Page image
Page image
Page image
Page image
Page image
Page image
Page image
Page image
Page image
Page image
Page image
Page image

C—l.

1881. NEW ZEALAND.

FINAL RETURN OF LAND CLAIMS DEFINITELY SETTLED SINCE 20th AUGUST, 1878. [In conclusion of Parliamentary Papers, 1863, D.-14; 1878, H.-26.]

Presented to both Houses of the General Assembly by Command of His Excellency.

C—l

2

Return of Land Claims Finally Settled, since date of Mr. Commissioner Stout's Report of 20th August, 1878, by the Issue of Grants or Scrip.

No. of Claim. Claimant. Locality. Position of Claim as reported by Mr. Commissioner Bell. How Disposed of under "The Land Claims Act, 1878." Area Granted. Land Scrip Issued. 2 A. K. P. 198 0 0 £ s. d. George Green Stewart Island Not investigated, no evidence being produced except deed of sale by Tuawaiki Grant of 198 acres ordered to Peter McEwan, 19th March, 1880. Order cancelled 31st May, 1881, on account of non-production of survey, and claim declared to have lapsed No appearance. Declared to have lapsed 27 Deloitte and Stewart... Hokianga Grant for 1_ acres called in and not produced; declared void for uncertainty Disallowed; specially reopened under Act of 1878 Grant for 690 acres called in, but not produced Grant for 2 acres called in, but not produced ; probably lost. New grant ordered to be issued after survey Claim not prosecuted ; disallowed ... Grant for 2_ acres called in, but not produced; repealed accordingly Grant for 3 acres called in, but not produced; repealed. No claim preferred Grant for 8 acres, not produced; repealed. No claim preferred - Grant for 2 acres called in and cancelled. No claim preferred Referred by Governor Sir George Grey to the investigation of Mr. Dillon Bell, Commissioner of Crown Lands, who recommended a grant for 2,560 acres, to cover all the claims, including 129 and 130 at Kapiti and Waikanae Grant to John Terry Hughes, 3011 acres, called in and cancelled. No survey produced nor claim preferred by Hughes Never investigated Area claimed not stated. No records. Never investigated Grant for 30 acres called in and cancelled. Claimed by Mrs. McLiver, but disputed. No proof of title given Never investigated Grant for 500 acres called in Grant for 300 acres called in. The land in these two claims was included in the reserve under the Bay of Islands Settlement Acts. The claimant has not, }- up to this time, decided whether the compensation shall be assessed by the Commissioner or by arbitration Grant for 305 acres called in and cancelled. No survey made. Mr. Hipkins has not prosecuted any claim Grant for 100 acres called in but not produced. Stated by one claimant (the widow) to have been destroyed by fire, and by another claimant to be in the possession of a party in Auckland Grant for 10 acres called in and cancelled 64 68 79 George Beadon Edward Brady James Bruce Piako Stewart Island Otago No appearance. Declared to have lapsed No appearance. Declared to have lapsed No appearance. Declared to have lapsed 97,98 101 John Church G. T. Clayton Bay of Islands Ko-orareka No appearance. Declared to have lapsed No appearance. Declared to have lapsed 103 G.T.Clayton Kororareka No appearance. Declared to have lapsed 111 G. T. Clayton Kororareka No appearance. Declared to have lapsed 113 G. T. Clayton Bay of Islands No appearance. Declared to have lapsed 129-134 Cooper, Holt, and Rhodes Akaroa, Wellington, and Hawke's Bay Scrip certificate for £2,560 issued 14th September, 1880, to Thomas Buekland and Joseph Rhodes, in full satisfaction of all claims whatsoever of Messrs. Cooper, Holt, and Rhodes 2,560 0 0 140 George Cooper Hokianga No appearance. Declared to have lapsed 145-147 149-154 W. E. Cormack J. C. Crawford Waipa and Waikato Cape Farewell and Blind Bay Bay of Islands No apj.earance. Declared to have lapsed No appearance. Declared to have lapsed 181-183 John Evans No appearance. Declared to have lapsed 207 228 230 Guard and Wynen ... W. G. C. Kingston ... W. G. C. Hingston ... Cloudy Bay Bay of Islands Bay of Islands No appearance. Declared to have lapsed Grants cancelled: The Bay of Islands Settlement Acts being repealed and the original land available. New grants issued 21st April, 1881, to claimant for 214 acres 2 roods and 58 aeres respectively 214 2 0 58 0 0 Hipkins and Pearse ... Bay of Islands No appearance. Declared to have lapsed 231 249 James Johnson Bay of Islands No appearance. Declared to have lapsed 250 James Johnson Bay of Islands No appearance. Declared to have lapsed

3

C.—l

271 283 Thomas Joyce William Lillico Waimate Wangaroa Grant for 4 acres called in, but not produced; cancelled Grant for 35 acres called in and cancelled. New grant ordered to be issued to assigns of Lillico Grants issued to L. A. McCaskill for 1,800, 4,200, and 1,536 acres respectively ; and to S. Mc. D. Martin for 1,200, 2,800, and 1,024 acres ; in all, 12,560 acres. Called in for examination. These grants were all issued for land, the boundaries of which were described alike in the grants to McCaskill and Martin. Grants called in for examination. Those issued to Martin not produced, being declared to have been lost; those issued to L. A. McCaskill produced and cancelled. Claim partially settled ; and grants issued to L. A. McCaskill for 2,176 acres in respect of claim at South Hikutaia, and 285 acres at North Hikutaia; also to Allan McCaskill for 238 acres at North Hikutaia No appearance. Declared to have lapsed No appearance. Declared to have lapsed 287 288 289 L. A. McCaskill, Allan McCaskill, and S. McD. Martin Opukeke, the Thames Hikutaia, S. ,, Hikutaia, N. „ Grant issued 15th December, 1864, to Allan McCaskill for 1,272 acres at South Hikutaia, and an award made of 661 acres at Opukeke to the McCaskills, with a survey allowance of 947 acres to L. A. McCaskill. Awards made at same time in favour of representatives of S. McD. Martin for 1,254 acres at South Hikutaia, 191 acres at North Hikutaia, and 241 acres at Opukeke. Subsequently, there being difficulties in the way of making further grants in the locality, the original grants to S. McD. Martin being produced by his representatives were cancelled, and scrip certificates for £120, £1,254, £191, and £120 were issued 31st May, 1879, 19th December, 1879, and 27th October, 1880, to Rev. Angus Martin in respect of ; the three claims of S. McD. Martin, two separate awards being made to him in respect of the Opukeke claim; and scrip certificate for £330 was issued 16th . June, 1880, to Thomas Craig, as assign of L. A. McCaskill and Allan McCaskill, in respect of their claim at Opukeke. Survey allowance of 947 acres to L. A. McCaskill disallowed, and all other claims of L. A. McCaskill dismissed. No appearance. Declared to have lapsed 1,272 0 0 1,254 0 0 191 0 0 240 0 0 330 0 0 327 John Martin Hokianga Grant for 50 acres called in, but not cancelled. The piece of land is where the flagstaff is erected at Hokianga, and ought to be reserved. No survey made Grant for 20 acres called in and cancelled. No survey produced for new grant Grant for 240 aci-es called in, but not produced. No claim preferred 334 J. M. Palmer Bay of Islands No appearance. Declared to have lapsed 340 Isaac Moore Stewart Island Grant produced and cancelled. New grant for 252 acres, subject to road deduction of 12 acres, issued 16th February, 1881, to James Mills No appearance. Declared to have lapsed 252 0 0 348, 349 John Murray Hokianga Grant for 504 acres called in and cancelled. No claim preferred. No survey. Three grants for 1,100 acres in all, called in and cancelled. No survey made Not investigated... Grant for 250 acres called in and cancelled. No survey produced or claim made. Grant for 30 acres called in and cancelled. No claim preferred Grant for 100 acres called in, but not produced; repealed. No survey Grant for 335_ acres called in and cancelled. Claim put in by James Stewart for Stewart and Mason. Grants ordered to issue to them accordingly 356-358 J. S. Odeland Hokianga No appearance. Declaredlto have lapsed 359, 360 363 Rolla O'Ferrall J. M. Palmer Foveanx Straits Wangaruru No appearance. Declared to have lapsed No appearance. Declared to have lapsed 377 Thomas Honan Hokianga No appearance. Declared to have lapsed 392 Cornelius Prout Coromandel No appearance. Declared to have lapsed 393 Frederick Reid Bay of Islands Grant for 106 acres issued 31st May, 1881, to Harriett Johnson, widow of Mason. No appearance on behalf of Stewart, whose claim declared accordingly to have lapsed No appearance. Declared to have lapsed 106 0 0 394 John Reid Bay of Islands 436 Thomas Spicer Kororareka Grant for 30 acres called in and cancelled. No claim preferred. No survey Grant for 4 acres called in, but not produced; repealed. No order made Grant for _ acre called in, but not produced; repealed No appearance. Declared to have lapsed 438 Thomas Spicer Kororareka No appearance. Declared to have lapsed

C—l

4

Return of Land Claims Finally Settled by the Issue of Grants or Scrip— continued.

No. of Claim, Claimant. Locality. Position of Claim as reported by Mr. Commissioner Bell. How Disposed of. Area Granted. Land Scrip Issued. 451 William Sturley Bay of Islands Grant for 100 acres called in, but not produced; repealed. No claim preferred Grant for 300 acres called in, and cancelled. Grantee stated to be dead. Claimed by his son Authorized to select 652 acres of land, balance of survey allowance No appearance. Declared to have lapsed A. E. P. £ a. d. 452 Henry Swain Bay of Islands No appearance. Declared to have lapsed 652 0 0 521 Henry Williams Bay of Islands The selection of land not being made, a scrip certificate for £652, issued 16th June, 1880, to Henry Williams, in full satisfaction of survey allowance No appearance. Declared to have lapsed 535 T. Wing Bay of Islands Grant for 120 acres called in, but not produced ; repealed. No claim preferred. Grant for 100 acres called in, but not produced; repealed Grant recommended but not issued. Grant ordered to be issued, when surveyed, to George Nimmo 536 539 S. A. Wood R.Kent (by W.Young) Bay of Islands Hokianga No appearance. Declared to have lapsed Grant for 2 acres 1 rood 4 perches issued 10th August, 1866, to George Nimmo. Grant for 225 acres 2 roods 25 perches issued 4th February, 1881, to J. W. Young No survey produced. Declared to have lapsed 2 14 225 2 25 542 William Young Hokianga Grant for 100 acres called in and cancelled. No survey produced Grant for 15 acres called in and cancelled. No survey produced. New grant claimed by William Baker, junior Grants for 20 acres and 400 acres called in, but not produced; repealed Grant for 1 acre called in, but not produced ; repealed. No claim preferred Grant for 22 acres called in and cancelled. No survey made, nor claim preferred Disallowed for non-appearance. Subsequently claim admitted for investigation. No order made Mr. Willis claimed 723 acres as his share of the Matata claim, but no award thereof was made by Commissioner Sir Francis Dillon Bell Grants to various parties for 12,674 acres called in, and cancelled; excepting two grants ordered after selection to Sir S. Donaldson for 1,464 acres, and to Whitaker and Heale for 12,855 acres 15 0 0 550 William Baker Wangawa Grant for 15 acres issued 8th August, 1879, to William Baker, junior 615, 616 J. Roberton Bay of Islands Claim No. 615 settled, with claim No. 954, by grant to R. C. Mission. Claim No. 616 declared to have lapsed No appearance. Declared to have lapsed 643 John Scott Kororareka 644 652 W. Jeffray and J. Whytlaw Henry Day Bay of Islands No appearance. Declared to have lapsed No appearance. Declared to have lapsed Bay of Islands 710 G. W. White (by A. Willis) Matata, Bay Plenty of No appearance. Declared to have lapsed 726 William Webster (by Fred. Whitaker) Piako Land awarded to Sir S. Donaldson, appraised at 7s. 6d. per acre, and scrip certificate for £549 issued 18th February, 1880, to the trustees under his will. Grants for 12,855 acres at Maukoro, with 2,141 acres at Taupiri, issued 27th November, 1878, to F. Whitaker; and 294 acres allowed elsewhere, for survey allowance, 30th September, 1878, which was selected as part of a larger section, the claimant paying cash for the difference of acreage No appearance. Declared to have lapsed 12,855 0 0 2,141 0 0 294 0 0 549 0 729 B. Y. Ashwell Bay of Islands Grant for 20 acres called in and cancelled. New grant ordered, on survey made Grant for 250 acres called in, but not produced. Claim merged in No. 726, of W. Webster. No claim preferred 762 V. Wanastrocht Piako No appearance. Declared to have lapsed

5

C—l.

763 J. Nagle and J. W. Renn Piako Grant for 150 acres called in, but not produced. Claim merged in No. 726, of W. Webster. No claim preferred Grant for 359 acres called in and cancelled. No claim preferred Six grants for various quantities called in and cancelled. No claim preferred for new grants Grant for 1 acre called in and cancelled. No claim preferred for new grant Grants for 140 and 21 acres called in and cancelled. No claim preferred for new grants Grant for 213 acres called in and cancelled. New grants ordered for 106 acres to C. W. Schultz, and 107 acres to heirs of Joss Not investigated No appearance. Declared to have lapsed 811 R. Annoyl ... Hokianga No appearance.' Declared to have lapsed 819-824 Kororareka Land Co. Bay of Islands, and Kororareka Kororareka No appearance.- Declared to have lapsed 825 Kororareka Land Co. Grant for 1 acre issued 21st April, 1881, to Mrs. A. Baker No appearance. Declared to have lapsed. 826-827 Kororareka Land Co. Kororareka 0 3 31 833 James Joss Bluff Grant for 117 acres 24 perches issued 8th February, 1873, to J. Collyer. Grant for 117 acres 24 perches issued 16th February, 1881, to heirs of Joss Grant for 207 acres, Stewart Island, in respect of the two claims, issued 16th February, 1881, to heirs of Joss No appearance. Declared to have lapsed 117 0 24 117 0 24 834, 835 James Joss Stewart Island 207 0 0 842 Scott, Russell, and Anderson Wangarei New grants issued 20th June, 1860, for 625 acres. Award of 20 acres made to Malcolm Brown, claimed by his heirs Not admitted for investigation, having been previously disallowed 924 Thomas Black Bay of Plenty This claim was investigated under the New Zealand Settlements Acts, but claimant failed to make out his case. Declared to have lapsed. No appearance. Declared to have lapsed 930 W. Mayhew Mangawai Claim preferred by James Williamson advertised for hearing, but not prosecuted Grant for 1,255 acres called in and cancelled. Claim merged in No. 726, of W. Webster, and awarded to trustees of Sir S. Donaldson Grant for 50 acres called in and cancelled. No claim preferred Grant for 40 acres called in and cancelled. No survey produced Grant for 612 acres called in and cancelled. No claim preferred Grant for 1_ acres called in, but not produced. Repealed 961 Arthur Devlin Piako No appearance. Declared to have lapsed 973 John Grant Hokianga No appearance. Declared to have lapsed 1003 D. Mackay Mongonui No appearance. Declared to have lapsed 1028 Murphy and Innis ... Milford Sound No appearance. Declared to have lapsed 1029 J. Hargreaves Waimate Grant for t_ acres ordered to George Clarke, 2nd March, 1880. Order cancelled 31st May, 1881, on account of non-production of survey, and claim declared to have lapsed Case settled privately, and claim withdrawn by Brown and Campbell, 13th March, 1880 12 0 .086,1087 Thomas Jackson (by Brown and Campbell Onehunga Brown and Campbell, the assigns of Henry, are the claimants for the settlement of this case ; but they have refused the only compensation which can be granted under the Act of 1856 Disallowed 1128 J. B. Wilkinson (by Mrs. E. George) Waikomiti Special provision made jby " Land Claims Act, 1878," admitting this claim for hearing. Scrip certificate for £375 issued 16th June, 1880, to Mrs. E. George 375 0 0 1276 John Hatfield Weiti ... 104 1 27 1296 Daniel Lucas (by A. Rooney) Lucas Creek Grant for 370 acres issued to J. Salmon in part settlement, 20th June, 1862 Grant for S17 acres ordered to be issued to A. Rooney, but grant for 780 acres only issued, remainder unclaimed Not investigated, subsequently admitted. Survey sent in, but not accepted. No further survey produced Grant for 104 acres 1 rood and 27 perches issued 31st May, 1881, to J. Hatfield No appearance. Declared to have lapsed 1314a Lawrie and Joseph ... Kawhia ... No appearance. Declared to have lapsed

6

o.—l.

Return of Land Claims Finally Settled by the Issue of Grants or Scrip— continued.

Charles Heaphy, V.C., Wellington, 31st May, 1881. Land Claims Commissioner.

By Authority : Geoeqb Didsbuby, Government Printer, Wellington.—lBBl.

Price 6d.]

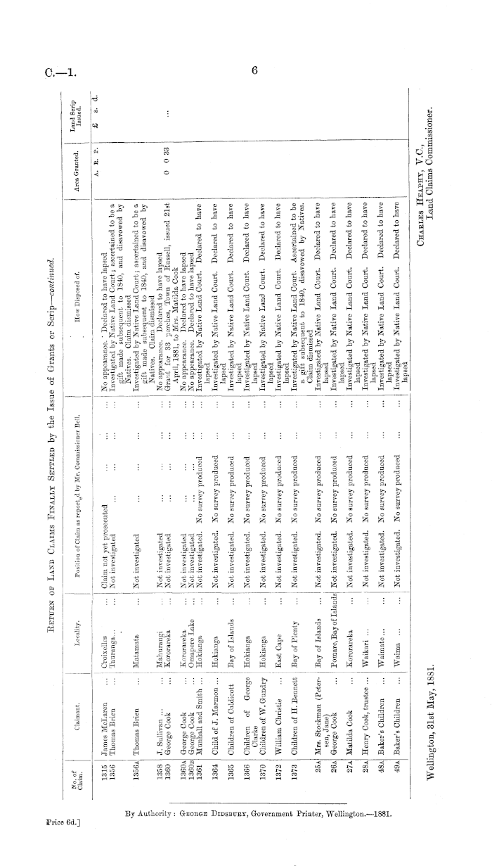
No. of Claim. Claimant. Locality. Position of Claim as reported by Mr. Commissioner Bell. I How Disposed of. Area Granted. Land Scrip Issued. A. K. P. £ s. d. 1315 1356 James McLaren Thomas Brien Croixelles Tauranga... Claim not yet prosecuted Not investigated No appearance. ' Declared to have lapsed Investigated by Native Land Court j ascertained to be a gift made subsequent to 1840, and disavowed by Natives. Claim dismissed Investigated by Native Land Court; ascertained to be a gift made subsequent to 1840, and disavowed by Natives. Claim dismissed No appearance. Declared to have lapsed Grant for 33 perches, Town of Eussell, issued 21st April, 1881, to Mrs. Matilda Cook No appearance. Declared to have lapsed No appearance. Declared to have lapsed Investigated by Native Land Court. Declared to have lapsed Investigated by Native Land Court. Declared to have lapsed Investigated by Native Land Court. Declared to have lapsed Investigated by Native Land Court. Declared to have lapsed Investigated by Native Land Court. Declared to have lapsed Investigated by Native Land Court. Declared to have lapsed Investigated by Native Land Court. Ascertained to be a gift subsequent to 1840, disavowed by Natives. Claim dismissed Investigated by Native Land Court. Declared to have lapsed Investigated by Native Land Court. Declared to have lapsed Investigated by Native Land Court. Declared to have lapsed Investigated by Native Land Court. Declared to have lapsed Investigated by Native Land Court. Declared to have lapsed Investigated by Native Land Court. Declared to have lapsed 1356a Thomas Brien Matamata Not investigated 1358 1360 J. Sullivan ... George Cook Mahurangi Kororareka Not investigated Not investigated 0 0 33 1360a 1360b 1361 George Cook George Cook Munhall and Smith ... Kororareka Omapere Lake ... Hokianga Not investigated Not investigated Not investigated. No survey produced 1364 Child of J. Marmon ... Ilokianga Not investigated. No survey produced 1365 Children of Caldicott Bay of Islands Not investigated. No surrey produced 1366 1370 Children of George Clarke Children of W. Grundry Hokianga Not investigated. No survey produced Hokianga Not investigated. No survey produced 1372 William Christie East Cape Not investigated. No survey produced 1373 Children of H. Bennett Bay of Plenty Not investigated. No survey produced 25a Mrs. Stockman (Petersen, Jane) George Cook Bay of Islands Not investigated. No survey produced 26a Pomare, Bay of Islands Not investigated. No survey produced 27a Matilda Cook Kororareka Not investigated. No survey produced 28a Henry Cook, trustee ... Waikari ... Not investigated. No survey produced 48a Baker's Children Waimate... Not investigated. No survey produced 49a Baker's Children Waima ... Not investigated. No survey produced

This report text was automatically generated and may include errors. View the full page to see report in its original form.I whakaputaina aunoatia ēnei kuputuhi pūrongo, e kitea ai pea ētahi hapa i roto. Tirohia te whārangi katoa kia kitea te āhuatanga taketake o te pūrongo.
Permanent link to this item
Hononga pūmau ki tēnei tūemi

https://paperspast.natlib.govt.nz/parliamentary/AJHR1881-I.2.1.4.1

Bibliographic details
Ngā taipitopito pukapuka

FINAL RETURN OF LAND CLAIMS DEFINITELY SETTLED SINCE 20th AUGUST, 1878. [In conclusion of Parliamentary Papers, 1863, D.-14; 1878, H.-26.], Appendix to the Journals of the House of Representatives, 1881 Session I, C-01

Word count
Tapeke kupu
3,249

FINAL RETURN OF LAND CLAIMS DEFINITELY SETTLED SINCE 20th AUGUST, 1878. [In conclusion of Parliamentary Papers, 1863, D.-14; 1878, H.-26.] Appendix to the Journals of the House of Representatives, 1881 Session I, C-01

FINAL RETURN OF LAND CLAIMS DEFINITELY SETTLED SINCE 20th AUGUST, 1878. [In conclusion of Parliamentary Papers, 1863, D.-14; 1878, H.-26.] Appendix to the Journals of the House of Representatives, 1881 Session I, C-01

Log in or create a Papers Past website account

Use your Papers Past website account to correct newspaper text.

By creating and using this account you agree to our terms of use.

Log in with RealMe®

If you’ve used a RealMe login somewhere else, you can use it here too. If you don’t already have a username and password, just click Log in and you can choose to create one.


Log in again to continue your work

Your session has expired.

Log in again with RealMe®


Alert