Page image
Page image

H—3oa

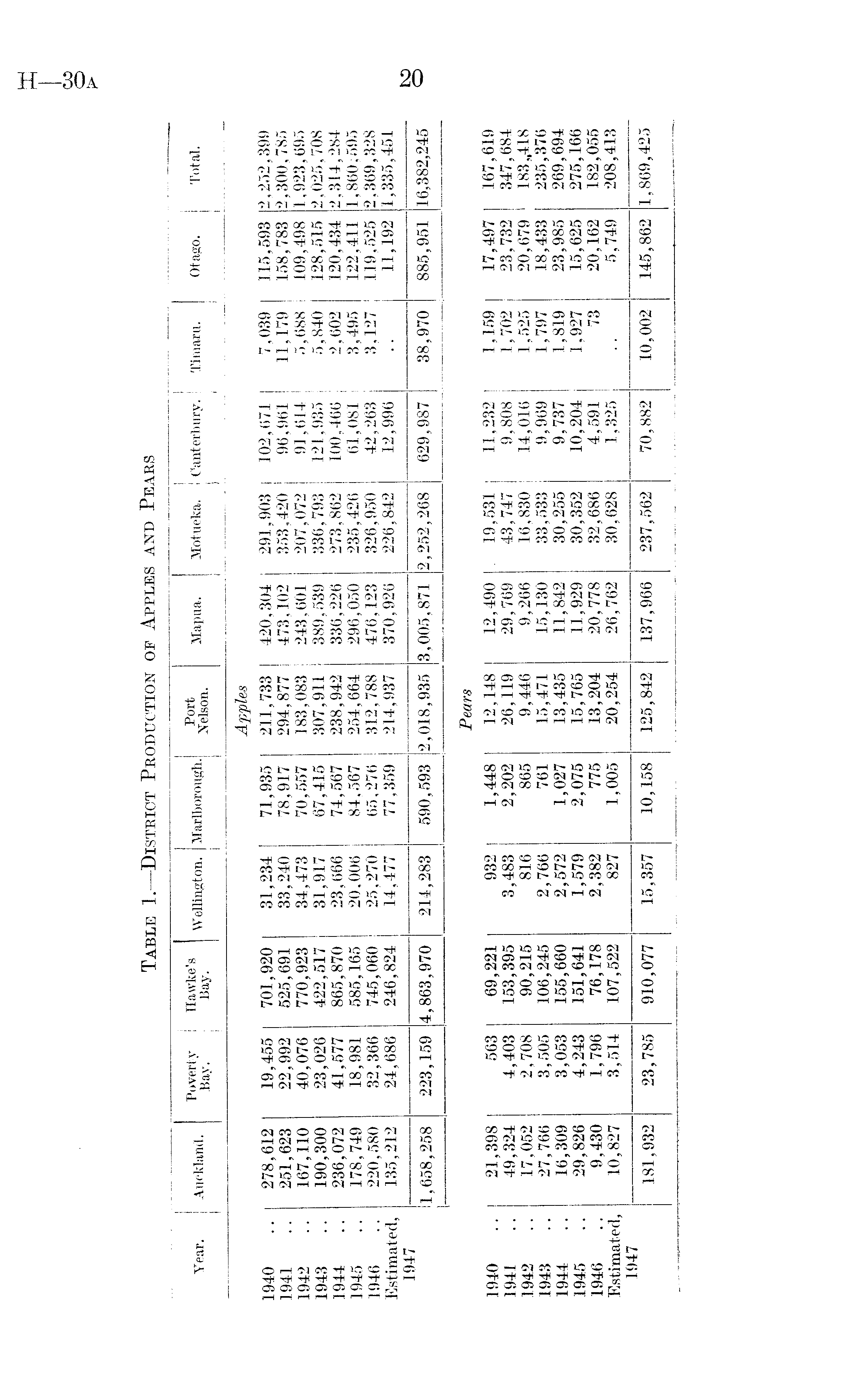
Table 1.—District Production of Apples and Pears

20

Year. Auckland. Poverty i Bay. TIawke's Bay. J Wellington. Marlborough. Port Nelson. Mapua. Motueka. Canterbury. Timaru. Otago. Total. Apples 1940 278,612 19,455 701,920 31,234 71,935 211,733 420,304 291,903 102,671 7,039 115,593 2,252,390 1941 251,623 22,992 525,691 33,240 78,917 294,877 473,102 353,420 96,961 11,179 158,783 2,300,785 1942 167,110 40,076 770,923 34,473 70,557 183,083 243,601 207,072 91,614 5,688 109,498 1,923,695 1943 190,300 23,026 422,517 31,917 67,415 307,911 389,539 336,793 121,935 5,840 128,515 2,025,708 1944 236,072 41,577 865,870 23,666 74,567 238,942 336,226 273,862 100,466 2,602 120,434 2,314,284 1945 178,749 18,981 585,165 20,006 84,567 254,664 296,050 235,426 61,081 3,495 122,411 1,860; 595 1946 220,580 32,366 745,060 25,270 65,276 312,788 476,123 326,950 42,263 3,127 119,525 2,369,328 Estimated, 1947 135,212 24,686 246,824 14,477 77,359 214,937 370,926 226,842 12,996 11,192 1,335,451 1,658,258 223,159 4,863,970 214,283 590,593 2,018,935 3,005,871 2,252,268 629,987 38,970 885,951 16,382,245 .— Pears 1940 21,398 563 69,221 932 1,448 12,148 12,490 19,531 11,232 1,159 17,497 167,619 1941 49,324 4,403 153,395 3,483 2,202 26,119 29,769 43,747 9,808 1,702 23,732 347,684 1942 17,052 2,708 90,215 816 865 9,446 9,266 16,830 14,016 1,525 20,679 183 ,,418 1943 27,766 3,505 106,245 2,766 761 15,471 15,130 33,533 9,969 1,797 18,433 235,376 1944 16,309 3,053 155,660 2,572 1,027 13,435 11,842 30,255 9,737 1,819 23,985 269,694 1945 29,826 4,243 151,641 1,579 2,075 15,765 11,929 30,352 10,204 1,927 15,625 275,166 1946 9,430 1,796 76,178 2,382 775 13,204 20,778 32,686 4,591 73 20,162 182,055 Estimated, 1947 10,827 3,514 107,522 827 1,005 20,254 26,762 30,628 1,325 5,749 208,413 181,932 23,785 910,077 15,357 10,158 125,842 137,966 237,562 70,882 10,002 145,862 1,S69,425

Log in or create a Papers Past website account

Use your Papers Past website account to correct newspaper text.

By creating and using this account you agree to our terms of use.

Log in with RealMe®

If you’ve used a RealMe login somewhere else, you can use it here too. If you don’t already have a username and password, just click Log in and you can choose to create one.


Log in again to continue your work

Your session has expired.

Log in again with RealMe®


Alert