Page image
Page image

s—B, 1 [Pt. lII].

THE PUBLIC DEBT OF NEW ZEALAND. STATEMENT OF SECURITIES CHARGED ON THE PUBLIC REVENUES OF NEW ZEALAND AND OUTSTANDING ON 31st MARCH, 1927—continued.

B.—l [Pt. Ill].

PUBLIC ACCOUNTS, 19 2 6-1 927.

33

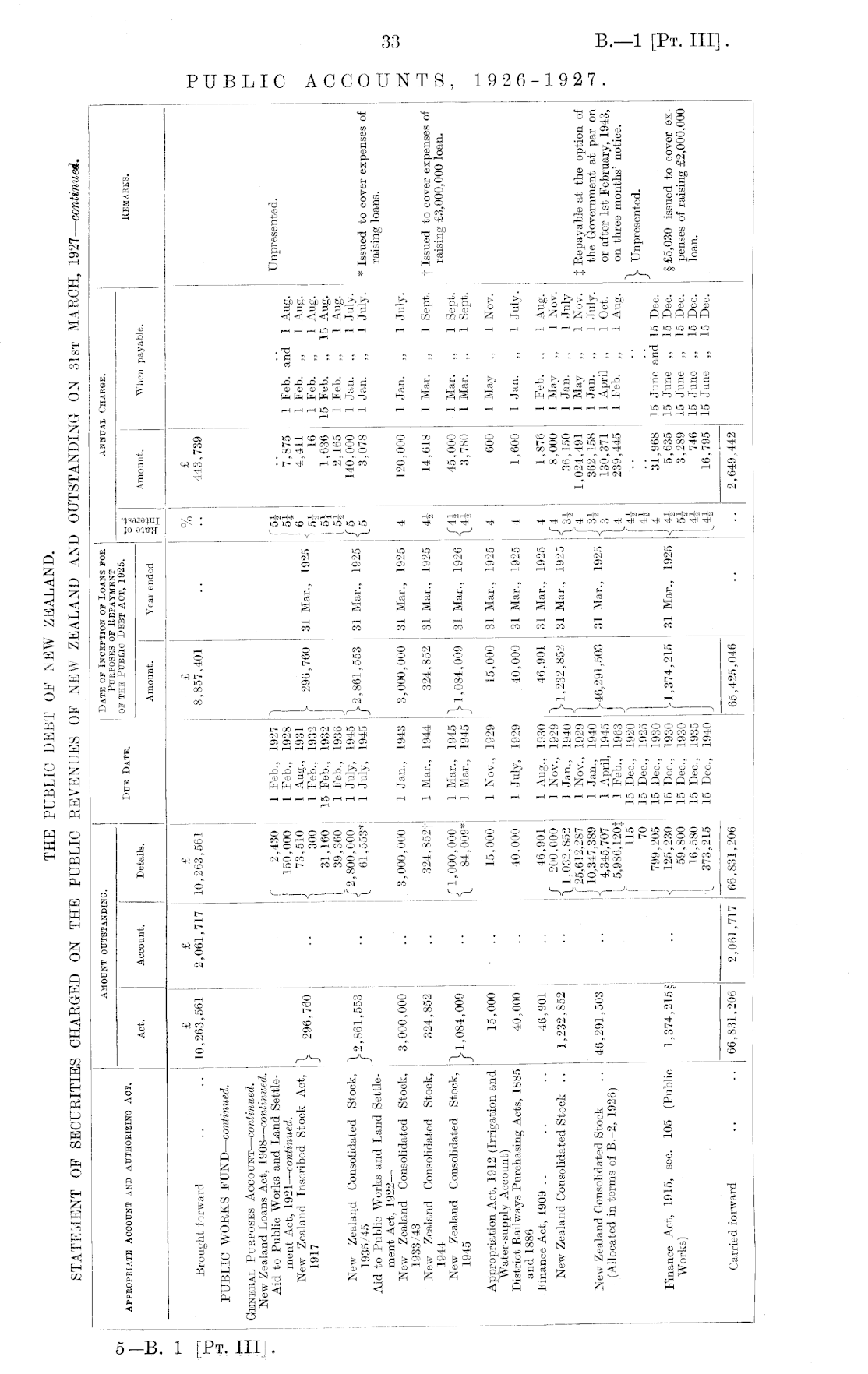
Amount outstanding. Date of Inception of Loans for annual Charge. Purposes of Repayment t-. ,of the Public Debt Act, 1925. i PPMiRri! Appropriate Account and authorizing Act. due date. o jxemarko. Act. Account. Details. 3 & Amount. When payable. Amount. Year ended £ £ £ £ % £ Brought forward .. .. 10,263,561 2,061,717 10,263,561 8,857,401 .. 443,739 PUBLIC WORKS FUND —continued. Genekal Purposes Account —continued. New Zealand Loans Act, 1908 —continued. Aid to Public Works and Land Settle- f 2,430 1 Feb., 1927 "1 f 5J .. Unpresented. ment Act, 1921 —continued. 150,000 1 Feb., 1928 5J 7,875 1 Feb. and 1 Aug. New Zealand Inscribed Stock Act, \ 0QR ™ J 73,510 1 Aug., 1931 , 9qR - fif) M lq9 e j 6 4,411 1 Feb. „ 1 Aug. 1917 r 296,760 .. i 300 ! Feb., 1932 f zab > 7b0 31 Mar., iy~0 16 1 Feb 1 Aug. j 31,160 15 Feb., 1932 I | o{ 1,636 15 Feb. „ 15 Aug. ! j l 39,360 | 1 Feb., 1936 |J | L5| 2,165 1 Feb. „ 1 Aug. New Zealand Consolidated Stock, /2,800,000 1 July, 1945 j\„ W o oi M„ r iqoi= / 5 140,000 1 Jan. „ 1 July. 1935/45 861, 553 .. 61,553* 1 July, 1945 j^>° b ' '' \5 3,078 1 Jan. „ 1 July. * Issued to cover expenses of Aid to Public Works and Land Settle- | " i ' raising loans. ment Act, 1922 — ! | New Zealand Consolidated Stock, | 3,000,000 .. 3,000,000 ! 1 Jan., 1943 3,000,000 31 Mar., 1925 4 120,000 1 Jan. „ 1 July. 1933/43 i New Zealand Consolidated Stock, j 324,852 .. i 324,852-f 1 Mar., 1944 324,852 31 Mar., 1925 14,618 1 Mar. „ 1 Sept. j- Issued to cover expenses of 1944 ! raising £3,000,000 loan. New Zealand Consolidated Stock, \ nnQ |/1,000,000 1 Mar., 1945 w /4J 45,000 1 Mar. ,, 1 Sept. 1945 ' " 84,009*| 1 Mar., 1945 j- 1 . "84,009 31 mar., 19/b 3;7g0 j _ 1 Sept. Appropriation Act, 1912 (Irrigation and 15,000 .. 15,000 1 Nov., 1929 15,000 31 Mar., 1925 4 600 1 May „ 1 Nov. Water-supply Account) District Railways Purchasing Acts, 1885 40,000 .. 40,000 j 1 July, 1929 40,000 31 Mar., 1925 4 1,600 1 Jan. ,, 1 July. and 1886 j Finance Act, 1909 .. .. .. 46,901 .. 46,901 1 Aug., 1930 46.901 31 Mar., 1925 4 1,876 1 Feb. „ 1 Aug. AT 7 1 TJ + 1 i ooo QKO / 200,000 1 Nov., 1929 0Q9 Q i M o, iqo* / 4 8 > 000 1 Ma ? » 1 Nov - i New Zealand Consolidated Stock .. 1,232,852 .. n 1,032,852 1 Jan., 1940 J 1 ' 232 ' 852 31 Mar., 1925 361go j Jan . „ l July . f 25,612,287 1 Nov., 1929 j' 4 1,024,491 1 May „ 1 Nov. { Repayable at the option of „ „ , , n ! 10,347,389 1 Jan., 1940 I M lnoK 3J 362,158 1 Jan. „ 1 July, i the Government at par on New Zealand Consolidated Stock . 46,291,503 .. < 4,345,707 1 April, 1945 ,'" 46 ' 29 ' 31 Mar., 1925 < 130,371 1 April „ 1 Oct. 1 or after 1st February, 1943, (Allocated m terms of B. 2, 19~6) L 5,986, 120J ] Feb., 1963 J L 4 239,445 1 Feb. „ 1 Aug. on three months' notice. f 115 15 Dec., 1920 f 4J .. \ TT nra . esen + e( i | 70 15 Dec., 1925 4J .. . - / Un P re - entecl - 799,205 15 Dec., 1930 4 31,968 15 June and 15 Dec. Finance Act, 1915, sec. 105 (Public 1,374,215§ .. <; 125,230 15 Dec., 1930 j ,374,215 31 Mar., 1925 <( 4-| 5,635 15 June ,, 15 Dec. §£5,030 issued to cover exWorks) 59,800 15 Dec., 1930 5b 3,289 15 June ,, 15 Dec. penses of raising £2,000,000 16.580 i 15 Dec., 1935 4J 746 15 June „ 15 Dec. loan. •[_ 373,215 I 15 Dec., 1940 J 16,795 15 June „ 15 Dec. Carried forward .. .. 66,831,206 2,061,717 66,831,206 j 65,425,046 .. .. 2,649,442

Log in or create a Papers Past website account

Use your Papers Past website account to correct newspaper text.

By creating and using this account you agree to our terms of use.

Log in with RealMe®

If you’ve used a RealMe login somewhere else, you can use it here too. If you don’t already have a username and password, just click Log in and you can choose to create one.


Log in again to continue your work

Your session has expired.

Log in again with RealMe®


Alert