Page image
Page image

H.-Bb.

FIFTH SCHEDULE.

Appendix No. 2. ASSURANCES FOR THE WHOLE TERM OF LIFE WITH WHOLE-LIFE PREMIUMS. In force at 31st December, 1902.

20

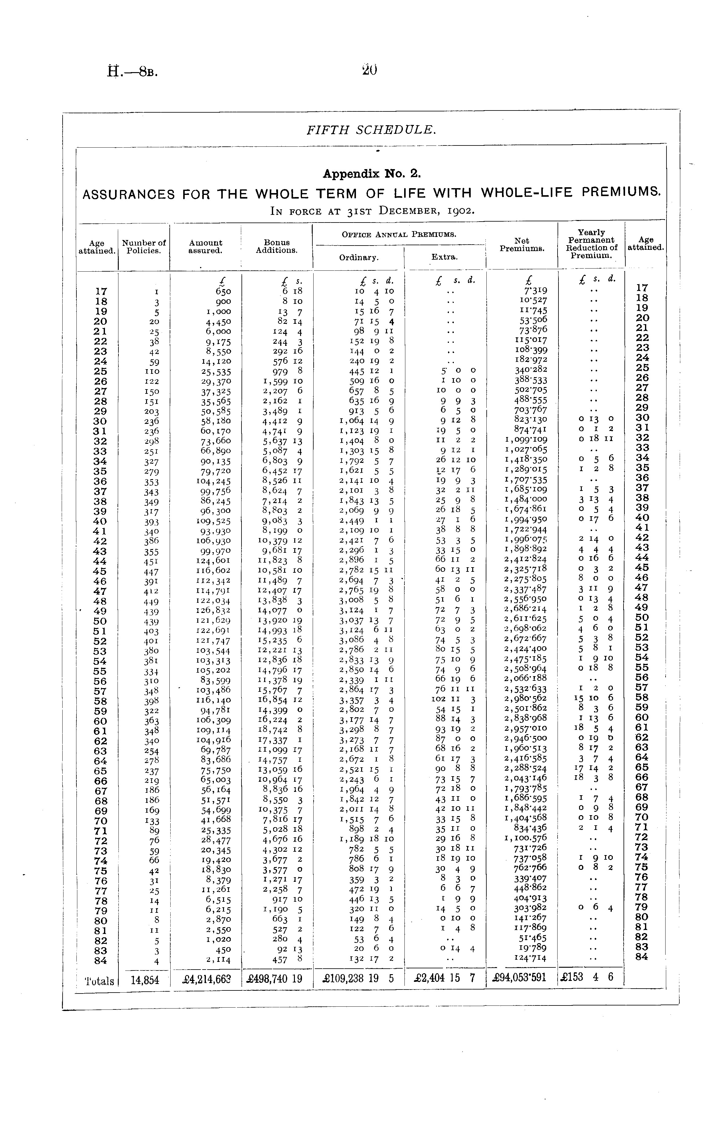
Age attained. Number of Policies. Amount assured. Bonus Additions. Office Annual Premiums. Premiums. Net Yearly Permanent Reduction of Premium. Age attained. Ordinary. Extra. 17 18 19 20 21 22 23 24 25 26 27 28 29 30 31 32 33 34 35 36 37 38 39 40 41 42 43 44 45 46 47 48 49 50 51 52 53 54 55 56 57 58 59 60 61 62 63 64 65 66 67 68 69 70 71 72 73 74 75 76 77 78 79 80 81 82 83 84 I 3 5 20 25 38 42 59 no 122 150 151 203 236 236 298 251 327 279 353 343 349 317 393 34° 386 355 451 447 391 412 449 439 439 403 . 401 380 381 334 310 348 398 322 363 348 34° 254 278 237 219 186 186 169 133 H i 76 59 66 42 14 J 8 11 J 5 3 4 ' £ 650 900 1,000 4.45° 6,000 9,175 8,550 14,120 25,535 29,37O 37,325 35,565 50,585 58,180 60,170 73,660 66,890 9O,i35 79,720 104,245 99,75° 86,245 96,300 109,525 93,93O 106,930 99,970 124,601 116,602 112,342 114,791 122,034 126,832 121,629 122,691 121,747 103,544 103,313 105,202 83,599 103,486 116,140 94,78i 106,309 109,114 104,916 69,787 83,686 75,75O 65,003 56,164 5I.57 1 54,699 41,668 25,335 28,477 20,345 19,420 18,830 8,379 11,261 6,515 6,215 2,870 2,550 1,020 450 2,114 6 18 8 10 13 7 82 14 124 4 244 3 292 16 576 12 979 8 1,599 10 2,207 6 2,162 1 3,489 1 4,412 9 4,741 9 5,637 13 5,087 4 6,803 9 6,452 17 8,526 11 8,624 7 7,214 2 8,803 2 9,083 3 8,199 o 10,379 12 9,681 17 11,823 8 10,581 10 11,489 7 12,407 17 13,838 3 14,077 o 13,920 19 14,993 18 15,235 6 12,221 13 12,836 18 14,796 17 11,378 19 15,767 7 16,854 12 14,399 o 16,224 2 18,742 8 17,337 1 11,099 X 7 14,757 1 13,059 16 10,964 17 8,836 16 8,550 3 io,375 7 7,816 17 5,028 18 4.676 16 4,302 12 3.677 2 3,577 o 1,271 17 2,258 7 917 10 1,190 5 663 1 527 2 280 4 92 13 457 8 £ s. d. 10 4 10 14 5 o 15 16 7 71 15 4 98 9 11 152 19 8 144 o 2 240 19 2 445 12 1 509 16 o 657 8 5 635 16 9 913 5 6 1,064 M 9 1.123 19 1 1,404 8 o 1,303 15 8 i,792 5 7 1,621 5 5 2,14I IO 4 2,101 3 8 1,843 13 5 2,069 9 9 2,449 1 1 2,109 10 1 2,421 7 C 2,296 1 3 2,896 1 5 2,782 15 11 2,694 7 3 ■ 2,765 19 8 3,008 5 8 3.124 1 7 3,037 13 7 3,124 6 11 3,086 4 8 2,786 2 11 2,833 J 3 9 2,850 14 6 2,339 1 11 2,864 17 3 3,357 3 4 2,802 7 o 3,177 14 7 3,298 8 7 3,273 7 7 2,168 11 7 2,672 1 8 2,521 15 1 2,243 6 1 1,964 4 9 1,842 12 7 2,011 14 8 1,515 7 6 898 2 4 1,189 18 10 782 5 5 786 6 1 808 17 9 359 3 2 472 19 1 446 13 5 320 11 o 149 8 4 122 7 6 53 6 4 20 6 o £ s. i. 500 1 10 o 10 o o 9 9 3 650 9 12 8 -950 11 2 2 912 1 26 12 10 1/2 17 6 i~9 9 3 32 211 25 9 8 26 18 5 27 1 6 38 8 8 53 3 5 33 15 o 66 11 2 60 13 11 41 2 5 58 o o 51 6 j 72 7 3 72 9 5 63 o 2 74 5 3 80 15 5 75 10 9 74 9 6 66 19 6 76 11 11 102 11 3 54 15 1 88 14 3 93 19 2 87 o o 68 16 2 61 17 3 90 8 8 73 15 7 72 18 o 43 11 o 42 10 11 33 15 8 35 11 o 29 16 8 30 18 11 18 19 10 3° 4 9 830 667 1 9 9 14 5 o 0 10 o 1 4 8 £ 7*319 10-527 "•745 53'5o6 73-876 115-017 108-399 182972 340-282 388-533 502-705 488-555 703767 823-130 874741 1,099-109 1,027-065 1,418-350 1,289015 i,7°7'535 1,685-109 1,484-000 1,674-861 i,994'950 1,722-944 1,996-075 1,898-892 2,412-824 2,325718 2,275-805 2,337'4 8 7 2,556-950 2,686-214 2,611-625 2,698-062 2,672667 2,424-400 2,475'i85 2,508-964 2,066-188 2,532633 2,980-562 2,501-862 2,838-968 2,957-010 2,946-500 1,960-513 2,416-585 2,288-524 2,043-146 1,793785 1,686-595 1,848-442 1,404-568 834'436 1,100.576 731726 737-058 762-766 339'4O7 448-862 404-913 303-982 141-267 117-869 5i - 465 19-789 124-714 £ s - *■ o 13 o 012 o 18 11 056 I 2 8 i 5 3 3 13 4 054 o 17 6 2 14 o 4 4 4 o 16 6 032 800 3 11 9 0 13 4 1 2 8 504 460 5 3 8 5 8 1 1 9 10 o 18 8 17 18 19 20 21 22 23 24 25 26 27 28 29 30 31 32 33 34 35 36 37 38 39 40 41 42 43 44 45 46 47 48 49 50 51 52 53 54 55 56 57 58 59 60 61 62 63 64 65 66 67 68 69 70 71 72 73 74 75 76 77 78 79 80 81 82 83 84 120 15 10 6 836 1 13 6 18 5 4 0 19 D 8 17 2 3 7 4 17 14 2 18 3 8 1 7 4 098 o 10 8 2 1 4 1 9 10 082 064 o 14 4 132 17 2 Totals 14,854 £4,214,663 ,£498,740 19 £109,238 19 5 £2,404 15 7 £94,053-591 £153 4 6

Log in or create a Papers Past website account

Use your Papers Past website account to correct newspaper text.

By creating and using this account you agree to our terms of use.

Log in with RealMe®

If you’ve used a RealMe login somewhere else, you can use it here too. If you don’t already have a username and password, just click Log in and you can choose to create one.


Log in again to continue your work

Your session has expired.

Log in again with RealMe®


Alert