Page image
Page image

17

H.—l.

3—H. 1.

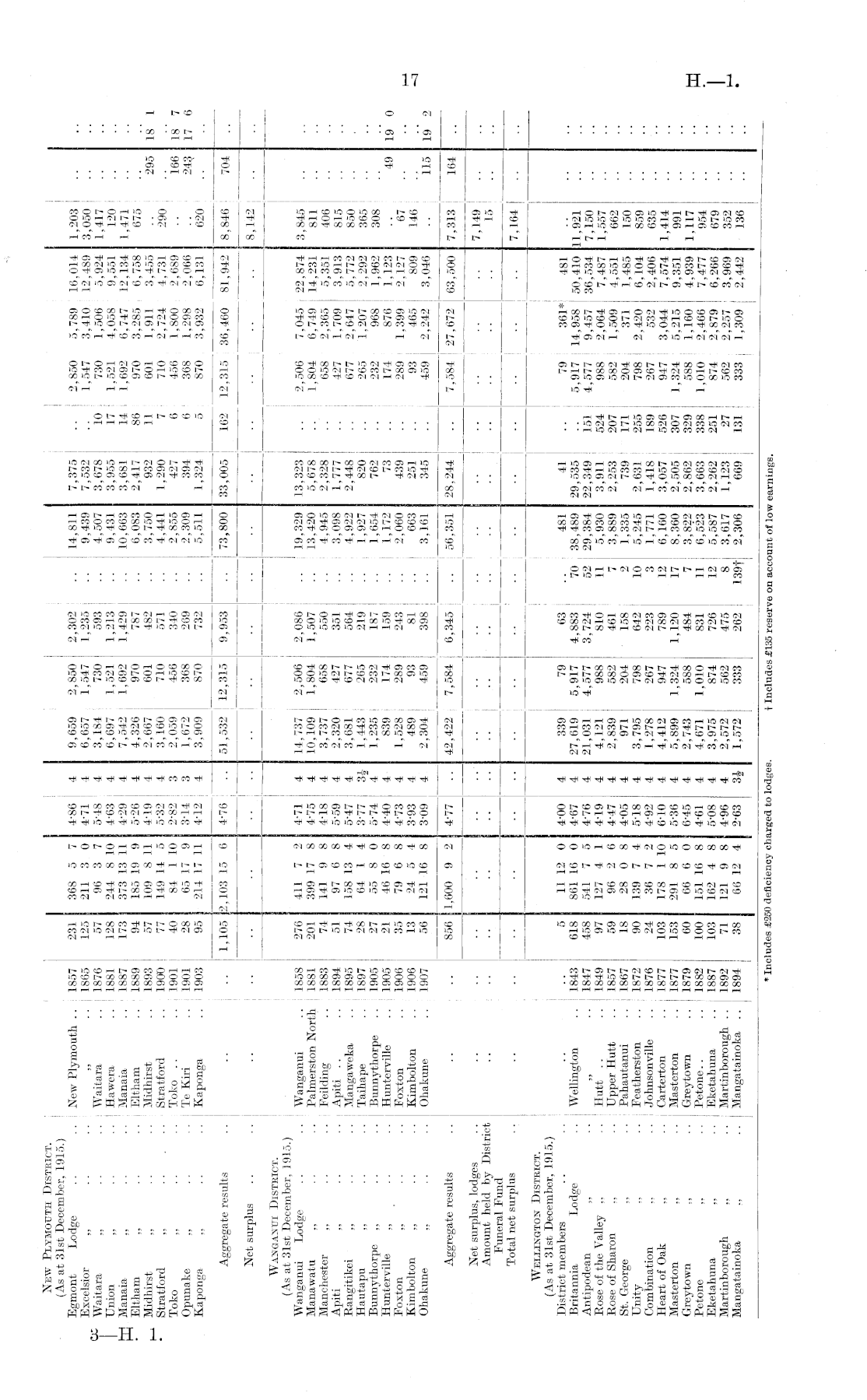
New Plymouth District. (As at 31st December, 1915.) Egmont Lodge .. .. New Plymouth .. 1857 Excelsior ,, .. .. ,, .. 1865 Waitara ,, .. .. Waitara .. 1876 Union ,, .. .. Hawera .. 1881 Manaia ,, .. .. Manaia .. 1887 Eltham ., .. .. j Eltham .. 1889 Midhirst „ .. .. j Midhirst .. 1893 Stratford „ .. - -- Stratford .. 1900 Toko ., ' .. .. i Toko .. .. 1901 Opunake „ . . .. Te Kiri .. 1901 Kaponga „ .. .. Kaponga .. 1903 231 125 57 128 173 94 57 77 40 28 95 368 5 7 211 3 0 96 3 7 244 8 10 373 13 11 185 19 9 109 8 11 149 14 5 84 1 10 65 17 9 214 17 11 4-86 4 4-71 4 5-48 4 4-63 4 4*29 4 5-26 4 4-19 4 5-32 4 2*82 3 3*14 3 4-12 4 9,659 6,657 3,184 6,697 7,542 4,326 2,667 3,160 2,059 1.672 3,909 2,850 1,547 730 1,521 1,692 970 601 710 456 368 870 2,302 1,235 593 1,213 1,429 787 482 571 340 269 732 14,811 9,439 4,507 9,431 10,663 6,083 3,750 4,441 2,855 2,309 5,511 7,375 7,532 3,678 3,955 3,681 2,417 932 1,290 427 394 1,324 2,850 1,547 10 730 17 1,521 14 1,692 86 970 11 601 7 710 6 456 6 368 5 870 5,789 | 16,014 3,410 ' 12,489 1,506 ! 5,924 4,058 9,551 6,747 12,134 3,285 i 6,758 1,911 3,455 2,724 ! 4,731 1,800 2,689 1,298 2,066 3,932 6,131 1,203 3,050 1,417 120 1,471 675 290 620 \ 295 166 243 18 18 17 Aggregate results 1,105 12,103 15 6 4-76 I 51,532 12,315 9,953 73,800 33,005 162 | 12,315 J 36,460 81,942 8,846 ■ 704 I . Net surplus 8,142 Waistgantji District. (As at 31st December, 1915.) Wanganui Lodge .. . . j Wanganui .. j 1858 Manawatu „ .. .. Palmerston North 1881 Manchester „ .. .. Feilding .. 1883 Apiti „ .. .. ! Apiti .. .. 1894 Rangitikei „ .. . . Mangaweka .. 1895 Hautapu ,, .. .. | Taihape .. ! 1897 Bunnythorpe „ .. .. Bunnythorpe .. 1905 Hunterville „ .. .. Hunterville .. 1905 Foxton „ . . .. Foxton .. '. 1906 Kimbolton „ .. .. Kimbolton .. | 1906 Ohakune „ . . . . Ohakune .. ! 1907 276 201 74 51 74 28 27 21 35 13 56 411 7 2 399 17 8 141 9 8 97 6 8 158 13 4 64 1 4 55 8 0 46 16 8 79 6 8 24 5 4 121 16 8 4-71 4-75 4-18 5-59 5-47 3-77 5-74 4-40 4-73 3-93 3-09 4 4 4 4 4 4 4 4 4 4 14,737 10,109 3,737 2,320 3,681 1,443 1,235 839 1,528 489 2,304 2,506 1,804 658 427 677 265 232 174 289 93 459 2,086 1,507 550 351 564 219 187 159 243 81 398 | 19,329 13,420 4,945 3,098 4,922 1,927 1,654 1,172 2,060 663 3,161 13,323 5,678 2,328 1,777 2,448 820 762 73 439 251 345 2,506 1,804 658 427 ; 677 265 232 174 289 93 459 7,045 i 22,874 6,749 14,231 2,365 5,351 1,709 3,913 2,647 5,772 1,207 2,292 968 1,962 876 1,123 1,399 2,127 465 809 2,242 3,046 3,845 811 406 815 850 365 308 ! 67 146 49 115 19 0 19 2 — Aggregate results 856 1,600 9 2 4-77 42,422 7,584 6,345 _„ „-, 56,351 28,244 7,584 27,672 63,500 7,313 164 Net surplus, lodges Amount held by District Funeral Fund Total net surplus • -• 7,149 ! 15 \ " 7,164 ' I I i Wellington District. (As at 31st December, 1915.) District members .. Britannia Lodge .. Wellington .. 1843 Antipodean „ .. „ .. 1847 Rose of the Valley „ .. Hutt .. .. 1849 Rose of Sharon „ . . Upper Hutt .. 1857 St. George ,, .. Pahautanui .. 1867 Unity „ .. Featherston .. 1872 Combination ,. .. Johnsonville .. 1876 Heart of Oak „ .. Carterton .. 1877 Masterton ,, .. j Masterton .. 1877 Grevtown „ . . Greytown .. 1879 Petone „ .. Petone.. .. 1882 Eketahuna „ . . j Eketahuna .. i 1887 Martinborough ,, .. Martinborough .. j 1892 Mangatainoka ,, .. | Mangatainoka .. | 1894 5 618 458 97 59 18 90 24 103 153 60 100 103 71 38 11 12 0 861 16 0 541 7 5 127 4 1 96 2 6 28 0 8 139 7 4 36 7 2 178 1 10 291 8 5 66 6 0 151 16 8 162 4 8 121 9 8 66 12 4 4-00 4-67 4-76 419 4-47 4-05 5-18 4-92 6-10 5-36 6-45 4-61 5-08 4-96 2-63 4 4 4 4 4 4 4 4 4 4 4 4 4 4 3J 339 27,619 21,031 4,121 2,839 971 3,795 1,278 4,412 5,899 2,743 4,671 3,975 2,572 1,572 79 5,917 4,577 988 582 204 798 267 947 1,324 588 1,010 874 562 333 63 4,883 3,724 810 461 158 642 223 789 1,120 484 831 726 475 262 481 70 , 38,489 52 29,384 11 5,930 7 3,889 2 1,335 10 5,245 3 1,771 12 6,160 17 8,360 7 3,822 11 ! 6,523 12 i 5,587 8 j 3,617 139f: 2,306 41 29,535 22,349 3,911 2,253 739 2,631 1,418 3,057 2,505 2,862 3,663 2,262 1,123 669 151 524 207 171 255 189 526 307 329 338 251 27 131 79 361* 481 5,917 j 14,958 50,410 4,577 i 9,457 36,534 988 2,064 7,487 582 1,509 4,551 204 371 1,485 798 2,420 6,104 267 532 2,406 947 3,044 7,574 1,324 ; 5,215 9,351 588 ■ 1,160 4,939 1,010 2,466 7,477 874 : 2,879 6,266 562 2,257 3,969 333 . 1,309 2,442 11,921 7,150 1,557 662 150 859 635 1,414 991 1,117 954 679 352 136 * Includes £250 deficiency charged to lodges. t Includes £135 reserve on account of low earnings.

Log in or create a Papers Past website account

Use your Papers Past website account to correct newspaper text.

By creating and using this account you agree to our terms of use.

Log in with RealMe®

If you’ve used a RealMe login somewhere else, you can use it here too. If you don’t already have a username and password, just click Log in and you can choose to create one.


Log in again to continue your work

Your session has expired.

Log in again with RealMe®


Alert