Page image
Page image

105

H.--11

14— H. 11

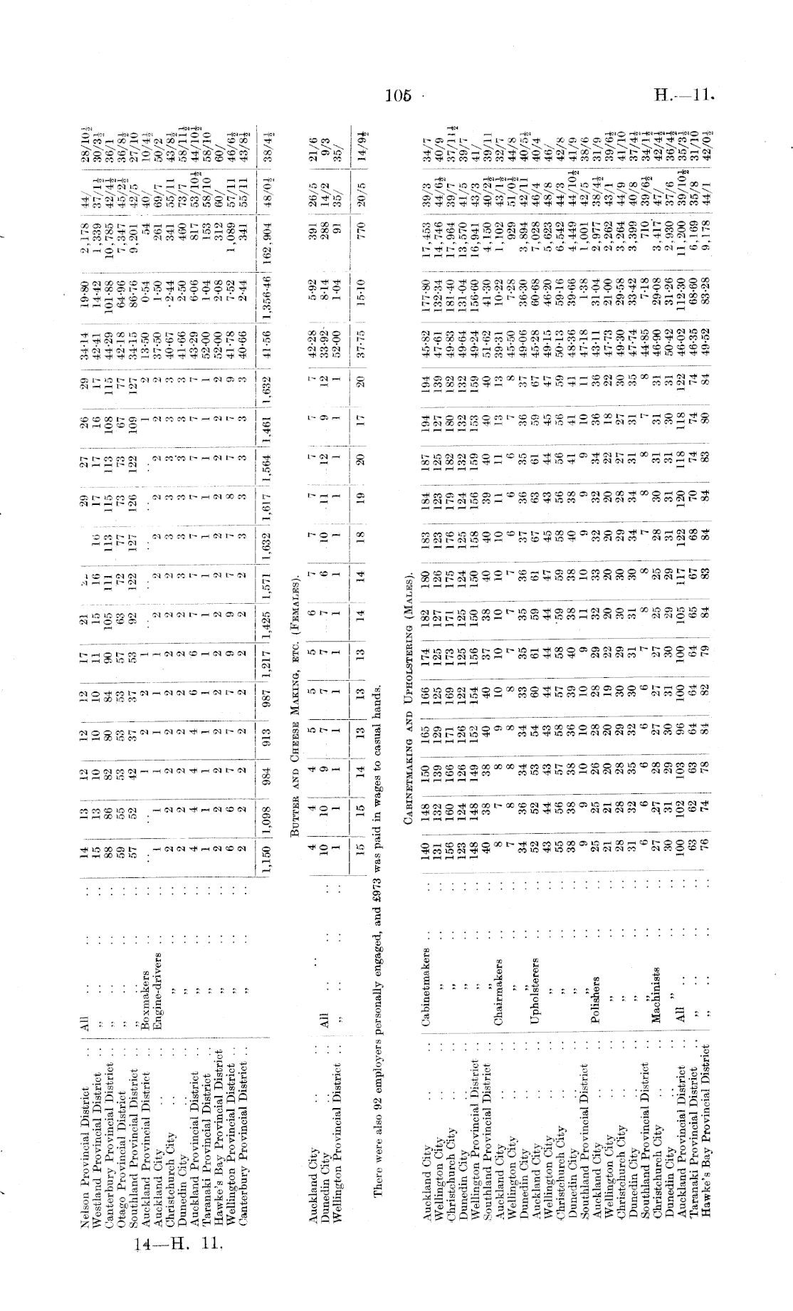
TNelson Provincial District .. All .. .. .. 14 13 Westland Provincial District „ .. . • .. 15 13 Canterbury Provincial District . . ,, .. . . . . 88 86 Otago Provincial District ,-, .. . • ■. 59 55 Southland Provincial District „ .. .. . . 57 52 Auckland Provincial District . . Boxmakers Auckland City .. .. Engine-drivers .. . . 1 1 Christchurch City . , . . „ .. . . 2 2 Dunedin City .. . . „ .. .. 2 2 Auckland Provincial District .. „ .. .. 4 4 Taranaki Provincial District . . „ .. .. 1 1 Hawke's Bay Provincial District „ .. .. 2 2 Wellington Provincial District . . „ .. . . 6 6 Canterbury Provincial District . . „ .. . . 2 2 12 l 12 12 17 I 21 I 29 27 I 26 I 29 34-14 i 19-80 i 2,178 j 44/ 28/10-J 10 ; 10 10 11 | 15 16 16 17 17 16 | 17 42-41 j 14-42 1,339 37/11 30/3i" 82 80 84 90 j 105 \ 111 113 I 115 ! 113 j 108 \ 115 44-29 : 101-88 10,785 42/41 36/1 " 53 53 53 57 ; 63 72 77 ' "73 73 67 j 77 42-18 ! 64-96 7,347 45/2* 36/8* 42 37 37 53 92 122 127 | 126 ; 122 109 j 127 34-15 86-76 9,201 42/5 27/10 1 2 2 1 .. ' 1 2 13-50 0-54 54 '40/ 10/4* 1 1 1 1 2!2 22:2 2 2 37-50 1-50 ! 261 69/7 50/2" 22222233333 40-67 ! -2-44 341 55/11 43/8* 2 2 2 2 2 3 3 13 3 3 3 41-66 ! 2-50 460 73/7 58/11* 44667777:777 43-29 I 6-06 817 53/101 44/10* 11111111111 52-00 1-04 153 58/10 58/10 52-00 ; 2-08 312 60/ 60/ 7 7 7 9 9 7 7 8;7 7 9 41-78 i 7-52 I 1,089 57/11 46/6* 22222233333 40-66 i 2-44 j 341 55/11 43/81 984 913 987 1,217 1,425 1,571 1,632 1,617 11,564 1,461 1,632 41-56 11,356-46 1 162,904 48/01 38/4* I 11,150 11,098 I Butter s and Cheese Making, etc. (Females). Auckland City .. .. .. 4 4 Dunedin City . . . . All .. .. .. 10 10 Wellington Provincial District . . „ .. .. .. 1 1 ; 15 15 4 5 5 5 6:7 7 7 I 7 I 7 ! 7 I 42-28 | 5-92 391 I 26/5 21/6 9-7 7 7 - 7 ! 6 10 : -11 ! 12 j 9 12 33-92- 8-14 288 I 14/2 9/3 1 1 1 1 1 j 1 111 1 I 1 52-00 1-04 91 j 35/ 35/ 14 13 13 13 14 14 18 I 19 I 20 17 20 | 37-75 ! 15-10 770 I 20/5 14/9* ages to casual hands. There were also 92 employers personally engaged, and £973 was paid in wi Cabii netmaking and Upholstering (Males). 150 165 166 174 182 180 \ 183 184 I 187 194 194 45-82 177-80 I 17,453 39/3 34/7 139 129 125 125 127 126 ! 123 123 125 127 139 47-61 132-34 ! 14,746 44/6* 40/9 166 171 169 173 171 175 j 176 179 182 180 182 49-83 181-40 17,964 39/7 37/11* 126 126 122 125 125 124 | 125 124 132 132 132 49-64 131-04 13,570 41/5 39/7 149 152 154 156 150 150 i 158 156 159 153 159 49-24 156-60 16,941 43/3 41/ 38 40 40 37 38 40 ; 40 39 40 40 40 51-62 41-30 4,150 40/2* 39/11 8 9 10 10 10 10 ! 10 11 11 13 i 13 39-31 10-22 1,102 43/1* 32/7 8 8 8 7 7 76 6 6 7 i 8 45-50 7-28 929 51/0* 44/8 34 34 33 35 35 36 37 36 35 36 37 49-06 36-30 3,894 42/11 40/5* 53 54 60 61 59 61 67 63 61 59 : 67 45-28 60-68 7,028 46/4 40/4 43 43 44 44 44 47 45 43 44 45 47 49-15 46-20 > 5,623 48/8 46/ 57 58 57 58 '59 59 58 56 56 56 59 50-13 59-16 6,542 44/3 42/8 38 36 39 40 38 38 40 38 41 41 41 48-36 39-66 4,449 44/101 41/9 10 10 10 9 11 10 9 9 9 10 11 47-18 1-38 1,001 42/5 38/6 26 28 28 29 32 33 32 32 34 36 36 43-11 31-04 2,977 38/41 31/9 20 20 19 22 20 20 20 20 22 18 22 47-73 21-00 2,262 43/1 39/6* 28 29 30 29 30 30 29 28 27 27 30 49-30 29-58 3,264 44/9 41/10 35 32 30 31 31 I 30 34 34 31 31 35 47-74 33-42 3,399 40/8 37/4i 66678:878878 44-85 7-18 710 39/61 34/11 28 27 27 27 25 25 28 30 31 31 31 46-90 29-08 3,417' 47/ 42/41 29 30 31 30 29 29 31 31 31 30 31 50-42 31-26 2,930 37/6 36/41 103 96 100 100 105 117 122 120 118 118 122 46-02 112-30 11,200 39/10* 35/3* 63 64 64 64 65 67 68 70 74 74 74 46-35 68-60 6,169 35/8 31/10 78 84 82 79 84 83 84 84 83 80 84 49-52 83-28 9.178 44/1 42/0* Auckland City .. .. Cabinetmakers .. .. 140 148 Wellington City .. .. „ .. .. 131 132 Ohristohuroh City . . .. „ .. .. 156 160 Dunedin City .. .. „ .. .. 123 124 Wellington Provincial District .. „ .. .. 148 148 Southland Provincial District .. „ .. 40 38 Auckland City .. .. Chairmakers .. .. 8 7 Wellington City .. .. „ .. • • 7 8 Dunedin City .. . • „ ■ • 34 36 Auckland City .. .. Upholsterers .. .. 52 52 Wellington City .. . . „ ., 43 44 Christchurch City .. .. „ . • 55 56 Dunedin City . . . • „ • • ■ • 38 38 Southland Provincial District .. „ .. .. 9 9 Auckland City .. . . Polishers .. .. 25 25 Wellington City .. .. ,, •• 21 21 Christchurch City .. •. „ • • • • 28 28 Dunedin City . . .. „ • ■ 31 32 Southland Provincial District .. „ .... .. 6 6 Christchurch City .. .. Machinists .. .. 27 3,1 Dunedin City .. .. „ ■■ 30 31 Auckland Provincial District .. All .. .. .. 100 102 Taranaki Provincial District „ .. .. .. 63 62 Hawke's Bay Provincial District „ .. .. .. 76 74

Log in or create a Papers Past website account

Use your Papers Past website account to correct newspaper text.

By creating and using this account you agree to our terms of use.

Log in with RealMe®

If you’ve used a RealMe login somewhere else, you can use it here too. If you don’t already have a username and password, just click Log in and you can choose to create one.


Log in again to continue your work

Your session has expired.

Log in again with RealMe®


Alert