Page image
Page image
Page image
Page image
Page image
Page image
Page image
Page image
Page image
Page image

H.—26

1901. NEW ZEALAND.

CENSUS OF NEW ZEALAND.

APRIL, 1901.

Presented to both Houses of the General Assembly in pursuance of Section 12 of " The Census Act, 1877."'

Registrar-General's Office, Wellington, 12th June, 1901. The population of the colony according to the census of the 31st March last, as made up from enumerators' summaries, is shown in the following tables. Details have been carefully examined, and the figures given may be regarded as closely approximate to the exact population now being made up in this office from the household schedules. E. J. yon Dadelszen, Registrar-General.

I.—SUMMARY OF EUROPEAN POPULATION.—ROUGH RESULTS.

"These islands are not within the boundaries of the neighbouring counties, but the inhabitants have been included in the population of the North and South Islands given below. * Not including 352 persons, officers and crews of two British men-of-war. c Includes persons on shipboard.

II.—POPULATION IN PROVINCIAL DISTRICTS. Note.—The figures in this table include persons on shipboard.

I—H. 26.

Total Population (exclusive of Maoris). Half-castes living as Europeans (included previously). Chinese (included previously). Persons. Males. Females. Males. Females. Males. Females. Counties Boroughs Islands adjacent to New Zealand a .. Chatham Islands Kermadec Islands On shipboard b .. 417,477 350,097 944 204 8 231,491 170,592 588 in 5 3,374 185,986 179,505 356 93 3 35i 366,294 1,017 170 1,026 200 1 1,693 1,069 2 28 3,725 Totals for colony (exclusive of Maoris) b c 772,455 406,161 206,706 199,194 145 in 5 1,188 1,227 2,762 3° North Island c .. South Island ° Stewart Island Chatham Islands Kermadec Islands 390,373 381,617 253 204 8 183,667 182,423 108 924 263 994 232 699 2,063 16 14 93 3 1 1 Totals for colony (exclusive of Maoris) * ° 772,455 406,161 366,294 J I,l88 2,762 1,227 JO

Total Population (exclusive of Maoris). Half-castes living as Europeans (included previously). Chinese (included Persons. Males. Females. Males. Females. Males. Females. Luckland 'aranaki lawke's Bay Vellington larlborough felson Vestland lanterbury Itago lhatham Islands lermadec Islands 175,854 37,842 35,44 1 141,236 13,314 37,939 14,466 143,040 204 8 92,926 20,572 18,902 74,306 7,164 20,610 8,090 72,916 90,559 in 5 82,928 17,270 16,539 66,930 6,150 17,329 6,376 70,124 82,552 93 3 74° 46 33 i°5 r 4 6 16 39 188 769 81 40 104 3 2 5 43 179 1 185 31 42 441 15 365 459 82 5 3 8 1 5 1,142 8 1 Totals 772,455 406,161 366,294 1,188 1,227 2,762 3°

H.—26.

III.—POPULATION IN COUNTIES.

2

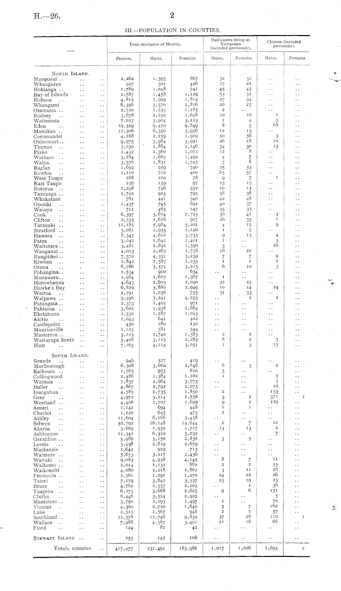
Total (exclusive of Maoris). Half-castes living as Europeans (included previously). Chinese (included previously). Persons. Males. Females. Males. Females. Males. Females. North Island. Mangonui Whangaroa Hokianga Bay of Islands Hobson Whangarei Otamatea Rodney Waitemata Eden Manukau Coromandel Ohinemuri Thames Piako Waikato Waipa Raglan Kawhia West Taupo East Taupo Rotorua Tauranga Whakatane Opotiki Waiapu Cook Clifton Taranaki Stratford .. Hawera Patea Waitotara Wanganui Rangitikei Kiwitea .. Oroua Pohangina.. Manawatu.. Horowhenua Hawke's Bay Wairoa Waipawa Patangata Pahiatua Eketahuna Akitio Castlepoint Mauriceville Masterton Wairarapa South .. Hutt 2,262 927 1,789 2,587 4,813 6,396 2,720 3,678 7,027 19,319 12,306 4,168 9,975 5,030 2,432 3,184 3,576 1,699 1,110 288 256 1,298 1,720 781 i,437 712 6,397 2,533 11,185 5,o8i 8,345 3,042 3,48i 4,023 7,57o 2,842 6,786 i,534 2,984 4,643 6,829 i,79i 9,496 2,373 3,602 2,33° 1,043 430 1,125 3,123 5,408 7,!65 i,395 501 1,048 i,458 2,999 3,570 1,535 2,030 3,904 9,470 6,350 2,259 5,984 2,884 1,360 1,685 1,831 959 710 210 159 746 925 441 745 465 3,674 1,616 5,984 2,935 4,610 1,641 1,891 2,265 4,33i 1,587 3,57i 900 1,617 2,603 3,880 1,036 5,241 1,402 i,938 1,287 641 280 581 1,740 3,125 4,114 867 426 741 1,129 1,814 2,826 1,185 1,648 3,123 9,849 5,956 1,909 3.991 2,146 1,072 i,499 i,745 740 400 78 97 552 795 340 692 247 2,723 917 5,201 2,146 3,735 1,401 i,590 i,758 3,239 1,255 3,215 634 1,367 2,040 2,949 755 4,255 971 1,664 1,043 402 150 544 1,383 2,283 3,051 32 17 45 53 2 7 20 2 IO I 8 12 50 26 34 12 4 7 25 65 9 15 10 38 42 40 35 36 26 32 21 43 5i 34 23 10 4 5 13 56 18 30 8 7 8 33 57 7 15 13 38 48 37 33 4 1 35 15 5 13 1 3 68 3 ' 10 13 1 ' 4 1 9 4 1 9 1 3 16 7 1 6 22 7 1 4 3 26 9 1 3 10 1 32 10 25 r 4 33 1 24 31 2 2 8 2 2 3 15 1 3 South Island. 946 6,508 1,765 2,486 7,837 4,867 4,585 4,972 4,406 1,142 1,120 11,604 30,792 3.669 ",342 5,986 5,498 1,642 5,653 9,083 2,014 4,080 2,561 7> r 79 4,762 6,273 6,446 3,790 4,360 2,515 22,578 7,988 124 419 2,848 810 1,102 3,773 2,075 1,850 i,758 1,699 448 475 5,438 14,644 1 >7i7 5,032 2,836 2,679 713 2,436 4,145 882 1,862 1,270 3,337 2,205 2,605 2,922 1,497 1,640 948 9,832 3,40i Sounds Marlborough Kaikoura Collingwood Waimea Buller Inangahua Grey Westland Amuri Cheviot Ashley Selwyn Akaroa Ashburton Geraldine Levels Mackenzie Waimate Waitaki Waihemo Waikouaiti Peninsula Taieri Bruce Tuapeka Clutha Maniototo Vincent Lake Southland Wallace Fiord 527 3,660 955 1,384 4,064 2,792 2,735 3,214 2,707 694 645 6,166 16,148 i,952 6,310 3.150 2,819 929 3,217 4,93 8 1,132 2,218 1,291 3,842 2,557 3,668 3.524 2,293 2,720 i,567 12,746 4,587 82 6 5 1 2 3 9 1 2 1 13 3 3 2 2 1 7 13 3 2 3 3 22 153 371 129 22 2 7 I 8 7 2 n 11 33 26 26 2 3 24 25 22 19 1 6 9 1 23 36 151 3 72 162 57 no 66 5 2 37 21 7 1 28 18 I 42 Stewart Island .. 253 145 108 Totals, counties 1,026 1,693 2 4J7.477 231,491 185,986 1,017

3

H.—26

IV.—POPULATION IN BOROUGHS.

Total (exclusive of Maoris). Half-castes living as Europeans (included previously). Chinese (included previously). Persons. * Males. Females. Males. Females. Males. Females. North Island. Whangarei Birkenhead Devonport Auckland Grey Lynn Newmarket Parnell Onehunga Te Aroha Thames Hamilton Cambridge Tauranga Gisborne New Plymouth Stratford .. Hawera Patea Wanganui Marton Feilding Palmerston North .. Foxton Napier Hastings Dannevirke Woodville Pahiatua Masterton Carterton .. Greytown Lower Hutt Petone Onslow Wellington Karori Melrose 1,429 1,057 3,817 34,216 4, 106 2,060 4.57 1 3,015 888 4,004 1,246 988 945 2,733 4,407 2,027 2,131 691 7,33i 1,101 2,298 6,514 1,212 8,775 3,650 2,314 926 1,209 3,946 1,207 1,122 1,823 3.78o 1,499 43,586 1,212 2,995 716 555 1,803 i6;649 1,904 998 2,083 i,459 430 1,889 613 463 438 1,422 2,101 1,098 1,075 335 3,630 560 1,158 3,273 651 4,269 1,848 1,222 439 632 1,948 586 561 949 1,966 765 21,625 611 1,491 7 J 3 502 2,014 17.567 2,202 1,062 2,488 1,556 458 2,"5 633 525 507 1,311 2,306 929 1,056 356 3,701 54 1 1,140 3.241 561 4,506 1,802 i,og2 487 577 i,998 621 561 874 1,814 734 2i,g6i 601 3 21 I 9 2 5 12 2 4 2 2 i 7 34 i 7 7 i 2 18 9 4 3 i I 2 52 4 2 15 I 5 7 4 4 17 3 3 40 5 6 i 8 i 6 18 4 I I i I 3 3 i 2 6 I 3 4 i I i 2 i i 2 3 35 i i ii 13 i 245 5 1,504 6 South Island. 875 3,226 7,009 543 885 2,g2i 3,746 i,57i 1,121 i,943 614 1,768 i,795 17,537 6,737 6,605 11,404 2,532 844 1,007 4.023 559 2,322 1,464 6,421 1.359 4.836 332 738 690 2,056 3,526 i,55i 1,465 24,886 4,632 4,009 5,266 1,700 5,363 668 1,462 1,240 1,464 43i 1,586 3.232 266 412 1,476 1,984 783 549 906 327 793 826 8,251 3,180 3.032 5.527 1,287 402 470 2,oog 250 1,209 768 3.133 664 2,281 161 358 314 1,027 1.734 738 721 ".769 2,ng i,84g 2,607 813 2,494 327 687 585 746 444 1,640 3,777 277 473 1,445 1,762 788 572 1,037 287 975 969 g,286 3,557 3,573 5,877 1,245 442 537 2,014 3og 1,"3 696 3,288 695 2,555 171 380 376 1,029 1,792 813 744 13,"7 2,513 2,160 2,659 887 2,869 34i 775 655 718 3 i Picton Blenheim Nelson Richmond Motueka Westport Greymouth Brunner Kumara Hokitika i 12 10 3 i 108 6 5 12 5 2 Ross .. ... Rangiora Kaiapoi Christchurch Linwood St. Albans Sydenham Woolston 2 4 I 19 ii 5 5 I 13 Sumner New Brighton Lyttelton .. Akaroa Ashburton Temuka Timaru Waimate Oamaru Hampden Palmerston South .. Hawksbury Port Chalmers North-east Valley .. Maori Hill West Harbour Dunedin Roslyn Mornington Caversham St. Kilda South Dunedin Green Island Mosgiel Milton Kaitangata i 9 4 2 2 5 2 6 3 15 io n8 I 2 2 6 ii i 42 5 8 2

H.—26.

IV.-POPULATION IN BOROUGHS— continued.

V.—POPULATION IN ELECTORAL DISTRICTS. N.B.—The figures given are rough results of the Census taken from enumerators' summaries. They are therefore subject to revision, and must not be accepted as absolutely correct

4

Total (exclusive of Maoris!. Half-castes living as Europeans (included previously). Chinese (included previously). Persons. Males. Females. Males. Females. Males. Females. South Island— continued. Salclutha Lawrence .. Roxburgh Fapanui Cromwell .. .. Alexandra .. 3-ore Vlataura .. vVinton invercargill Slorth Invercargill South Invercargill .. 3ast Invercargill V venal Gladstone Jampbelltown Tiverton 1,015 1,159 478 349 505 643 815 410 690 2,354 867 477 6,213 925 1,873 934 355 329 1,345 815 521 565 253 i6"7 254 356 464 208 320 1,209 433 261 3,052 457 933 431 180 151 685 394 494 594 225 182 251 287 35i 202 370 1,145 434 216 3> l6 i 468 94° 503 175 178 660 421 3 2 2 3 20 4 42 30 12 1 10 1 16 6 6 5 46 1 42 1 3 Totals, boroughs 170,592 200 1,069 28 350,097 179,505 170

Population (exclusive of Maoris). Chinese (included previously). Persons. Males. I Females. North Island. Bay of Islands Marsden Waitemata City of Auckland Parnell Eden Manukau Franklin Thames Ohinemuri Waikato .. .. Bay of Plenty Waiapu Napier Hawke s Bay Waipawa Pahiatua Masterton Wairarapa Taranaki Egmont Hawera Wanganui Patea Rangitikei Palmerston North Manawatu Otaki Suburbs of Wellington City of Wellington IO ,57 2 11,249 9,517 39,232 11,999 13,266 11,809 10,165 8,860 15,353 10,470 12,135 11,356 10,612 10,193 9,980 9,507 10,215 8,432 ",834 12,318 9,7 r 4 12,884 9,766 11,709 11,052 9,624 10,010 14,557 39,977 6,326 6,290 5,394 18,992 5,634 6,671 5,773 5,285 4,501 9,031 5,838 6,456 6,417 5,217 5,607 5,544 5,156 5,385 4,698 6,063 6,940 5,254 6,542 5,525 6,562 5,662 5,215 5,58o 7,47° 19,848 4,246 4,959 4,123 20,240 6,365 6,595 6,036 4,880 4,359 6,322 4,632 5,679 4,939 5,395 4,586 4,436 4,35i 4,830 3,734 5,77i 5,378 4,46o 6,342 4,241 5,147 5,390 4,409 4,430 7,087 20,129 1 1 60 IS 43 30 3 23 1 9 16 15 10 8 20 7 16 7 9 43 7 7 43 11 40 37 230 Totals, North Island 388,367 204,876 183,491 715 South Island. Nelson Motueka Buller Grey Westland Wairau Ashley Kaiapoi Avon Riccarton City of Christchurch 11,093 9,229 10,652 10,780 8,498 10,818 10,064 9,136 10,923 9,513 37,993 5,399 4,847 5,958 6,304 4,762 5,772 5,544 4,54° 5,369 4,930 17,966 5,694 4,382 4,694 4,476 3,736 5,046 4,520 4,596 5.554 4,583 20,027 13 3 94 572 144 15 8 1 31

5

H.—26

V.—POPULATION IN ELECTORAL DISTRICTS— continued.

Note. The totals given above, together with the persons on shipboard and in the Chatham and Kermadec Islands (which are not in any electorate), makes up the population of the colony.

Approximate Cost of Paper.—Preparation, not given ; printing (2,375 eopieb). £7 lis. 6d.

Authority : John Mackay, Government Printer, Wellington.—l9ol.

Price 6d.]

2—H. 26.

Population (exclusive of Maoris). Females. 'hinese (included previously). Persons. Males. South Island— continued. Lyttelton Ellesmere .. Selwyn Vshburton .. jeraldine rimaru Waitaki f .. 11,717 8,742 ■9,838 10,641 9,217 10,676 10,548 10,052 9,3H 9,152 38,082 13,147 9,706 8,139 8,586 11,641 9,632 10,444 10,070 n,445 10,666 5,720 4,546 5,735 5,756 4,886 5,304 5,855 5,080 5,242 4,707 17,949 6,3H 5,037 4,256 4,648 6,750 5,757 5,677 5,47i 5,6n 6,106 5,997 4,196 4> I 03 4,885 4,33i 5,372 4,693 4,972 4,069 4,445 20,133 6,836 4,669 3,883 3,938 4,891 3,875 4,767 4,599 5,834 4,56o 31 2 7 2 Damaru iVaihemo Waikouaiti .. Dity of Dunedin "aversham .. .. [aieri 3ruce Dlutha - .. ruapeka vVakatipu .. Vlataura Vwarua invercargill Wallace 16 ii 4 62 150 55 23 38 6 3°4 276 18 3 21 68 Totals, South and Stewart Islands .. Totals, North Island 380,151 388,367 197,795 204,876 182,356 183,491 2,077 7i5 Totals, electoral districts 768,518 402,671 365,847 2,792

This report text was automatically generated and may include errors. View the full page to see report in its original form.I whakaputaina aunoatia ēnei kuputuhi pūrongo, e kitea ai pea ētahi hapa i roto. Tirohia te whārangi katoa kia kitea te āhuatanga taketake o te pūrongo.
Permanent link to this item
Hononga pūmau ki tēnei tūemi

https://paperspast.natlib.govt.nz/parliamentary/AJHR1901-I.2.4.2.41

Bibliographic details
Ngā taipitopito pukapuka

CENSUS OF NEW ZEALAND., Appendix to the Journals of the House of Representatives, 1901 Session I, H-26

Word count
Tapeke kupu
2,075

CENSUS OF NEW ZEALAND. Appendix to the Journals of the House of Representatives, 1901 Session I, H-26

CENSUS OF NEW ZEALAND. Appendix to the Journals of the House of Representatives, 1901 Session I, H-26

Log in or create a Papers Past website account

Use your Papers Past website account to correct newspaper text.

By creating and using this account you agree to our terms of use.

Log in with RealMe®

If you’ve used a RealMe login somewhere else, you can use it here too. If you don’t already have a username and password, just click Log in and you can choose to create one.


Log in again to continue your work

Your session has expired.

Log in again with RealMe®


Alert