Page image
Page image

8.-7.

Appropriations for Consolidated Fund Services.

CLASS XXI.—DEPARTMENT OF LANDS AND SURVEY —continued.

102

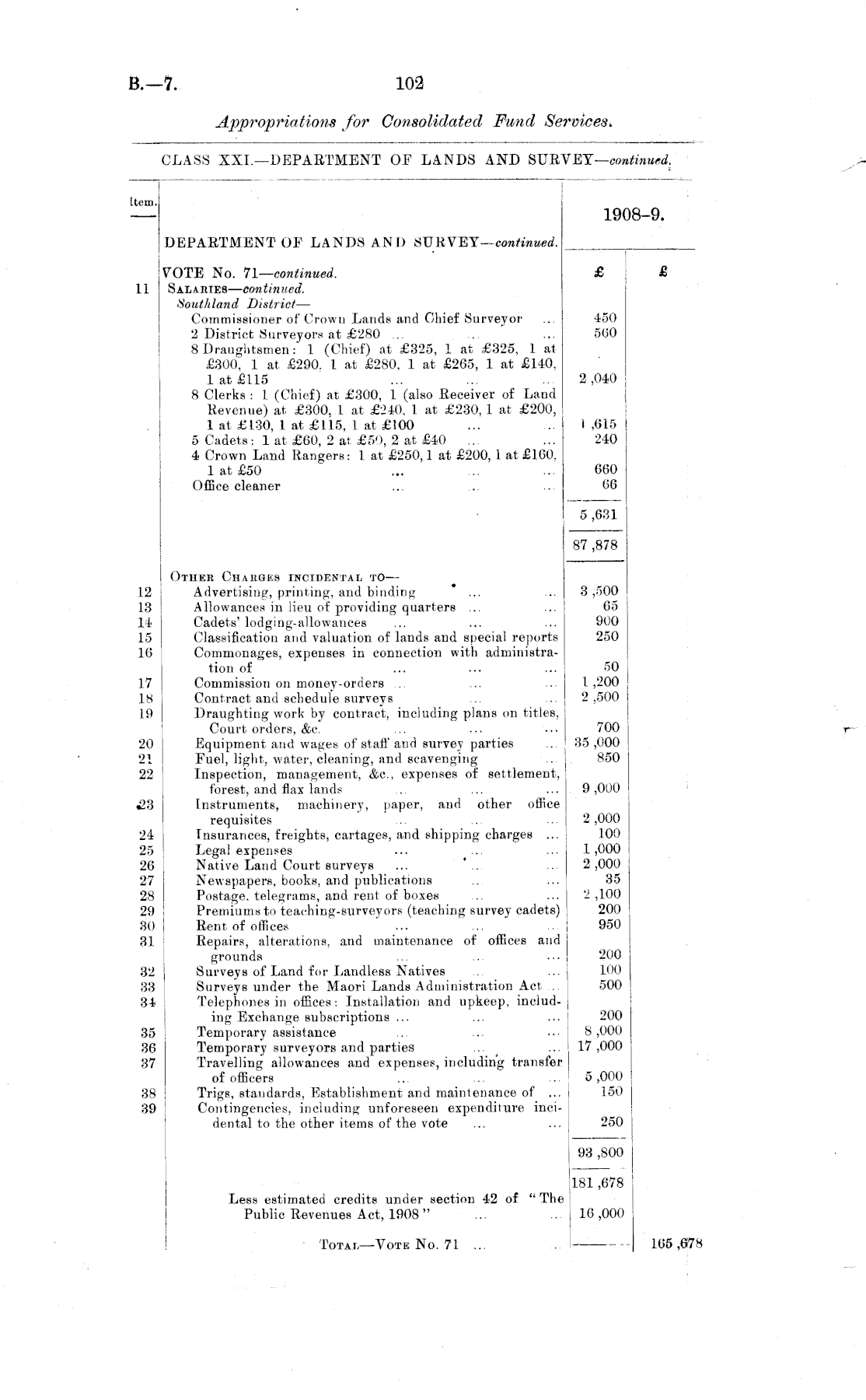
;em. 19' '8-9. DEPARTMENT OF LANDS AND SURVEY— continued. 11 VOTE No. 71— continued. Salaries — continued. Southland District — Commissioner of Crown Lands and Chief Surveyor 2 District Surveyors at £280 ... 8 Draughtsmen: 1 (Chief) at £325, 1 at £325, 1 at £300, 1 at £290. 1 at £280, 1 at £265, 1 at £140, 1 at £115 8 Clerks : 1 (Chief) at £300, 1 (also Receiver of Land Revenue) at £300, 1 at £240, 1 at £230, 1 at £200, 1 at £130, 1 at £115, 1 at £100 5 Cadets: 1 at £60, 2 at £50, 2 at £40 ... 4 Crown Land Rangers: 1 at £250,1 at £200, 1 at £160, 1 at £50 Office cleaner £ 450 560 2,040 £ I ,615 240 660 66 5,631 Other Charges incidental to — Advertising, printing, and binding Allowances in lieu of providing quarters ... Cadets' lodging-allowances Classification and valuation of lands and special reports Commonages, expenses in connection with administration of Commission on money-orders ... Contract and schedule surveys Draughting work by contract, including plans on titles, Court orders, &c. Equipment and wages of staff and survey parties Fuel, light, water, cleaning, and scavenging Inspection, management, &c, expenses of settlement, forest, and flax lands Instruments, machinery, paper, and other office requisites Insurances, freights, cartages, and shipping charges ... Legal expenses Native Land Court surveys Newspapers, books, and publications Postage, telegrams, and rent of boxes Premiums to teaching-surveyors (teaching survey cadets) Rent of offices ... ... . ... Repairs, alterations, and maintenance of offices and grounds Surveys of Land for Landless Natives Surveys under the Maori Lands Administration Act ... Telephones in offices: Installation and upkeep, including Exchange subscriptions ... Temporary assistance Temporary surveyors and parties :.. Travelling allowances and expenses, including transfer of officers Trigs, standards, Establishment and maintenance of ... Contingencies, including unforeseen expenditure incidental to the other items of the vote 87 ,878 12 13 14 15 16 3 ,500 65 900 250 17 18 19 50 1,200 2,500 20 21 22 700 35 ,000 850 9,000 £3 2,000 100 1,000 2,000 35 2,100 200 950 24 25 26 27 28 29 30 31 32 33 34 200 100 500 35 36 37 200 8,000 17,000 38 39 5,000 150 250 93 ,800 165 ,678 Less estimated credits under section 42 of " The Public Revenues Act, 1908 " 181,678 16 ,000 Total—Vote No. 71 ...

Log in or create a Papers Past website account

Use your Papers Past website account to correct newspaper text.

By creating and using this account you agree to our terms of use.

Log in with RealMe®

If you’ve used a RealMe login somewhere else, you can use it here too. If you don’t already have a username and password, just click Log in and you can choose to create one.


Log in again to continue your work

Your session has expired.

Log in again with RealMe®


Alert