Page image
Page image

23

H.—l

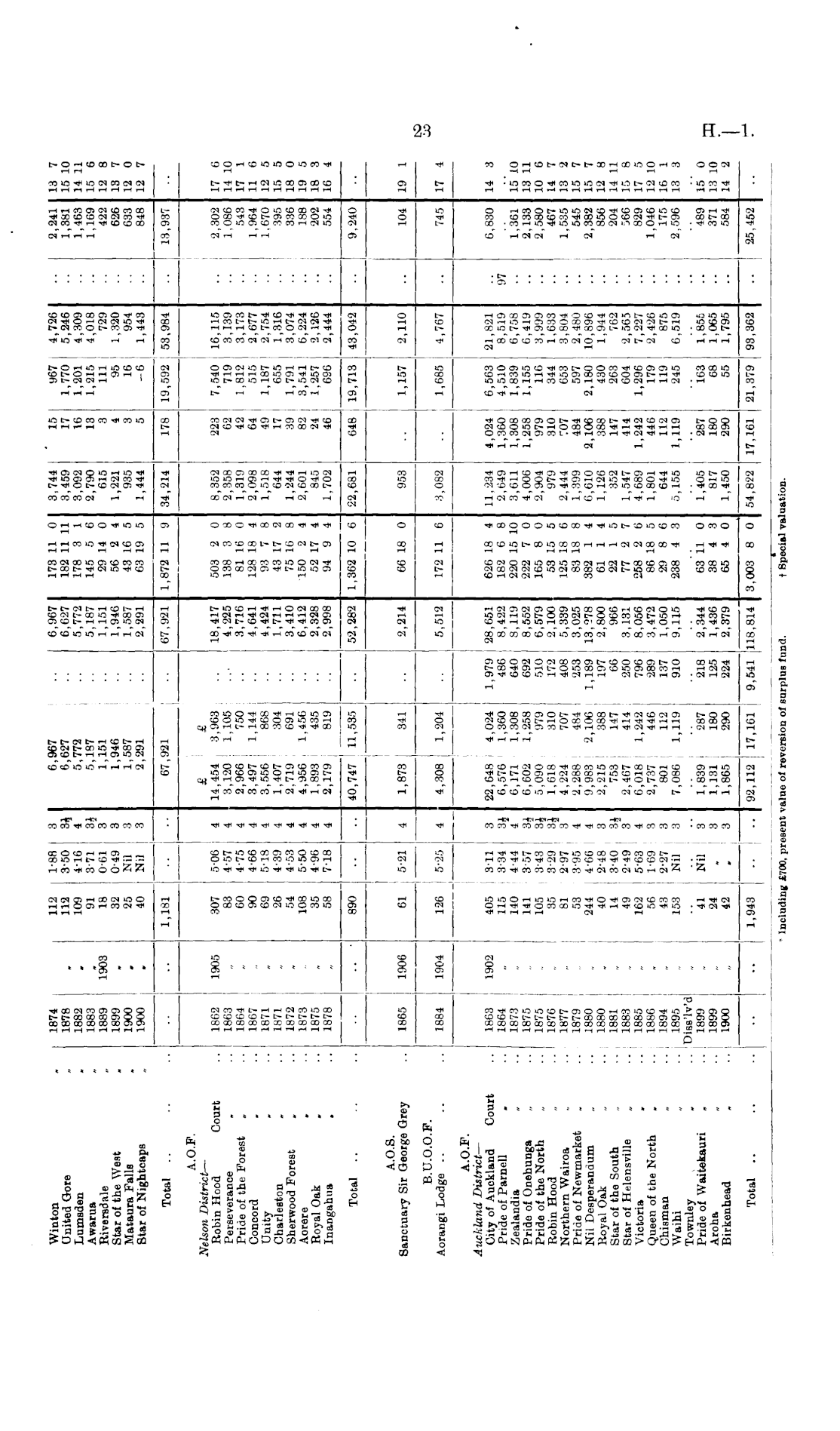
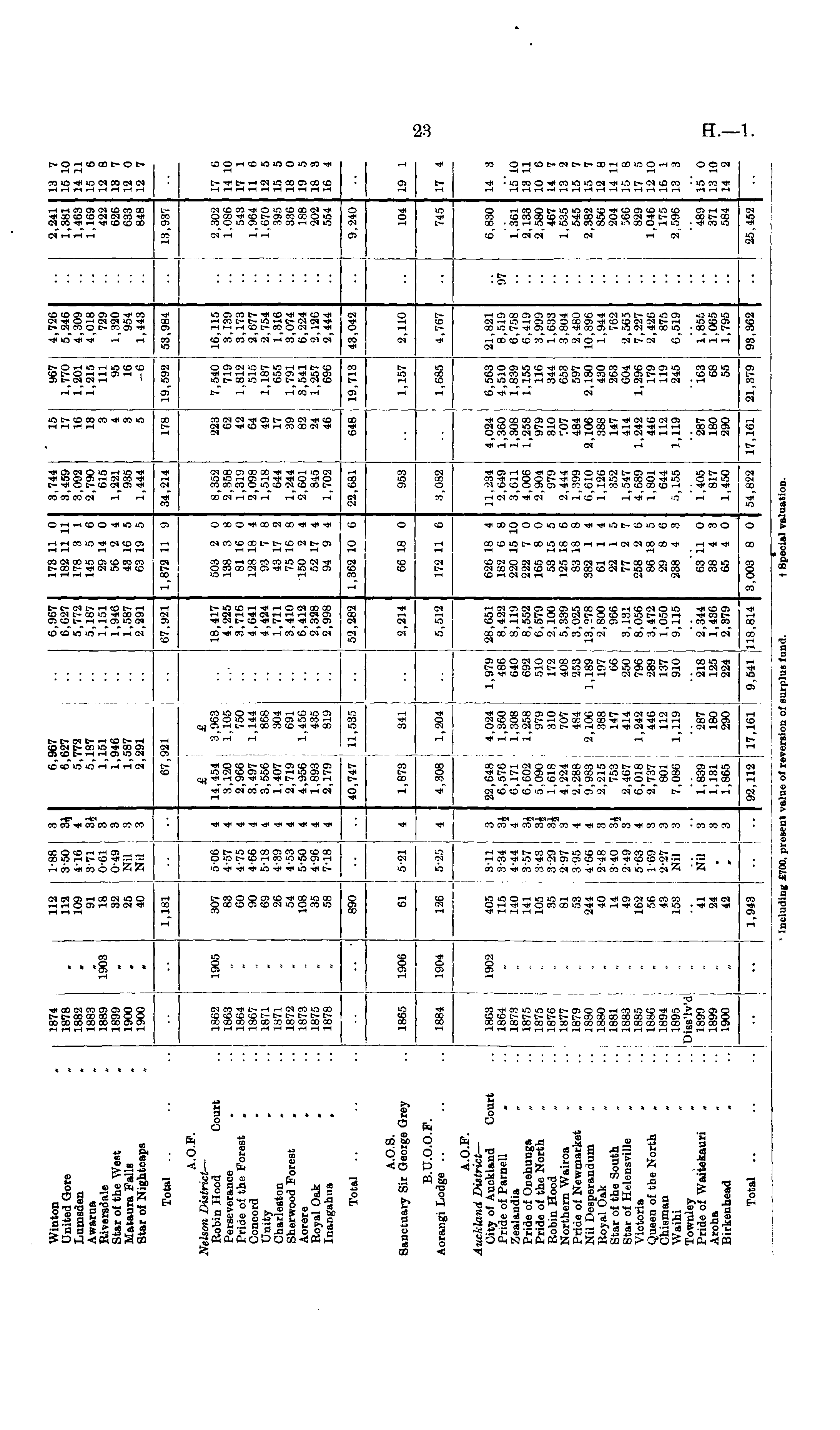
Winton United Gore Lumsden Awarua Riversdale Star of the West Mataura Falls Star of Nightcaps 1874 1878 1882 1883 1889 1899 1900 1900 1874 1878 1882 1883 1889 1899 1900 1900 m 1903 112 112 109 91 18 32 25 40 1-88 3 350 3^ 416 4 371 3J 0-61 8 049 3 Nil 3 Nil 3 3 4 8 a 3 a 6,967 6,627 5,772 5,187 1,151 1,946 1,587 2,291 6,967 6,627 5,772 5,187 1,151 1,946 1,587 2,291 173 11 0 182 11 11 178 3 1 145 5 6 29 14 0 56 2 4 43 16 5 63 19 5 3,744 3,459 3,092 2,790 615 1,221 935 1,444 15 17 18 8 4 a 5 967 1,770 1,201 1,215 111 95 16 -6 4,726 5,246 4,309 4,018 729 1,320 954 1,443 2,241 1,381 1,463 1,169 422 626 633 848 13 7 15 10 14 11 15 6 12 8 13 7 12 0 12 7 m m Total .. 1,181 67,921 67,921 1,872 11 9 34,214 178 19,592 53,984 13,937 ■■ A.O.P. Nelson District — Robin Hood Court Perseverance . Pride of the Forest Concord Unity . Charleston . Sherwood Forest » Aorere . Royal Oak Inangahna . .. 1862 1863 1864 1867 .. 1871 1871 1872 1873 1875 .. 1878 1862 1863 1864 1867 1871 1871 1872 1873 1875 1878 I 1905 ' * 307 83 60 90 69 26 54 108 35 58 506 4 4-57 4 4-75 4 4-66 4 5-18 4 4-39 4 4-53 4 5-50 4 4-96 4 7-18 4 4 4 4 4 1 4 4 4 1 4 £ £ 14,454 3,963 3,120 1,105 2,966 750 3,497 1,144 3,556 868 1,407 304 2,719 691 4,956 1,456 1,893 435 2,179 819 18,417 4,225 3,716 4,641 4,424 1,711 3,410 6,412 2,328 2,998 503 2 0 138 3 8 81 16 0 128 18 4 93 7 8 43 17 2 75 16 8 150 2 4 52 17 4 94 9 4 8,352 2,358 1,819 2,098 1,518 644 1,244 2,601 845 1,702 223 62 42 64 49 17 39 82 24 46 7,540 719 1,812 515 1,187 655 1,791 3,541 1,257 696 16,115 3,139 3,173 2,677 1,316 3,074 6,224 2,126 2,444 2,302 1,086 543 1,964 1,670 395 336 188 202 554 17 0 14 10 17 1 11 6 12 5 15 5 18 0 19 5 18 3 16 4 ' Total • 890 •• 40,747 11,535 52,282 1,362 10 6 22,681 648 19,713 43,042 9,240 •• A.O.S. 8anctuary Sir George Grey 1865 5-21 4 1865 1906 61 1,873 341 2,214 66 18 0 953 1,157 2,110 104 18 B.U.O.O.F. Aorangi Lodge 1884 I 1884 1904 126 5-25 4 4,308 1,204 •• 5,512 172 11 6 3,082 1,685 4,767 745 17 A.O.F. Auckland District — City of Auckland Court Pride of Parnell . Zealandia Pride of Onehunga Pride of the North Robin Hood Northern Wairoa „ Pride of Newmarket Nil Desperandum Royal Oak Star of the South Star of Helensville Victoria „ Queen of the North . Chisman Waihi Townley Pride of Waitekauri Aroha Birkenhead .. 1863 1864 1873 1875 1875 1876 1877 1879 1880 1880 1881 1883 1885 1886 1894 1895 .. Diss'lv'd 1899 1899 .. 1900 1902 405 115 140 141 105 35 81 53 244 40 14 49 162 56 43 153 3-11 3 3-34 3J 4.44 4 357 34 343 3J 3-29 34 2-97 8 3 95 4 I 4-66 4 2-48 3 3-40 U 249 3 563 1 1-69 8 2-27 8 Nil 3 22,648 6,576 6,171 6,602 5,090 1,618 4,224 2,288 9,983 2,215 753 2,467 6,018 2,737 801 7,086 i 4,024 1,360 1,308 1,258 'J79 310 707 484 2,106 388 147 414 1,242 446 112 1,119 1,979 486 640 692 510 172 408 253 1,189 197 66 250 796 289 137 910 28,651 8,422 8,119 8,552 6,579 2,100 5,339 3,025 13,078 2,800 966 3,131 8,056 3,472 1,050 9,115 626 18 4 182 6 8 220 15 10 222 7 0 165 8 0 53 15 5 125 18 6 83 18 8 382 1 4 61 1 4 22 1 5 77 2 7 268 2 6 86 18 5 29 8 6 238 4 3 11,234 2,649 3,611 4,006 3,904 979 2,444 1,399 0,610 1,126 352 1,547 4,689 1,801 644 5,155 4,024 1,360 1,308 1,258 979 310 707 484 2,106 388 147 414 1,242 446 112 1,119 6,563 4,510 1,839 1,155 116 344 653 597 2,180 430 263 604 1,296 179 119 245 21,821 8,519 6,758 6,419 3,999 1,633 3,804 2,480 10,896 1,944 762 ■2,565 7,227 ■2,420 875 6,519 97 6,830 1,361 2,133 2,580 467 1,535 545 2,382 856 204 366 829 1,046 175 2,596 14 a 15 1C 13 11 10 6 14 7 13 2 15 7 15 7 12 8 14 11 15 e 17 6 12 1C 16 1 13 a 41 24 42 Nil 3 3 3 1,839 1,131 1,865 287 180 290 218 125 224 2,344 1,436 2,379 63 11 0 38 4 3 65 4 0 1,405 817 1,450 287 180 290 163 68 55 l,85f, 1,065 1,795 489 371 584 15 C 13 1C 14 -i Total 1,943 92,112 17,161 9,541 118,814 3,003 8 0 54,822 17,161 21,379 93,362 25,452 Includini £700, ■resent value of reversion of sun ilue fund. 1 si locial valuation.

Log in or create a Papers Past website account

Use your Papers Past website account to correct newspaper text.

By creating and using this account you agree to our terms of use.

Log in with RealMe®

If you’ve used a RealMe login somewhere else, you can use it here too. If you don’t already have a username and password, just click Log in and you can choose to create one.


Log in again to continue your work

Your session has expired.

Log in again with RealMe®


Alert