Page image
Page image

8.—7 [FT. I]

YEAR ENDING 31 MARCH, 1943.

SOCIAL SECURITY FUND— continued.

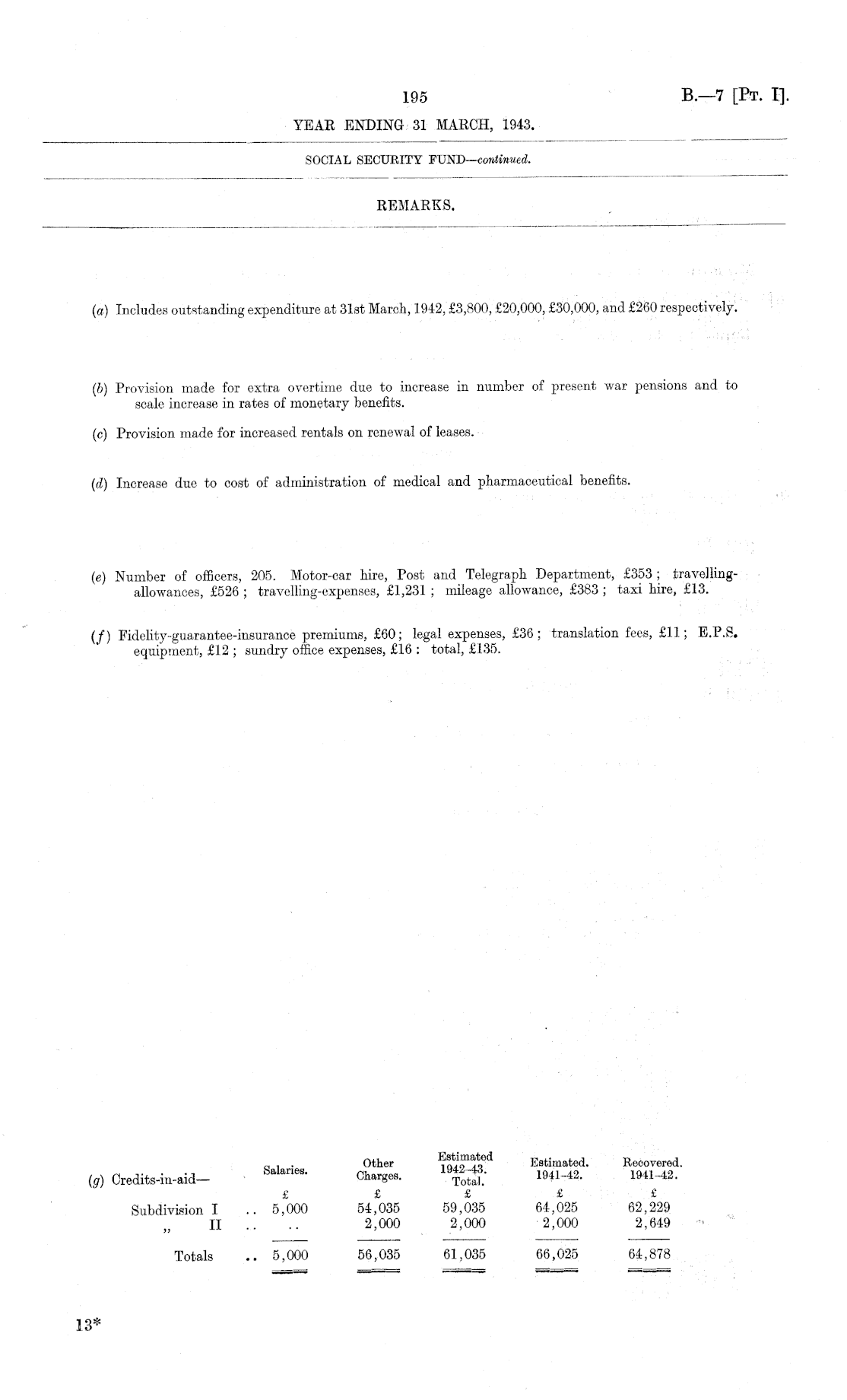
REMARKS. (a) Includes outstanding expenditure at 31st March, 1942, £3,800, £20,000, £30,000, and £260 respectively. (b) Provision made for extra overtime due to increase in number of present war pensions and to scale increase in rates of monetary benefits. (c) Provision made for increased rentals on renewal of leases. (d) Increase due to cost of administration of medical and pharmaceutical benefits. (e) Number of officers, 205. Motor-car hire, Post and Telegraph Department, £353 ; travellingallowances, £526 ; travelling-expenses, £1,231 ; mileage allowance, £383 ; taxi hire, £13. (/) Fidelity-guarantee-insurance premiums, £60; legal expenses, £36; translation fees, £11; E.P.S. equipment, £12 ; sundry office expenses, £16 : total, £135. -. . Other F fnlTf» A Estimated. Recovered. (g) Credits-in-aid- Charges. 1941-42. 1941-42. Subdivision I .. 5,000 54,035 59,035 64,025 62,229 II .. 2,000 2,000 2,000 2,649 Totals .. 5,000 56,035 61,035 66,025 64,878 13*

195

Log in or create a Papers Past website account

Use your Papers Past website account to correct newspaper text.

By creating and using this account you agree to our terms of use.

Log in with RealMe®

If you’ve used a RealMe login somewhere else, you can use it here too. If you don’t already have a username and password, just click Log in and you can choose to create one.


Log in again to continue your work

Your session has expired.

Log in again with RealMe®


Alert