Page image
Page image

C.—5

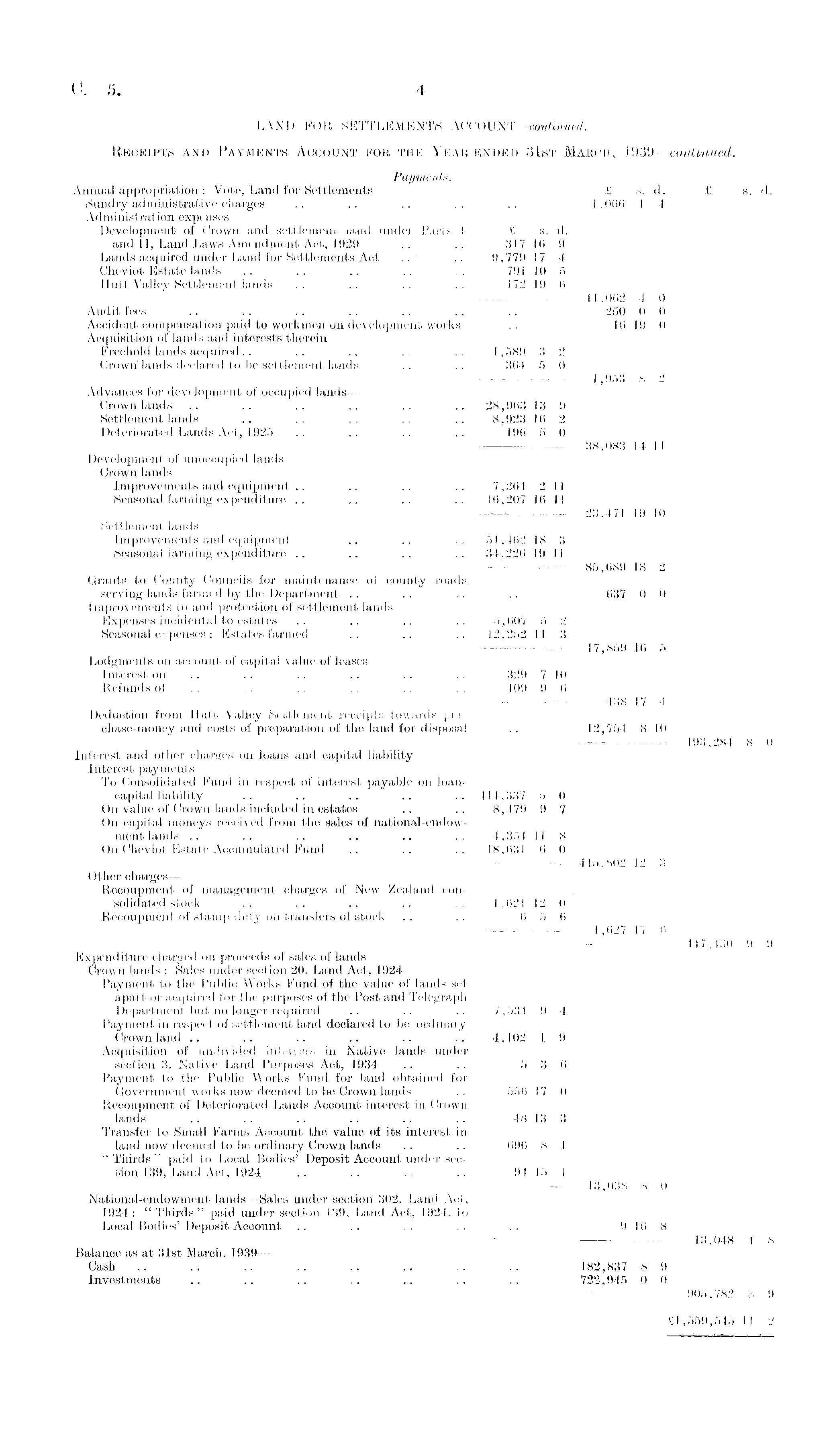
LAND FOR SETTLEMENTS ACCOUNT—continued. Receipts and Payments Account eor the Year ended 31st March, 1939 —continued. Payments. Annual appropriation: Vote, Land for Settlements— £ s. d. £ s. d. Sundry administrative charges .. .. .. .. .. 1,066 1 4 Administration expenses— Development of Crown and settlement land under Parts 1 £ s. d. and 11, Land Laws Amendment Act, 1929 .. .. 317 16 9 Lands acquired under Land for Settlements Act .. .. 9,779 17 4 Cheviot Estate lands .. .. .. .. .. 791 10 5 Hutt Valley Settlement lands .. .. .. .. 172 19 6 11,062 4 0 Audit fees .. .. .. .. .. .. .. 250 0 0 Accident compensation paid to workmen on development works .. 16 19 0 Acquisition of lands and interests therein— Freehold lands acquired.. .. .. .. .. 1,589 3 2 Crown' lands declared to be settlement lands .. .. 364 5 0 1,953 8 2 Advances for development of occupied lands — Crown lands .. .. .. .. .. .. 28,963 13 9 Settlement lands .. .. .. .. .. 8,923 16 2 Deteriorated Lands Act, 1925 .. .. .. .. 196 5 0 38,083 14 11 Development of unoccupicd lands— Crown lands— Improvements and equipment .. .. .. .. 7,264 2 1 I Seasonal farming expenditure .. .. .. .. 16,207 16 11 23,471 19 10 Settlement lands — Improvements and equipment .. .. .. 51,462 18 3 Seasonal farming expenditure .. .. .. .. 34,226 19 11 85,689 IS 2 Grants to County Councils for maintenance of county roads serving lands farmed'by the Department .. .. . . .. 637 0 0 Improvements to and protection of settlement lands— Expenses incidental to estates .. ~ .. .. 5,607 5 2 Seasonal expenses: Estates farmed .. .. .. 12,252 11 3 17,859 16 5 Lodgments on account of capital value of leases— Interest on .. .. .. .. ... .. 329 7 10 Refunds of .. .. .. .. .. .. 109 9 6 438 17 4 Deduction from Hutt Valley Settlement receipts towards pur-chase-money and costs of preparation of the land for disposal .. 12,754 8 10 193,284 8 0 Interest and other charges on loans and capital liability— Interest payments— To Consolidated Fund in x'espeet of interest payable on loancapital liability .. .. .. .. .. 414,337 5 0 On value of Crown lands included in estates .. .. 8,479 9 7 On capital moneys received from the sales of national-endow-ment lands .. .. .. .. .. .. 4,354 11 8 On Cheviot Estate Accumulated Fund .. .. .. 18,631 6 0 445,802 12 3 Other charges— Recoupment of management charges of Now Zealand consolidated stock .. .. .. .. .. 1,621 12 0 Recoupment of stamp duty on transfers of stock .. .. 6 5 6 1,627 17 6 447,430 9 9 Expenditure charged on proceeds of sales of lands — Crown lands : Sales under section 20, Land Act, 1924— Payment to the Publio Works Fund of the value of lands set apart or acquired for the purposes of the Post and Telegraph Department but no longer required .. .. .. 7,534 9 4 Payment in respect of settlement land declared to be ordinary Crown land .. .. .. .. .. .. 4,102 1 9 Acquisition of undivided interests in Native lands under section 3, Native Land Purposes Act, 1934 .. .. 5 3 0 Payment to the Public Works Fund for land obtained for Government works now deemed to be Crown lands .. 556 17 0 Recoupment of Deteriorated Lands Account interest in Crown lands .. .. .. .. .. .. 48 13 3 Transfer to Small Farms Account the value of its interest in land now deemed to be ordinary Crown lands .. .. 696 8 I "Thirds" paid to Local Bodies' Deposit Account under section 139, Land Act, 1924 .. .. .. .. 94 15 1 13,038 8 0 National-endowment lands —Sales under section 302, Land Act, 1924 : " Thirds" paid under seotion 139, Land Act, 1924, to Local Bodies' Deposit Acoount .. .. .. .. .. 9 16 8 13,048 4 8 Balance as at 31st March, 1939 — Cash .. .. .. .. .. .. .. .. 182,837 8 9 Investments .. .. .. .. .. .. .. 722,945 0 0 905,782 8 9 £1,559,545 11 2

4

Log in or create a Papers Past website account

Use your Papers Past website account to correct newspaper text.

By creating and using this account you agree to our terms of use.

Log in with RealMe®

If you’ve used a RealMe login somewhere else, you can use it here too. If you don’t already have a username and password, just click Log in and you can choose to create one.


Log in again to continue your work

Your session has expired.

Log in again with RealMe®


Alert