Page image
Page image

H.—26.

III.—POPULATION IN COUNTIES.

2

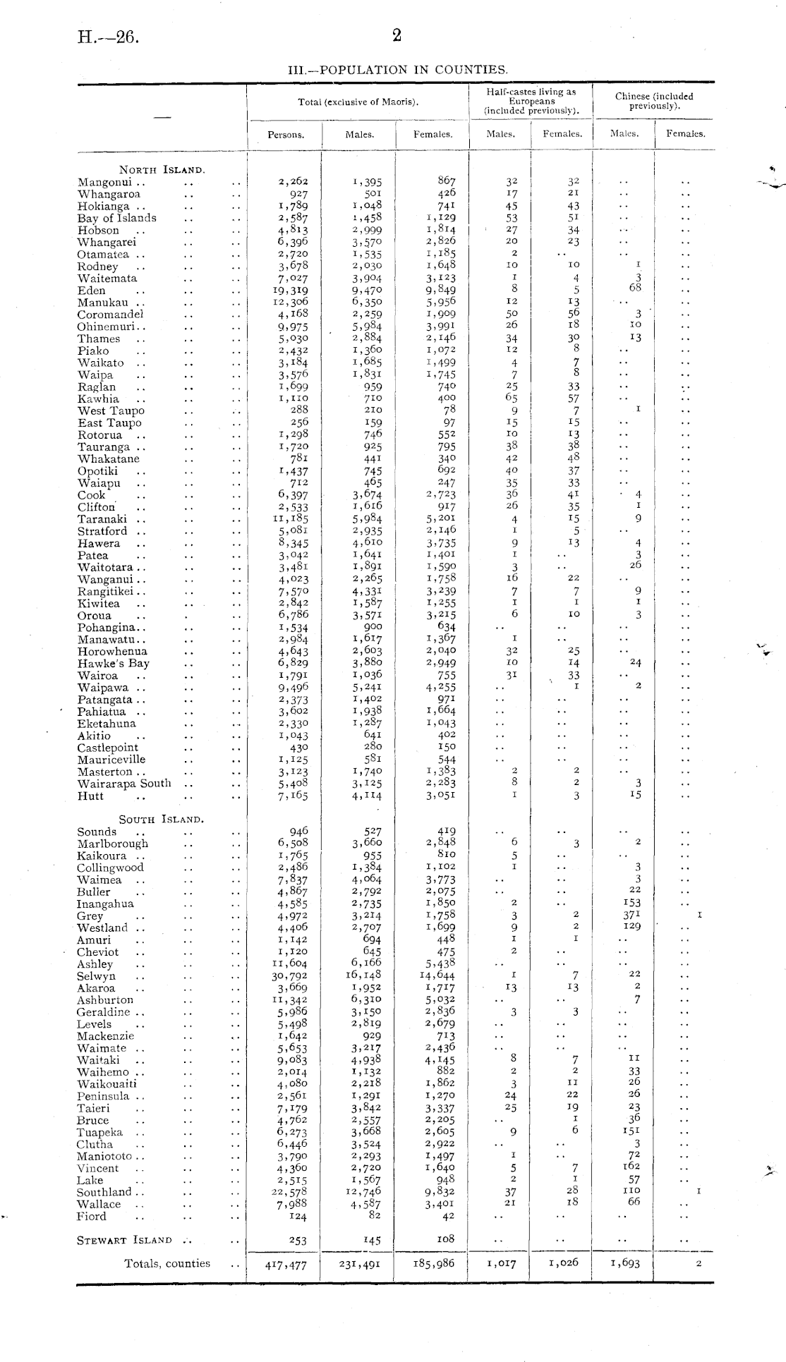
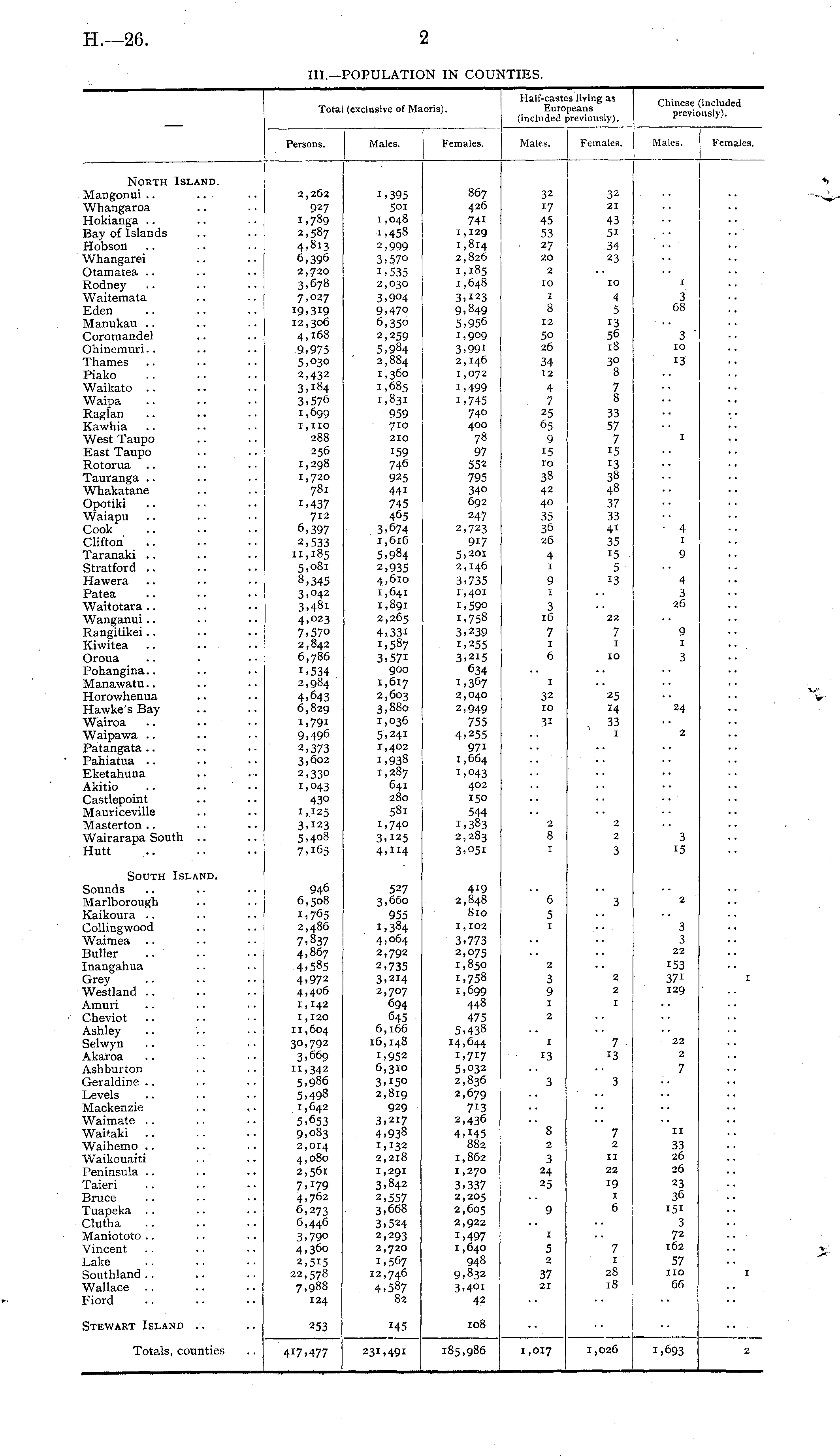
Total (exclusive of Maoris). Half-castes living as Europeans (included previously). Chinese (included previously). Persons. Males. Females. Males. Females. Males. Females. North Island. Mangonui Whangaroa Hokianga Bay of Islands Hobson Whangarei Otamatea Rodney Waitemata Eden Manukau Coromandel Ohinemuri Thames Piako Waikato Waipa Raglan Kawhia West Taupo East Taupo Rotorua Tauranga Whakatane Opotiki Waiapu Cook Clifton Taranaki Stratford .. Hawera Patea Waitotara Wanganui Rangitikei Kiwitea .. Oroua Pohangina.. Manawatu.. Horowhenua Hawke's Bay Wairoa Waipawa Patangata Pahiatua Eketahuna Akitio Castlepoint Mauriceville Masterton Wairarapa South .. Hutt 2,262 927 1,789 2,587 4,813 6,396 2,720 3,678 7,027 19,319 12,306 4,168 9,975 5,030 2,432 3,184 3,576 1,699 1,110 288 256 1,298 1,720 781 i,437 712 6,397 2,533 11,185 5,o8i 8,345 3,042 3,48i 4,023 7,57o 2,842 6,786 i,534 2,984 4,643 6,829 i,79i 9,496 2,373 3,602 2,33° 1,043 430 1,125 3,123 5,408 7,!65 i,395 501 1,048 i,458 2,999 3,570 1,535 2,030 3,904 9,470 6,350 2,259 5,984 2,884 1,360 1,685 1,831 959 710 210 159 746 925 441 745 465 3,674 1,616 5,984 2,935 4,610 1,641 1,891 2,265 4,33i 1,587 3,57i 900 1,617 2,603 3,880 1,036 5,241 1,402 i,938 1,287 641 280 581 1,740 3,125 4,114 867 426 741 1,129 1,814 2,826 1,185 1,648 3,123 9,849 5,956 1,909 3.991 2,146 1,072 i,499 i,745 740 400 78 97 552 795 340 692 247 2,723 917 5,201 2,146 3,735 1,401 i,590 i,758 3,239 1,255 3,215 634 1,367 2,040 2,949 755 4,255 971 1,664 1,043 402 150 544 1,383 2,283 3,051 32 17 45 53 2 7 20 2 IO I 8 12 50 26 34 12 4 7 25 65 9 15 10 38 42 40 35 36 26 32 21 43 5i 34 23 10 4 5 13 56 18 30 8 7 8 33 57 7 15 13 38 48 37 33 4 1 35 15 5 13 1 3 68 3 ' 10 13 1 ' 4 1 9 4 1 9 1 3 16 7 1 6 22 7 1 4 3 26 9 1 3 10 1 32 10 25 r 4 33 1 24 31 2 2 8 2 2 3 15 1 3 South Island. 946 6,508 1,765 2,486 7,837 4,867 4,585 4,972 4,406 1,142 1,120 11,604 30,792 3.669 ",342 5,986 5,498 1,642 5,653 9,083 2,014 4,080 2,561 7> r 79 4,762 6,273 6,446 3,790 4,360 2,515 22,578 7,988 124 419 2,848 810 1,102 3,773 2,075 1,850 i,758 1,699 448 475 5,438 14,644 1 >7i7 5,032 2,836 2,679 713 2,436 4,145 882 1,862 1,270 3,337 2,205 2,605 2,922 1,497 1,640 948 9,832 3,40i Sounds Marlborough Kaikoura Collingwood Waimea Buller Inangahua Grey Westland Amuri Cheviot Ashley Selwyn Akaroa Ashburton Geraldine Levels Mackenzie Waimate Waitaki Waihemo Waikouaiti Peninsula Taieri Bruce Tuapeka Clutha Maniototo Vincent Lake Southland Wallace Fiord 527 3,660 955 1,384 4,064 2,792 2,735 3,214 2,707 694 645 6,166 16,148 i,952 6,310 3.150 2,819 929 3,217 4,93 8 1,132 2,218 1,291 3,842 2,557 3,668 3.524 2,293 2,720 i,567 12,746 4,587 82 6 5 1 2 3 9 1 2 1 13 3 3 2 2 1 7 13 3 2 3 3 22 153 371 129 22 2 7 I 8 7 2 n 11 33 26 26 2 3 24 25 22 19 1 6 9 1 23 36 151 3 72 162 57 no 66 5 2 37 21 7 1 28 18 I 42 Stewart Island .. 253 145 108 Totals, counties 1,026 1,693 2 4J7.477 231,491 185,986 1,017

Log in or create a Papers Past website account

Use your Papers Past website account to correct newspaper text.

By creating and using this account you agree to our terms of use.

Log in with RealMe®

If you’ve used a RealMe login somewhere else, you can use it here too. If you don’t already have a username and password, just click Log in and you can choose to create one.


Log in again to continue your work

Your session has expired.

Log in again with RealMe®


Alert