Page image
Page image

6

o.—l.

Return of Land Claims Finally Settled by the Issue of Grants or Scrip— continued.

Charles Heaphy, V.C., Wellington, 31st May, 1881. Land Claims Commissioner.

By Authority : Geoeqb Didsbuby, Government Printer, Wellington.—lBBl.

Price 6d.]

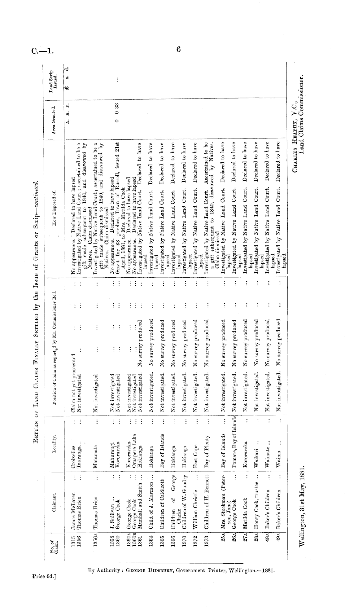
No. of Claim. Claimant. Locality. Position of Claim as reported by Mr. Commissioner Bell. I How Disposed of. Area Granted. Land Scrip Issued. A. K. P. £ s. d. 1315 1356 James McLaren Thomas Brien Croixelles Tauranga... Claim not yet prosecuted Not investigated No appearance. ' Declared to have lapsed Investigated by Native Land Court j ascertained to be a gift made subsequent to 1840, and disavowed by Natives. Claim dismissed Investigated by Native Land Court; ascertained to be a gift made subsequent to 1840, and disavowed by Natives. Claim dismissed No appearance. Declared to have lapsed Grant for 33 perches, Town of Eussell, issued 21st April, 1881, to Mrs. Matilda Cook No appearance. Declared to have lapsed No appearance. Declared to have lapsed Investigated by Native Land Court. Declared to have lapsed Investigated by Native Land Court. Declared to have lapsed Investigated by Native Land Court. Declared to have lapsed Investigated by Native Land Court. Declared to have lapsed Investigated by Native Land Court. Declared to have lapsed Investigated by Native Land Court. Declared to have lapsed Investigated by Native Land Court. Ascertained to be a gift subsequent to 1840, disavowed by Natives. Claim dismissed Investigated by Native Land Court. Declared to have lapsed Investigated by Native Land Court. Declared to have lapsed Investigated by Native Land Court. Declared to have lapsed Investigated by Native Land Court. Declared to have lapsed Investigated by Native Land Court. Declared to have lapsed Investigated by Native Land Court. Declared to have lapsed 1356a Thomas Brien Matamata Not investigated 1358 1360 J. Sullivan ... George Cook Mahurangi Kororareka Not investigated Not investigated 0 0 33 1360a 1360b 1361 George Cook George Cook Munhall and Smith ... Kororareka Omapere Lake ... Hokianga Not investigated Not investigated Not investigated. No survey produced 1364 Child of J. Marmon ... Ilokianga Not investigated. No survey produced 1365 Children of Caldicott Bay of Islands Not investigated. No surrey produced 1366 1370 Children of George Clarke Children of W. Grundry Hokianga Not investigated. No survey produced Hokianga Not investigated. No survey produced 1372 William Christie East Cape Not investigated. No survey produced 1373 Children of H. Bennett Bay of Plenty Not investigated. No survey produced 25a Mrs. Stockman (Petersen, Jane) George Cook Bay of Islands Not investigated. No survey produced 26a Pomare, Bay of Islands Not investigated. No survey produced 27a Matilda Cook Kororareka Not investigated. No survey produced 28a Henry Cook, trustee ... Waikari ... Not investigated. No survey produced 48a Baker's Children Waimate... Not investigated. No survey produced 49a Baker's Children Waima ... Not investigated. No survey produced

Log in or create a Papers Past website account

Use your Papers Past website account to correct newspaper text.

By creating and using this account you agree to our terms of use.

Log in with RealMe®

If you’ve used a RealMe login somewhere else, you can use it here too. If you don’t already have a username and password, just click Log in and you can choose to create one.


Log in again to continue your work

Your session has expired.

Log in again with RealMe®


Alert