Page image
Page image

29

C—lα

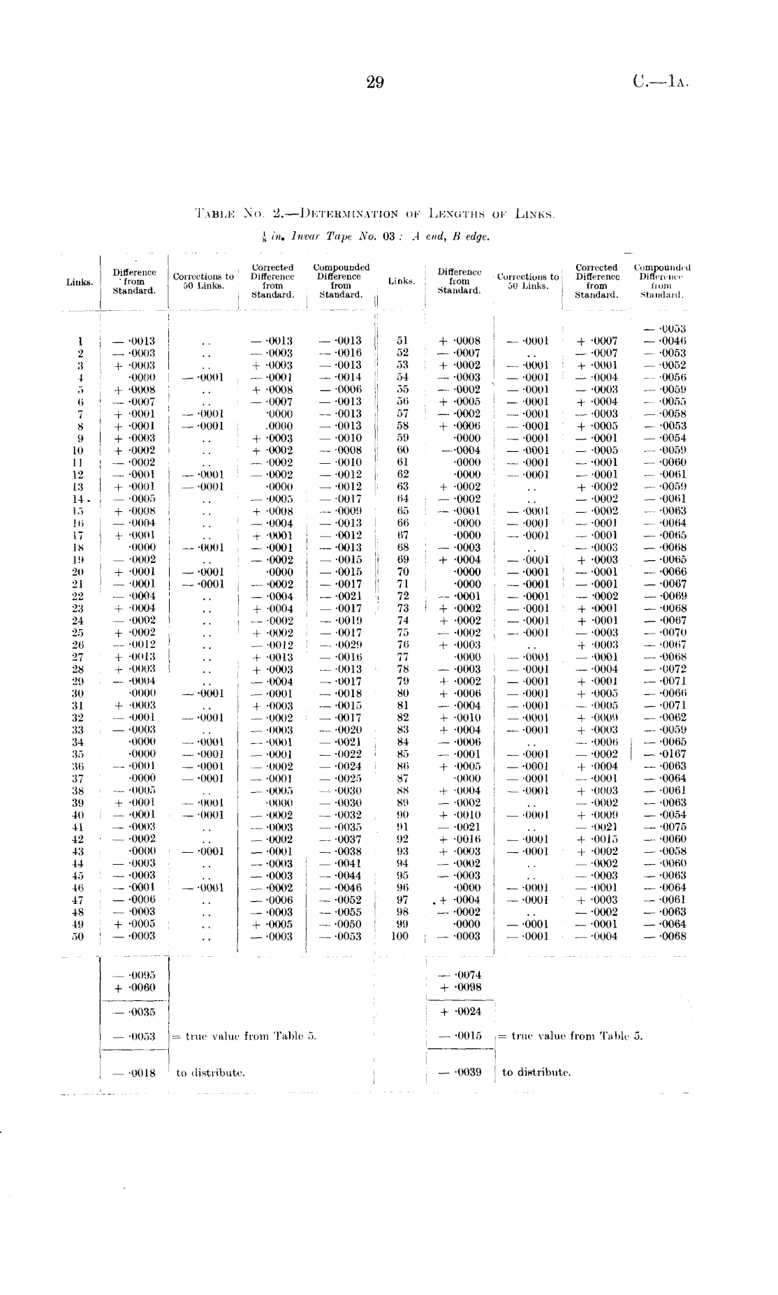
Table No. 2. —Determination of Lengths of Links.

i in. Invar Tape No. 03: .4 end, Ii edge. jinks. n .„ Corrected Compounded iiiit-,.,, ,„ Corrected Compounded I "mi.rtiiM, Corrections tu Difference Difference .. ,. JJintieiiu Corrections to Difference Difference '"', m , 60 Links. in.m lion. L,IDK8 - nJjSTwi 50 links. from from 1 standard. Standard. , Standard. ! staiiuara - : standard. Standard. J I 1 2 3 I 5 6 7 8 9 10 II 12 13 14. 15 111 17 18 19 20 21 22 23 24 25 26 27 28 29 30 31 32 33 34 35 36 37 38 39 40 II 42 43 44 15 46 17 48 49 50 — -0053 i —-0013 ! .. — -0013 —-0013 51 + -0008 —-0001 + -0007 —-0046 —-CM 103 ; .. —-0003 —-0016 52 —-0007 .. ; —-0007 — 0053 + -0003 : .. + -0003 — -0013 53 + -0002 — -0001 + -0001 - -0052 •oooo —-oool —-0001 — -0014 54 —-ooo:', -01)01 —0004 0056 + -00OS .. + -0008 — -0006 55 — -0002 — 0001 —-0003 —0059 — -00O7 .. —-0007 —-0013 5(1 , + -0005 ! —-oool + -0004 --0(155 + •0001 —-oool -0000 —-0013 57 — -0002 —-0001 — 0003 — -0058 + -0001 — 0001 .0000 — -0013 58 + -0006 — 0001 + -0005 — 0053 i + -0003 .. + -0003 — -0010 59 -0000 —-0001 —-0001 — 0054 + -OOi 12 .. + -0002 — -0008 60 —-0004 —-0001 — -0005 — -0059 I — -0002 .. ! — -0002 — -0010 61 -OOOO — -0001 — -0001 — -0060 1 —-0001 —-0001 —-0002 —-0012 62 -OOOO — 0001 —-0001 - 0061 + -0001 — -0001 -0000 — -0012 63 + -0002 .. + -0002 — 0059 , — -0006 .. —-0005 —-0017 64 , —-0002 .. —-0002 — -0061 + •0008 .. + -0008 —-0009 65 : — -0001 — 0001 —-0002 —-0063 — •0004 .. ' —-0004 1 —-OOi:! 66 -0000 —-0001 —-0001 - lioill + -OOOI .. -r -OOOI —-0012 67 -0000 , —-000I — 0001 —-0065 •0000 ! — -0001 —-0001 I —-0013 US —-0003 .. —-0003 — -0068 — -O002 , .. : —-0002 1 — -0015 69 + -0004 —-0001 + -0003 —-0065 + 0001 — -0001 -0000 i — -0015 70 OOOO — -0001 — 0001 — -0066 i _-0001 —-0001 j — -0002 —-0017 71 -0000 —-0001 — -0001 —-0067 — -0O04 .. 1 _ 0004 I —-0021 72 —-0001 —-0001 —-0002 — -0069 + -OO04 .. + -0004 —-0017 73 I + -0002 ! —-0(101 + -0001 — -0068 — -O002 .. I — 0002 , —-0019 74 + -0002 , —-0001 + -0001 —-0067 + •0002 .. +-0002 i — -0017 75 —-0002 , —-O0OI - -0003 0070 —-0012 .. —-0012 ! — -0029 76 + -0003 .. + -0003 —-0067 + :0013 .. +-0013 — -OHIO 77 -oooo -oool — 0001 —-0068 + -0OO3 I .. + -0003 —-0013 7S —-0003 —-0001 —-0004 —-0072 — -OOOI .. — -0004 — -0017 79 4 0002 — -0001 + -0001 — -0071 ■oooo —-OOOI -oooi —-0018 80 0006 —-0001 + -0005 —-0066 + •0003 .. i 0003 - -001.5 81 —-0004 —-0001 —-0005 —-0071 — •0001 — -00(11 -0002 --0017 82 + -0010 —-OOOI + -0009 —-0062 — •0003 .. — 0003 — -0020 83 + -0004 —-OOOI + -0003 —-0059 • OOOO —-0001 —-0001 —-0021 84 — -0006 .. —-0006 j — -OOI 15 •0000 — -0001 — -0001 — -0022 ' Xr, — -0001 — -0001 — -0002 | — -0167 — •OOOI —-0001 —-0002 — 0024 86 + -0005 —-OOOI + 0004 —-0063 ■oooo — -0001 — -OOOI —-0026 S7 OOOO — 0001 —-0001 —-0064 — •0005 .. —-0005 ---003(1 88 + -0004 — -OOOI + -0003 —-0061 + •0001 —-oool oooo —-0030 89 —-0002 .. —-0002 —-0063 _ -0001 — -0001 — -0002 — -0032 90 + -0010 — -0001 + -0009 — -0054 — •0003 .. — -0003 — -0035 91 —-0021 .. — 0021 —11075 — •0002 .. —-0002 — -0037 92 + -0016 —-OOOI + -0015 —■0060 •OOOO —-0001 — -OOOI -0038 93 : 0003 -oool +-0002 —-0058 — •0003 .. —-0003 . — -0041 91 —-00(12 .. —-0002 —-0060 — •0003 .. —-0008 --0044 95 —-0003 .. —-0003 —-0063 _ -0001 — -0001 — -0002 — -0046 96 OOOO ! — -0001 — -0001 — -0064 i —-0006 .. — -0006 — -0052 97 .+ -0004 I —-0001 + -0003 —-0061 — -0003 .. — -0003 — -0055 98 — -0002 .. — -0002 — -0063 + -0005 .. + -0005 — -0050 99 -OOOO — -0001 — -0001 — -0064 — -0003 .. — -0003 — -0053 100 ; — -0003 — -0001 — -0004 — -0068 — -0096 — -0074 + -0060 + -0098 — -0035 + -0024 — -0053 = true value from Table 5. — -0015 = true value bom Table 5. — •0018 to distribute. — -0039 to distribute.

Log in or create a Papers Past website account

Use your Papers Past website account to correct newspaper text.

By creating and using this account you agree to our terms of use.

Log in with RealMe®

If you’ve used a RealMe login somewhere else, you can use it here too. If you don’t already have a username and password, just click Log in and you can choose to create one.


Log in again to continue your work

Your session has expired.

Log in again with RealMe®


Alert