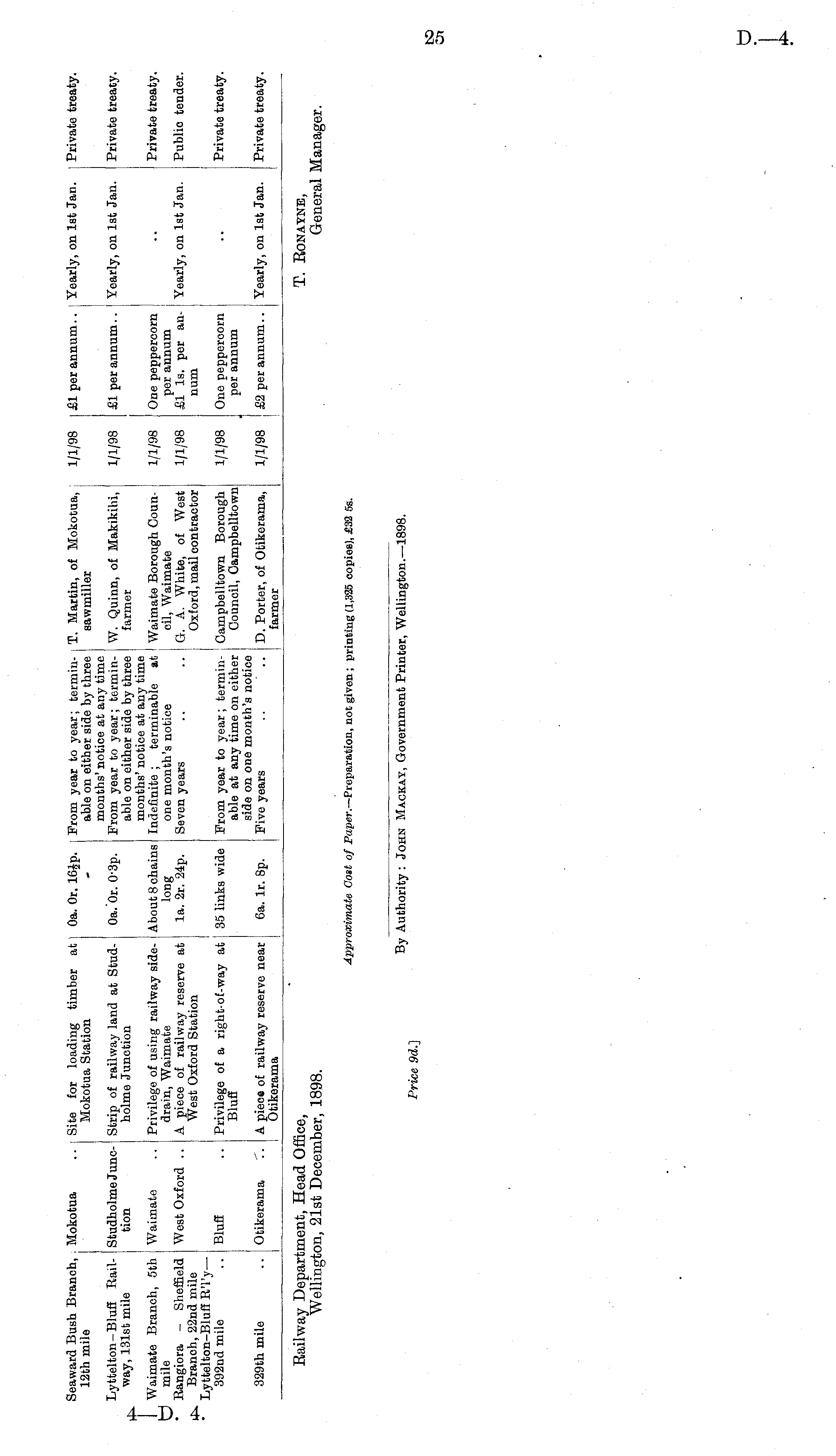
Seaward Bush Branch, 12th mile Mokotua \Io! Site for loading timber at Mokotua Station Oa. Or. 16Jp. Prom year to year; terminable on either side by three months' notice at any time Prom year to year; terminable on either side by three months' notice at any time Indefinite ; terminable at one month's notice Seven years T. Martin, of Mokotua, sawmiller 1/1/98 £1 per annum.. Yearly, on 1st Jan. Private treaty. Lyttelton-Blufi Kailway, 131st mile Studholme Junction Strip of railway land at Studholme Junction Oa.'Or. 0-3p. W. Quinn, of Makikihi, farmer 1/1/98 £1 per annum.. Yearly, on 1st Jan. Private treaty. Waimate Branch, 5th mile Rangiora - Sheffield Branch, 22nd mile Lyttelton-Blufi R'l'y— 392nd mile Waiinate West Oxford .. Privilege of using railway sidedrain, Waimate A piece of railway reserve at West Oxford Station About 8 chains long la. 2r. 24p. Waimate Borough Coun- | oil, Waimate G. A. White, of West Oxford, mail contractor 1/1/98 1/1/98 One peppercorn per annum £1 Is. per annum Yearly, on 1st Jan. Private treaty. Publics tender. Blufi Privilege of a right-of-way at Bluff 35 links wide Prom year to year; terminable at any time on either side on one month's notice Five years .. .. Gampbelltown Borough Council, Oampbelltown D. Porter, of Otikerama, farmer 1/1/98 One peppercorn per annum Private treaty. 329th mile Otikerama "T. A piece of railway reserve near Otikerama 6a. lr. 8p. 1/1/98 £2 per annum.. Yearly, on 1st Jan. Private treaty.

Log in or create a Papers Past website account

Use your Papers Past website account to correct newspaper text.

By creating and using this account you agree to our terms of use.

Log in with RealMe®

If you’ve used a RealMe login somewhere else, you can use it here too. If you don’t already have a username and password, just click Log in and you can choose to create one.


Log in again to continue your work

Your session has expired.

Log in again with RealMe®


Alert