Page image
Page image

19

H.—l

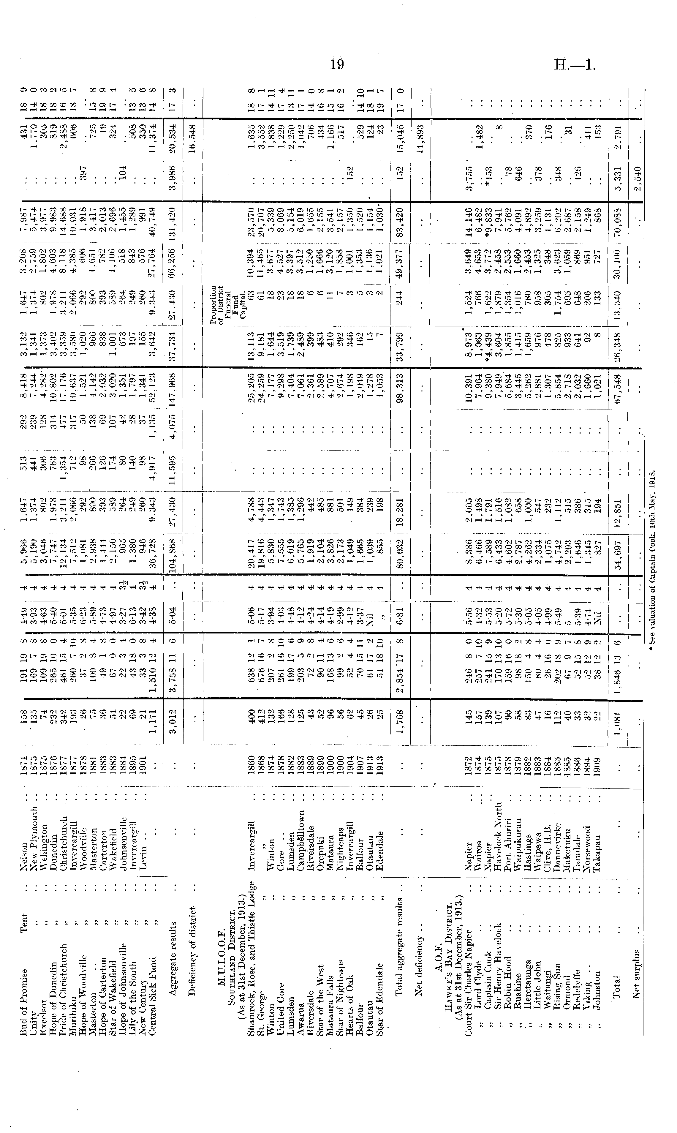
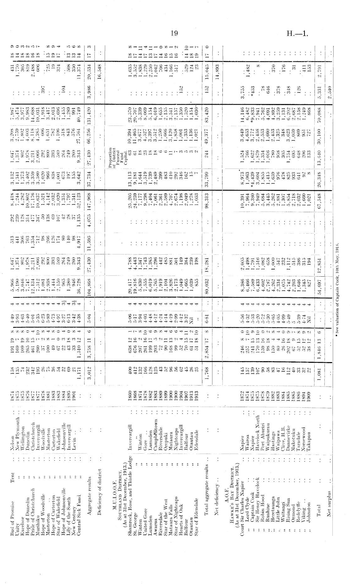
Bud of Promise Tent .. Nelson .. 1874 Unity „ .. New Plymouth .. 1875 Excelsor „ .. Wellington .. 1875 Hope of Dunedin ,, .. Dunedin .. 1876 Pride of Christchurch „ .. Christchurch .. 1877 Murihiku ,, ,. Invercargill .. 1877 Hope of Woodville „ .. Woodville .. 1878 Masterton .. „ .. Masterton .. 1881 Hope of Carterton „ .. Carterton .. 1883 Star of Wakefield „ .. Wakefield .. 1883 Hope of Johnsonville „ .. Johnsonville .. 1884 Lily of the South „ .. Invercargill .. 1895 New Century „ .. Levin .. .. 1901 Central Sick Fund ,, 158 " 135 74 232 342 193 26 75 36 54 22 69 21 1,171 191 19 8 169 7 8 109 19 8 265 10 0 461 15 4 260 7 10 37 2 8 100 8 4 49 1 8 67 0 0 22 3 4 43 18 0 33 3 8 1,510 12 4 4-49 4 3-93 4 4-63 4 5-40 4 501 4 5-35 4 6-23 4 5-89 ■ 4 4-73 4 4-97 4 3-27 3* 6-13 4 3-42 3J 4-38 4 5,966 1,647 513 5,190: 1,374 441 3,046 : 802 306 7,747 I 1,978 763 12,134 3,211 1,354 7,512 ! 2,066 712 1,081 j 292 98 2,938 i 800 " 266 1,444 j 393 126 2,150 I 589 174 965 | 264 80 1,380 249 140 946 260 98 36,728 9,343 4,917 292 239 128 314 477 347 50 138 69 107 42 28 37 1,135 . 8,418 7,244 4,282 10,802 17,176 10,637 1,521 4,142 2,032 3,020 1,351 1,797 1,341 52,123 3,132 1,341 1,373 3,402 3,359 3,580 1,020 966 838 1,001 673 197 155 3,642 1,647 1,374 802 1,978 3,211 2.066 292 800 393 589 264 249 260 9.343 . 3,208 7,987 2,759 5,474 1,802 3,977 4,603 9,983 8,118 14,688 4,385 10,031 606 ! 1,918 1,651 | 3,417 782 2,013 1,106 2,696 518 | 1,455 843 ; 1,289 576 ! 991 27,764 40,749 397 104 431 1.770 305 819 2,488 606 725 19 324 508 350 11,374 18 9 14 0 18 3 18 2 16 5 18 7 15 8 19 9 17 4 13 5 13 6 14 8 L — r~. Aggregate results .. .. .. ■ \ ', 3,012 3,012 3,758 11 6 5-04 104,868 i 27,430 11,595 4,075 147,968 37,734 | 27,430 66,256 1131,420 3,986 20,534 17 3 Deficiency of district 16,548 ; M.U.I.O.O.F. Southland District. (As at 31st December, 1913.) Shamrock, Rose, and Thistle Lodge Invercargill .. 1860 St. George „ „ .. 1868 Winton „ Winton .. 1874 United Gore „ Gore .. .. 1878 Lumsden ,, Lumsden .. 1882 Awarua ,, Campbelltown .. 1883 Riversdale „ Riversdale .. 1889 Star of the West „ Orepuki .. 1899 Mataura Falls „ Mataura .. 1900 Star of Nightcaps „ Nightcaps .. 1900 Hearts of Oak ,, Invercargill .. 1904 Balfour „ Balfour .. 1907 Otautau „ Otautau .. 1913 Star of Edendale „ Edendale .. 1913 Total aggregate results .. .. 400 412 132 166 128 125 43 52 96 56 62 45 26 25 1,768 638 12 1 676 16 7 207 2 8 261 16 10 199 17 6 203 5 9 72 2 8 90 11 4 168 13 6 99 2 6 52 4 4 70 15 11 61 17 2 51 18 10 506 5-17 3-94 4-03 4-48 4-12 4-24 414 419 2-99 412 3-37 Nil 4 4 4 4 4 4 4 4 4 4 4 4 4 4 20,417 : 4,788 19,816 4,443 5.830 I 1,347 7,555 ! 1,743 6,019 : 1,385 5.765 : 1,296 1,919 I 442 2,104 I 485 3,826 I 881 I 2,173 501 1,049 149 : 1,665 384 ! 1,039 239 | 855 j 198 25,205 24,259 7,177 9,298 7,404 7,061 2,361 2,589 4,707 2,674 1,198 2,049 1,278 1,053 Proportion of District Funeral Fund Capital. 13,113 63 10,394 23,570 9,181 61 11,465 20,707 1,644 18 3,677 5,339 3,519 23 4,527 8,069 1,739 18 3,397 5,154 2,489 18 3,512 j 6,019 399 6 1,250 ! 1,055 483 6 1,666 I 2,155 410 11 3,120 j 3,541 292 7 1,858 2,157 346 3 1,001 1,350 162 5 1,353 1,520 15 3 i 1,136 1,154 7 2 ! 1,021 1,030152 1,635 3,552 1,838 1,229 2,250 1,042 706 434 1,166 517 529 124 23 18 8 17 1 14 11 17 4 13 11 17 1 14 0 16 8 15 1 16 2 14 10 18 1 19 7 1,768 2,854 '17 8 6-81 ! 80,032 | 18,281 | 98,313 33,799 | 33,799 244 49,377 | 83,420 152 15,045 17 0 Net deficiency .. .. | 14,893 A.O.F. Hawke's Bay District. (As at 31st December. 1913.) Court Sir Charles Napier .. Napier .. 1872 ,, Lord Clyde .. .. Wairoa ... 1874 ., Captain Cook .. .. Napier .. 1875 ,, Sir Henry Havelock .. Havelock North 1875 „ Robin Hood .. '.. Port Ahuriri .. 1878 „ Ruahine .. .. Waipukurau .. 1879 '„ Heretaunga .. .. Hastings .. 1882 Little John .. .. Waipawa .. 1883 „ Waitangi .. .. Clive, H.B. .. 1884 „ Rising Sun .. .. Dannevirke .. 1885 „ Ormond .. .. Makotuku .. 1885 „ Redclyffe .. .. Taradale .. 1886 „ Viking .. .-. .. Norsewood .. 1894 ,, Johnston .. .. Takapau .. 1909 1872 1874 1875 1875 1S78 1879 1882 1883 1884 1885 1S85 1886 1894 1909 145 157 139 107 90 58 83 47 16 112 40 33 32 22 145 157 139 107 90 58 83 47 16 112 40 33 32 22 246 8 0 257 7 10 241 15 9 170 13 10 159 16 0 98 18 2 150 4 8 80 4 4 26 16 0 202 18 9 67 9 7 52 15 8 52 12 9 38 12 2 5-56 4 4-32 4 5-53 4 5-20 4 5-72 4 5-30 4 5-05 4 4-05 4 4-99 4 5-49 4 5 4 5-39 4 4-T4 4 Nil 4 8,386 6,466 7,589 6,433 4,602 2,787 4,262 2,334 1,075 4,742 2,203 1,646 1,345 827 2,005 1,498 1,791 1,516 1,082 1.000 547 232 1,112 515 386 315 194 10,391 7,964 9,380 7,949 5,684 3,445 5,262 2,881 1,307 5,854 2,718 2,032 1.660 1,021 8,973* 1,524 3,649 ! 14,146 1,063 766 4,653 6,482 *4.439 1,622 3,772 *9,833 3,604 1,879 2,458 7,941 1,855 1,354 ; 2,553 5,762 1,415 1,016 1,660 4,091 1,659 780 2,453 4,892 976 958 1,325 3,259 478 305 348 1,131 825 1,754 | 3,623 6,202 933 695 | 1,059 2,687 641 648 869 ! 2,158 92 206 951 1,249 8 133 72, 868 3,755 *453 78 646 378 348 126 1,482 8 370 176 31 411 153 Total .. .. .. .. 1 1,081 1,081 1,846 13 6 12,851 I 67,548 26,348 13,640 30,100 70,088 54,697 5,33 1 2,791 ~ — I Net surplus .. .. | f 2,540 * See valuation of Captain Cook, 10th May, 1918.

Log in or create a Papers Past website account

Use your Papers Past website account to correct newspaper text.

By creating and using this account you agree to our terms of use.

Log in with RealMe®

If you’ve used a RealMe login somewhere else, you can use it here too. If you don’t already have a username and password, just click Log in and you can choose to create one.


Log in again to continue your work

Your session has expired.

Log in again with RealMe®


Alert