Page image
Page image

H.—Bd.

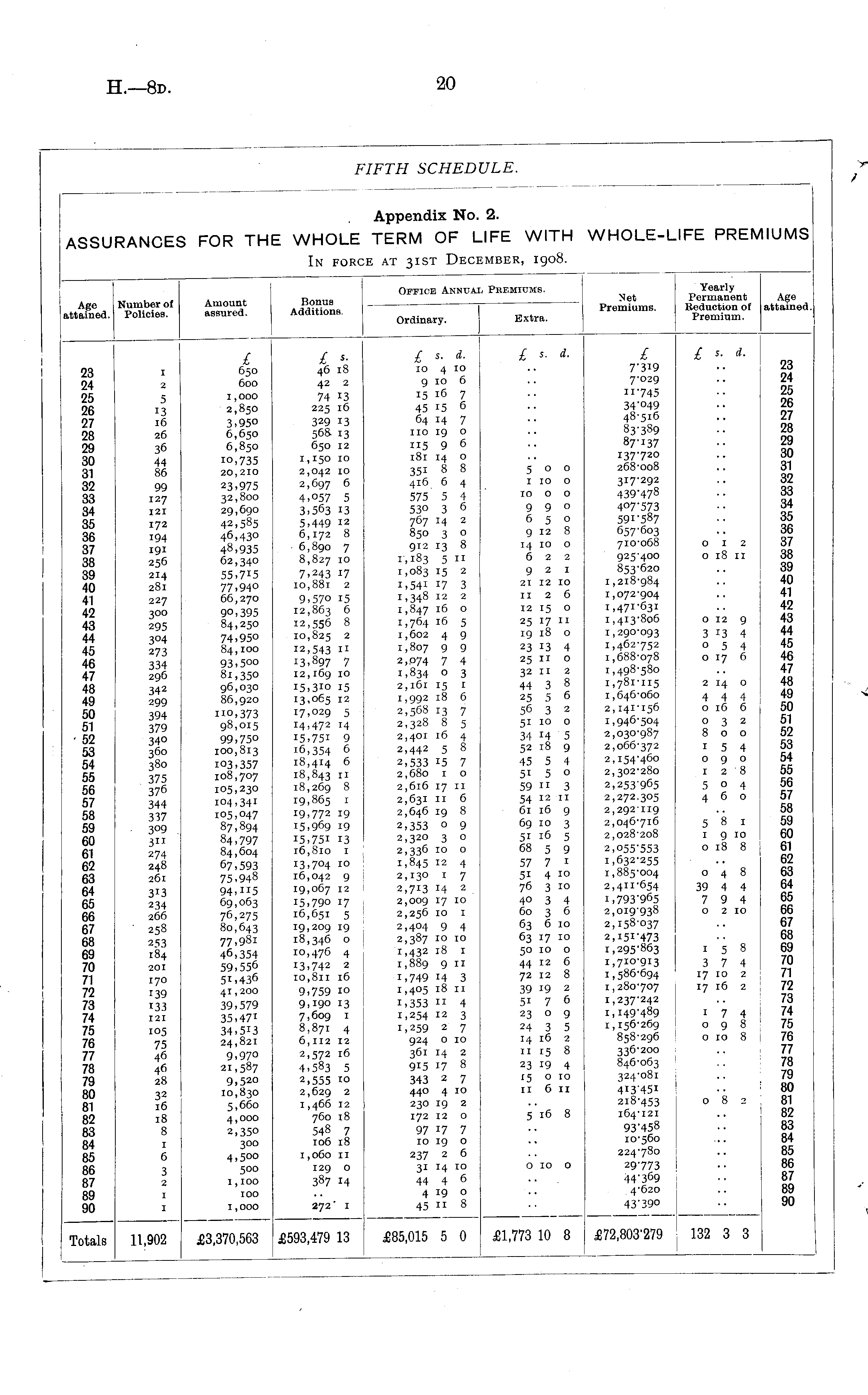
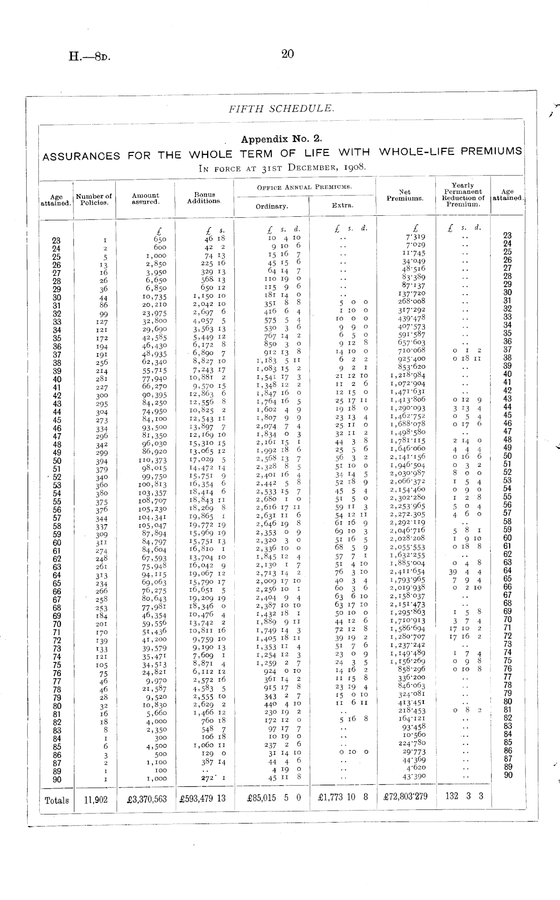
FIFTH SCHEDULE.

Appendix No. 2. ASSURANCES FOR THE WHOLE TERM OF LIFE WITH WHOLE-LIFE PREMIUMS In force at 31st December, 1908.

20

Amount assured. Bonus Additions. Office Annual Premiums. Net Yearly Permanent Reduction of Premium. Age attained. Age attained. Number of Policies. 'remiums. Ordinary. Extra. £ 650 600 £ '■ 46 18 42 2 74 13 225 16 329 13 568 13 650 12 1,150 10 2,042 10 2,697 6 4,057 5 3,563 13 5,449 12 6,172 8 6,890 7 8,827 10 7,243 17 10,881 2 9,57o 15 12,863 6 12,556 8 10,825 2 12,543 11 13,897 7 12,169 10 15,310 15 13,065 12 17,029 5 14,472 14 I5,75i 9 i6,354 6 18,414 6 18,843 11 18,269 8 19,865 1 19,772 19 15,969 19 I5,75i 13 16.810 1 13,704 10 16,042 9 19,067 12 15,790 17 16,651 5 19,209 19 18,346 o 10,476 4 13,742 2 10.811 16 1 9,759 10 9,190 13 7,609 1 8,871 4 6,112 12 2,572 16 4,583 5 2,555 10 2,629 2 1,466 12 760 18 548 7 106 18 1,060 11 129 o 387 14 £ *■ d. 10 4 10 9 10 6 15 16 7 45 15 6 64 14 7 no 19 o 115 9 6 181 14 o 351 8 8 416 6 4 575' 5 4 530 3 6 767 J 4 2 850 3 o 912 13 8 1,183 5 11 1,083 15 2 1,54! 17 3 1,348 12 2 1,847 16 o 1,764 16 5 1,602 4 9 1,807 9 9 2,074 7 4 1,834 o 3 2,161 15 1 1,992 18 6 2,568 13 7 2,328 8 5 2,401 16 4 2,442 5 8 2,533 15 7 2,680 1 o 2,616 17 11 2,631 11 6 2,646 19 8 2,353 o 9 2,320 3 o 2,336 IO o 1,845 12 4 2,130 1 7 2,713 14 2 2,009 17 IO 2,256 IO I 2.404 9 4 2,387 10 10 1,432 18 1 1,889 9 11 r,749 14 3 1.405 18 11 1,353 11 4 1,254 12 3 1,259 2 7 924 o 10 361 14 2 915 17 8 343 2 7 440 4 10 230 19 2 172 12 o 97 17 7 10 19 o 237 2 6 31 14 10 44 4 6 4 19 o 45 11 8 £ *• d. £ 7-319 7-029 II-745 34-049 48-516 83-389 87-I37 137-720 268-008 317-292 439-478 407-573 59I-587 657-603 710-068 925400 853-620 1,218-984 1,072-904 1,471-631 1,413-806 1,290-093 1,462-752 1,688-078 1,498-580 1,781-115 1,646-060 2,141-156 1,946-504 2,030-987 2,066-372 2,154-460 2,302-280 2,253-965 2,272.305 2,292119 2,046-716 2,028-208 2,055-553 1,632-255 1,885-004 2,411-654 i,793-965 2,019-938 2,158-037 2,i5i-473 1,295-863 1,710-913 1,586-694 1,280-707 1,237-242 1,149-489 1,156-269 858-296 336-200 846-063 324-081 4I3H5I 218-453 164-121 93-458 10-560 224-780 29-773 44-369 4-620 43-390 £ s. d. 23 24 25 26 27 28 29 30 31 32 33 34 35 36 37 38 39 40 41 42 43 44 45 46 47 48 49 50 51 ■ 52 53 54 55 56 57 58 59 60 61 62 63 64 65 66 67 68 69 70 71 72 73 74 75 76 77 78 79 80 81 82 83 84 85 86 87 89 90 I 2 5 13 16 26 36 44 86 99 127 121 172 194 191 256 214 281 227 300 295 304 273 334 296 342 299 394 379 340 360 380 375 376 344 337 309 3" 274 248 261 313 234 266 258 253 184 201 170 139 133 121 105 75 46 46 28 32 16 18 8 1 6 3 2 1,000 2,850 3.950 6,650 6,850 10,735 20,210 23,975 32,800 29,690 42,585 46,430 48,935 62,340 55.715 77.940 66,270 90,395 84,250 74.95o 84,100 93,500 81,350 96,030 86,920 no,373 98,015 99,75o 100,813 103,357 108,707 105,230 104,341 105,047 87,894 84,797 84,604 67,593 75.948 94,n5 69,063 76,275 80,643 77,981 46,354 59,556 51,436 41,200 39,579 35,47i 34,513 24,821 9,97° 21,587 9,520 10,830 5,66o 4,000 2,35o 300 4,500 500 1,100 IOO 500 1 10 o 1000 990 650 9 12 8 14 10 o 622 921 21 12 10 n 2 6 12 15 o 25 17 n 19 18 o 23 13 4 25 11 o 32 11 2 44 3 8 25 5 6 56 3 2 51 IO o 34 14 5 52 18 9 45 5 4 51 5 o 59 11 3 54 12 11 61 16 9 69 10 3 51 16 5 68 5 9 57 7 1 51 4 10 76 3 10 40 3 4 60 3 6 63 6 10 63 17 10 50 IO o 44 12 6 72 12 8 39 19 2 51 7 6 23 o 9 24 3 5 14 16 2 11 15 8 23 19 4 15 o 10 n 6 n 012 o 18 II o 12 9 3 13 4 0 5 4 o 17 6 2 14 o 4 4 4 0 16 6 032 800 1 5 4 090 I 2 8 504 460 23 24 25 26 27 28 29 30 31 32 33 34 35 36 37 38 39 40 41 42 43 44 45 46 47 48 49 50 51 52 53 54 55 56 57 58 59 60 61 62 63 64 65 66 67 68 69 70 71 72 73 74 75 76 77 78 79 80 81 82 83 84 85 86 87 89 90 5 '8 I j 1 9 10 o 18 8 048 39 4 4 7 9 4 o 2 10 1 5 8 3 7 4 17 10 2 17 16 2 1 7 4 098 o 10 8 082 516 8 o 10 o 1 272' 1 1 1,000 £85,015 5 0 £1,773 10 8 £72,803-279 132 3 3 Totals 11,902 £3,370,563 £593,479 13

Log in or create a Papers Past website account

Use your Papers Past website account to correct newspaper text.

By creating and using this account you agree to our terms of use.

Log in with RealMe®

If you’ve used a RealMe login somewhere else, you can use it here too. If you don’t already have a username and password, just click Log in and you can choose to create one.


Log in again to continue your work

Your session has expired.

Log in again with RealMe®


Alert