Page image
Page image
Page image
Page image
Page image
Page image
Page image
Page image
Page image
Page image
Page image
Page image
Page image
Page image
Page image
Page image
Page image
Page image
Page image
Page image

Pages 21-40 of 45

Pages 21-40 of 45

Page image
Page image
Page image
Page image
Page image
Page image
Page image
Page image
Page image
Page image
Page image
Page image
Page image
Page image
Page image
Page image
Page image
Page image
Page image
Page image

Pages 21-40 of 45

Pages 21-40 of 45

H.—l.

1908. NEW ZEALAND.

FRIENDLY SOCIETIES, TRADE UNIONS, AND UNCLASSIFIED SOCIETIES. (THIRTY-FIRST ANNUAL REPORT BY THE REGISTRAR OF FRIENDLY SOCIETIES, FOR THE YEAR ENDING 31st DECEMBER, 1907.)

Presented to both Houses of the General Assembly pursuant to " The Friendly Societies An, 1882,'' Section 6, Subsection (Sj, and " The Trades-union Act, 1878," Section 16. FRIENDLY SOCIETIES. The Registrar is required by statute every year to ,"lay before the General Assembly a report of his proceedings and of the principal matters transacted by him, and of the valuations returned to or caused to be made by the Registrar during the year preceding." Registration of Societies and Branches. The total number of registrations during the year 1907 was 23, distributed as followsM.D.1.0.0.F., 4 lodges; 1.0.0. F., 3 lodges; A.0.F., 2 courts; A.0.5., 1 sanctuary 11 \O1) ' 11 lodges; 1.0. R., 2 tents. J ' In the following table the progress of registration during the year is shown by a comparison oi the number of societies and branches on the register as at the beginning and end of the year respectively.

A complete list of societies and branches on the register as at the end of 1907 is given in Appendix I.

* List op Abbreviations made use op in this Report. A.0.F., Ancient Order of Foresters. A.0.5., Ancient Order of Shepherds. 8.U.0.0.F., British United Order of Odd Fellows. H.A.C.8.5., Hibernian Australasian Catholic Benefit Society 1.F.5., Isolated Friendly Society 1.0. G.T., Independent Order of Good Templars. 1.0.0. F., Independent Order of Odd Fellows lOR Independent Order of Rechabites. M.U.1.0.0.F., Manchester Unity Independent Order of Odd Fellows' N.1.0.0.F., National Independent Order of Odd Fellows. P.A.F.S.A., Protestant Alliance Friendly Society of Australasia. R.E.8.5., Railway Employees' Benefit Society. S.A.S., Specially Authorised Society SD T Sons and Daughters of Temperance. U.A.0.D., United Ancient Order of Druids. 'W.M.C, Working-men's Club'-

I—H. 1.

Name or Class of Society. Statement as onthe 1st January, Statement as on the 31st December 19OT - 1907. M.U.I.O.O.F. 1 sooiety, 17 districts, 173 lodges, 1 juvenile 1 society, 17 districts, 17G lodges, 1 juvenile lodge, and 1 widow and orphan society lodge, and 1 widow and orphan society 1 grand lodge and 41 lodges .. .. ] grand lodge and 44 lodges 1 district and 2 lodges .. .. .. \ district and 2 lodges. 1 !°dge • • .. .. ..II lodge. 8 districts, 12G courts, and 3 juvenile courts i 8 districts. 127 courts, and 3 juvenile courts 1 sanctuary .. .. .. .,|8 sanctuaries. 3 grand lodges and 100 lodges .. 3 grand lodges and 111 lodges. 2 districts and 44 tents .. .. .. 2 districts and 44 tents. 1 grand division and 10 divisions .. .. 1 grand division and 10 divisions 1 district and 37 branches .. .. 1 district and 37 branches 1 grand lodge and 12 lodges .. .. 1 grand lodge and 12 lodges. 1 society .. .. .. .. 1 sooiety, 15 societies .. .. .. .. I 14 societies. 16 clubs .. .. 16 clubs. 1 grand lodge, 54 subordinate lodges .. 1 grand lodge, 54 subordinate lodges 21 societies .. .. .. .. 19 societies. I.O.O.F. N.I.O.O.F. .. B.U.O.O.F. .. A.O.F. A.O.S. U.A.O.D. I.O.R. S.D.T. H.A.C.B.S. .. P.A.F.S.A. .. R.E.B.S. I.F.S. W.M.C. I.O.G.T. S.A.S. ::

2

2

Complete Amendments of Rules registered. Complete amendments of the rules of the following societies and branches were registered during the year viz : — M.U.1.0.0.F. —Good Intent Lodge (Auckland District), Mansion of Peace Lodge (Nelson District), Phillipstown Lodge (North Canterbury District), Ashley District, and Bend ol Friendship Lodge (Otago District), Unity Lodge (Wellington District). A.O.F.—United Otago District, Wellington District, Court Sir George Grey (Wellington District), and Court Southern Cross (South Canterbury District). U.A.O.D. —The Grand Lodge of the North Island of New Zealand, and Tiniaru Lodge of the Grand Lodge of Otago and Southland District. W.M.C. —Wellington, Napier, and Kaiapoi Working-men's Clubs. S.A.S.— Sydenham and Suburban Co-operative Money Club. Partial Amendments of Rules registered. Partial amendments for the following were made : — M.U.l.O.O.F.—Auckland District; Fountain of Friendship Lodge (Auckland District) twice ; and Otago District. B.U.O.O.F.—Aorangi Lodge. 1.0.0.F. —Southern Cross Lodge. U.A.O.D. —Grand Lodge of Canterbury District. I.O.R.—New Zealand Qentral District. I.F.S.—New Zealand Collieries, Railway, and Oil Syndicate Employees' Benefit Society; Auckland Tramways Sick and Accident Friendly Society. W.M.C.—Ashburton Club and Mutual School of Arts. S.A.S. —Hawke's Bay United Friendly Societies' Dispensary. Cancellations by Dissolution, Etc. Registration of the following were cancelled : — I.O.R.—The Excelsior Tent of the New Zealand Central District. I. K.S.—Wellington Wharf Employees' Benefit Society. S.A.S.—Canterbury Band. Amalgamations. The Star of New Zealand Tent of the New Zealand Central District Independent Order of Rechabites amalgamated with the Gisborne branch of the same society. Conversions. A.O.F. —Court Sir George Grey was converted into a branch of the Wellington District of the Ancient Order of Foresters. J U.A.O.D. —The Albion and Brunner Lodges, into branches of the Grand Lodge of the North Island of New Zealand ; and the Bud of Hope Lodge, into a branch of the Grand Lodge of Canterbury District, New Zealand. Annual Returns and Statistics. In distributing the forms for the 1907 returns of receipts and expenditure, I enclosed a circular to each society referring to the success in compiling the 1906 statistics in time for the first Parliamentary report, trusting that secretaries would endeavour not only to repeat their good work, but if possible effect a further improvement. It is found that the more returns received by the Department during the months of January and February each year, the better the results, as the Department has then some time to adjust differences after checking and comparing with the previous year. lam pleased to record that there was a decided improvement in this respect, as during the first quarter of this year I received 444 returns for 1907, as against 355 for 1906 during the same period in 1907. When the tables were closed there were 593 returns to hand, compared with 574 in the previous year. Returns were still outstanding on the 31st May, months after due date, from the following societies : —

Society. bSSSS! b™ 01 "*- Society. Central Bodies. Kranchee 4.U.I.O.O.F.— North Canterbury District Otago District .0.0.F. of New Zealand Auckland District Hawke's B*y District J.A.O.D.— Grand Lodge of North Island Grand Lodge of Otago and Southland 1 1 6 I.O.R.New Zealand Central District H.A.C.B.S.— New Zealand District P.A.F.S.A.— Grand Council of Ne« Zealand Isolated Friendly Societies Working-men's Clubs Specially Authorised Societies 1 7 17 1 ■2 4 6 i 8 13 1 Total 87

3

H.—l

Membership and Funds. The following table shows the increased membership in 516 lodges* which furnished returns lor 1907 :—

* The word " lodge," when applied to all societies, is to be understood as embracing the synonymous terms " court," " tent," &c, as used in the various orders. The increase during 1907 was 7'6-per cent., as compared with 6-01 per cent, for 1906. The total funds of the societies and branches as on the 31st December, 1907, amounted to £1,118,216 18s. lid., made up as follows: Sick and Funeral Funds (inclusive of amounts transferred to special funds out of surplus), £1,033,477 6s. 10d., Medical and Management Funds, goods, &c.,, £84,739 12s. Id. Dividing the total funds by the number of members at the end of the year, it is found the average capital per member is now £19 13s. 7d. Taking the several years 1900-1907, the number of lodges whose returns were tabulated, the number of members, total funds, and average capital per member at the end of each were as under : —

The following statement shows the total funds (including those of the central bodies) as on the 31st December, 1907 :—

The following table shows the number ol members of friendly societies, the amount of their accumulated capital, and the average capital per member, in each of the Australian States and in the Dominion of New Zealand, according to the latest received statistics, arranged in order of membership : —

fumber of members, 1st January fumbor admitted by— Initiation, &o. Clearance 7,690 418 52,806 fumber who died fumber left by— Clearance .. Arrears, &c. 385 60,014 447 3,265 fumber of members at 31st December 56,817

Year. Number of Lodges tabulated. Number of Members. Total Funds. Average Capital. ;900 .901 .902 .903 .904 .905 .906 .907 443 445 462 465 479 501 500 516 40,257 41,236 43,408 45,255 47,302 51,103 53,759 56,817 £ 766,480 804,753 846,315 883,751 936,388 996,224 1,057,821 1,118,217 £ 8. d. 19 0 9 19 10 4 19 9 II 19 10 7 19 J5 11 19 9 11 19 13 6 19 13 7

Funds. Assets. Sick and Funeral Funds .. Surplus Appropriation Funds Management Fund, goods, &c. Widow and Orphans' Funds Distress, Benovolent Funds, &c. £ 1,005,084 28,393 63,137 9,926 11,677 Investments at interest .. Value of land and buildings Cash not bearing interest Value of goods Other assets Owing by Management Fund £ 912,654 143,527 41,807 11,524 7,363 1,342 Total .. 1,118,217 Total .. 1,118,217

Stale or Dominion. D&tu of Return. Number of LodgM. Number of Members. Amount .it Funds. Capital per Member. Victoria Jew South Wales .. Jew Zealand South Australia Queensland 'asmania.. Veetern Australia .. .. 31st December, 1906 1906 1906 1904 1905 1904 1906 1,351 1,314 500 493 405 166 237 £ 116,562 1,708,346 107,723 1,069,975 53,759 1,057,821 49,241 676,040 32,1(11 359,371 16,287 186,786 14,630 108,286 £ s. d. 14 13 2 9 18 8 19 13 6 13 14 7 11 3 6 8 7 11 7 8 0

H.-l

4

Sickness. The number of members sick during L 907 was 10,896, equal to 21-29 per 1(K) members at risk. The sickness experienced during 1907 was 81,199 weeks 2 days, equal to 7 weeks 3 days per sick member, and 1 week 4 days 2 hours for each member at risk. Owing in great measure to differences in the proportion of members at the several ages, the averages in the several districts differ considerably, also in the several societies or orders. The figures for the five largei orders for 1907 are found to be as follows : —

The percentage of members sick for the year 1907 was therefore highest in the A.0.F., while the average sickness per member at risk was highest in the M.U.1.0.0.F., and lowest in the 1.0.0. F. In 190(1 the percentage of member- sick was 18-84, the average sickness per member sick was 8-06 weeks, and the average sickness per member at risk 1 week 3 days 15 hours.

Mortality.

Sick and Funeral Funds. The contributions and entrance fees paid to Sick and Funeral Funds in 1907 amounted to £80,769. Divided by the mean number of members, the average was £1 9s. 6d., as against £1 9s. Bd. for 1906. The interest and tent received by the lodges and central bodies amounted to £44,645 in 1907, equal to 16s. 3d. per member, as compared with Mis. 7d. for 1906. The amount of sickness benefit paid was £58,939 in 1907, equal to £5 Bs. 2d. per member sick, and £1 Is. 6d. per member, as against £5 14s. 4d. and £1 os. 3d. respectively for 1906. Viewing the amounts paid in relation to the weeks of sickness, the average benefit per week is found to be 14s. 6d. in 1907, as compared with 14s. 2d. in 1906. The funeral benefit paid amounted to £11,085 in 1907, equal to 4s. Id. per member, as compared with 3s. Bd. for 1906. The total worth of the Sick and Funeral Funds at the beginning of 1907 of 516 lodges was £946,831, and at tl nd of the year £1,005.084, as compared with 500 lodges, worth £886,819 and £946,281, at the beginning and end of 1906. The balance of gain f6r the year was £58,253, or £1 Is. 3d. per member in 1907, as compared with £59,462, or £1 2s. 9d., in 1906. The averages for the five leading orders and for all societies are given in the following table for the year 1907 :—

Investment of Funds. The. total income from investments, less depredation, credited to the Sick and Funeral Funds for 1906 amounted to £43,279, which is Found to yield an average rate oi iM-Hl percent, (say, U 16s. lid)., as against £4 13s. sd. in 1905.

Sickuei is per Member. Katio (per Cent.) to To Sickness. Order. Percentage Sick. First Second 6 Months. 6 Months. After 13 Mouths. Sick. At Kisk. M.U.I.O.O.F. I.O.O.F. A.O.F. U.A.O.D I.O.R. 21-33 1858 21-66 21-03 19-99 Weeks. 8-43 5-4'J 768 508 7-39 Wks. clys. hre. 1 5 13 10 3 1 4 15 1 C 11 1 3 8 52 71 58 Tβ 67 8 7 7 6 8 40 19 35 18 25 All societies ■7-45 8 34 21-29 1 4 68

Year. Members. Wives. Niimhcr who rtird Number per 1,000 v llmh . r ..,,,, ,,;,.,, Number per 1.00C dumber who Med. Members at RUk. «l... .lnd M «inbere at RUk. 347 793 155 354 351 7-53 174 8-78 348 7-08 162 330 385 7-52 217 4 24 .904 .905 .006 9,17

Order. Income per K Jontrilmti'ms. [ember from Interest. Outgo per Member for Sickness. Funerals. Sick-beuefU per Member sick. Average Sickpay per Week Gain per Member. M I: I.O.O.F. l.O.O.K. .. A.O.F. U.A.O.I). .. I.O.R. £ s. d. 1 1-2 6 1 "J 8 1 7 6 17 8 15 4 £ s. fl. : 10 4 0 12 11 0 17 3 0 8 0 1 5 11 ! £ s. d. I l. il. 15 2 0 8 7 0 II -1 0 8 8 1 1 11 0 5 10 0 15 4 0 2 4' 112 0 3 7 ( s. d. (i 8 7 4 8 4 5 (i \ « S 7 s ia 7 I a. d. 0 14 8 0 16 1 0 19 10 0 16 3 0 15 3 £ 8. d, 14 6 16 6 0 19 3 0 19 1 1 6 6 All societies 1 'J 6 0 16 3 1 1 6 0 4 1 5 8 2 Oil 6 1 1 3

5

H.—l

Table showing the Total Worth of the SicK and Funeral Funds of 500 Lodges as on the 1st January, 1906, and the 31st December, 1906, inclusive of the Accumulations held by the Central Bodies; also the Amount and Average Rate of Interest earned.

In my last report I drew attention to the importance of the close investment of funds, and in this connection an improvement might readily be effected by reducing amounts held on current account. In some districts and lodges the sums so held are out of all proportion to requirements, and, seeing that the Post-Office Savings-Bank is available on special terms for societies, it does not reflect much credit on the part of those responsible that the funds should be deprived of the interest-earnings so necessary to insure future benefits to members. I cannot but reiterate the desirability of establishing centralised investment funds, the benefits of which in those districts where they have been set up are constantly coming under the notice of the Department.

The table I append below illustrates two important improvements in the management of societies —(1) the increasing proportion of funds invested on mortgage and at interest; (2) the decreasing proportion sunk in halls.

Valuations. This branch of the Department oompleted a very heavy year'sjjwork, many large valuations which had been outstanding for some years having received attention, and the staff is now in a position to attack current work. In 1907 there wen' LSI lodges veined, representing a membership of 13,151, thf heaviest output of valuation-work on record. The usual tables will be found in the appendices, and I also attach the Actuary's report on the valuations he has completed during the year. Membership and Benefits. Although tli" rate "I increase in the membership ol friendly societies in New Zealand hu not so l,ii- fallen off, it is noticed that in the United Kingdom the increase in the large affiliated orders does not keep pice with the increase in population, and.it would appear that unless societies meet modern demands by adapting their business to present-day requirements they will find it difficult to maintain the splendid position they now occupy. That the failure to proportionately increase membership in tk' United Kingdom is not due to a decrease ill the thrift ol the people is evidenced by the great increase in the business of industrial and life insurance, savings-banks, and building societies, and the inference is that the friendly society run on the old lines is unable to hold its own among the institutions which cater lor the worker. The low rates at which friendly societies in New Zealand caii offer death benefits compared with the rates asked by institutions doing industrial insurance is not. I think, quite realised by members of societies themselves, and a study of such comparison should set Iriendly-society leaders as to the practicability of a scheme whereby the economy of their organizations can be utilised to meet com-

Total Worth of Sick and Funeral Fund as on— Name of Society. Amount of Interest. Average Kate per Cent. January 1,1906. December 31,1906. M.U.I.O.O.F. I.O.O.F. .. N.I.O.O.F. .. B.U.O.O.F. .. A.O.F A.O.S. U.A.O.D. .. I.O.R. S.D.T. H.A.C.B.S. .. P.A.F.3.A. .. R.E.B.S. .. £ £ 425,748 451,616 45,586 49,465 4,576 4,488 1,772 1,960 242,055 257,107 1,146 1,157 81,683 91,796 46,880 49,838 12,608 18,232 8,647 8,998 13,096 13,710 3,022 2,914 £ 425,748 45,586 4,576 1,772 242,055 1,146 81,683 46,880 12,608 8,647 13,096 3,022 £ 21,033 2,145 196 97 11,517 67 4,100 2,444 591 356 609 • 122 £ ■ 4-91 4-62 4-42 5-34 4-72 5-99 4-84 518 4-68 4-14 4-65 4-20 Total 886,819 946,281 43,279 4-84

How iuvested. 1H96. 1897. 1898. I 1899. 1900. 1901. 1902. 1903. 1904. 1905. 1906. 1907. atio to total assets (per cent.) of— 1. Investments at interest 2. Value of land and buildings 3. Gash not bearing interest .. 4. Value of goods, &o. 5. Other assets 74-49 19-48 407 1-7-2 0-24 75-45 18-45 416 1-67 0-27 76-49 17-65 3-93 1-66 0-27 77-57 77-98 16-74 15-87 3-91 4-29 1-54 1-47 0-24 0-39 77-95 1615 3-98 1-42 0-50 78-68 15-27 3-89 1-26 0-90 78-94 14-80 4-17 118 0-91 78-89 1417 4-58 1-20 116 80-29 80-53 13-66 ! 13-48 3-90 400 116 112 0-99 C-87 81-62 12-83 3-74 103 0-78

H.—l

6

petition. Table No. 1, given below, is deduced from the experience of friendly societies themselves, and the rates quoted for comparison arc approximately compiled from the advertised rates offered by some of the outside industrial institutions.

Comparison of Premiums for Assurance of £50.

The above rates do not, of course, provide for management-expenses; but in friendly societies that would amount to very little, as the working-machinery for increased benefits is ready to hand. It should be noted that the rates in TableJNo. 1 are applicable to those societies where it is reasonable to suppose the mortality-rates do not exceed the average of New Zealand friendly society members. In other societies the rates might require to be a trifle higher.

Consolidation of Benefit Funds. The general movement throughout societies in the direction of establishing general sick-funds may be regarded as an indication of the awakening of members to the responsibilities cast upon them to enhance the value of their organizations, and there are indications that consolidation carried out on sound lines is more likely to succeed in meeting competition than any other practicable method. The great advantages to be derived from the investment of funds alone under this scheme is now considered to more than compensate for any increase in sick-pay through lack of supervision ; but, in fact, the management rate of friendly societies is so low that additional checks might be applied without greatly increasing the burden of expense. To any one who studies the statistics of friendly societies in detail, and notes the large amounts held on current account, uninvested, or badly invested, by so many branches of the various orders, it is clearly evident that the beneficent work of the societies could be greatly extended were the control of these scattered finances held by one strong central body for each society. Adequate Contributions. This important condition of sound finance is now engaging the attention of all who are interested in the future of friendly societies, and it is interesting to note that, compared with New Zealand, several of the Commonwealth States have in foroe much more ilrastic legislation, not only applying to future registrations, but to societies already registered. It is doubtful, however, whether the desired effect is attained by at once adopting extreme compulsory measures, and the recent disclosures in a State which has more stringent laws than New Zealand on this subject are not encouraging to those who expect complete reform by passing an Act of Parliament. The societies of New Zealand have in recent years undoubtedly improved in this respect, and there is now an almost general desire in the leading orders to take up the question in earnest, a result largely due to the lessons of actuarial valuation and its undertaking by the Government free of charge. Those societies who have improved their position and adopted Bound scales of contributions are now entitled to such, protection as the State can give them from competitors who, without regard to the financial liabilities they are incurring, offer benefits for which adequate provision has not been made. £" A table of adequate rates of contributions for benefits, prepared pursuant to subsection 7, (c), of section sof " The Friendly Bocii 11< s Act, 1882," is given hereto.

No. 1. No.°. Industrial Insurance. No. 1. No. 2. Industrial Insurance. Age. N.Z.F.S. Table, 4 Per Cent. Annual Premium (no Provision for Expenses). Annual Premium Approzimi (includes ' (deduced fr Expenses, &c), i (3d.-a-week1 Office A. Office I Approximation (deduced from a (3d.-a-week Table), Office B. iati< roni Tab B. Age. 4 Per Cent. Annual Premium (no Provision lor Expenses). Annual Premium Approximation (includes (deduced from a Expenses, &c), 3d.-a-week Table), Office A. Office B. 16 17 18 19 20 21 22 . 23 24 25 26 ■27 28 29 30 31 32 33 34 35 36 37 38 e b. d. 0 8 11 0 9 2 0 9 5 0 9 8 0 9 11 0 10 3 0 10 6 0 10 10 0 11 2 0 11 6 0 11 11 0 12 4 0 12 9 0 13 2 0 13 7 0 14 1 0 14 7 0 15 2 0 15 9 0 16 4 0 17 0 0 17 8 0 18 6 £ s. d. 118 118 1 1 8 1 1 8 16 0 16 0 16 0 1 6 0 16 0 1 6 0 1 10 4 1 10 4 1 10 4 1 10 4 1 14 8 1 14 8 1 14 8 1 14 8 1 19 0 1 19 0 1 19 0 1 19 0 2 3 4 £ s. d. 10 4 1 1 0 1 1 8 12 5 13 3 14 1 15 0 1 (i 0 1 7 0 1 7 0 18 3 19 7 1 10 11 1 10 11 1 12 6 1 14 2 1 14 2 1 16 1 1 18 3 1 18 3 2 0 8 2 0 8 2 3 4 39 40 41 42 .43 44 45 46 47 ' 48 48 50 51 52 53 54 ! 55 : 56 ; 57 58 59 60 £ a. d. 0 19 3 10 2 111 12 0 13 1 14 3 15 5 1 6 8 1 7 11 19 3 1 10 8 1 12 1 1 18 8 1 15 3 1 16 11 1 18 8 2 0 7 2 2 7 2 4 9 2 7 1 2 9 8 2 12 5 £ s. d. 2 3 4 2 3 4 2 7 8 2 7 8 2 7 8 2 12 0 2 12 0 2 12 0 2 16 4 2 16 4 3 0 8 3 0 8 3 5 0 3 5 0 3 9 4 3 13 8 3 18 0 4 2 4 4 6 8 4 11 0 4 15 4 4 19 8 £ s. d. 2 3 4 2 6 5 2 10 0 2 10 0 2 14 2 2 14 2 2 19 1 2 19 1 2 19 1 3 5 0 3 5 0 3 12 3 3 12 3 4 13 4 1 3 4 1 3 4 12 10 4 12 10 4 12 10 5 8 4 5 8 4 5 8 4

H.—l

7

Annual Contribution payable by Weekly, Fortnightly, or Monthly Instalments during Life to purchase the Undermentioned Benefits. [New Zealand Friendly Societies' experience, 4 per cent.]

Example. —To find the Annual Contribution at Age 22 to provide £1 per week during first six months' sickness, 10s. per week during second six months' sickness, and ss. per week after twelve months' sickness, with a funeral benefit of £20 at death of member,*and £10 at death of member's first wife : — Age 22— £ s. d. £1 per week, first six months' sickness (as given in the table) .. 019 10 10s. per week, second six months' sickness (one-half the value given in the table) .. .... .... .. ..018 ss. per week, after twelve months' sickness (one-fourth the value given in the table) .. .. .. .. .. ..050 £20 at member's death (twice the value given in the table) ..042 £10 at member's wife's death (as given in the table) .. ..01F Total annual contribution .. .. .. .. £1 12 1 Unsound Schemes. There appears to be a disposition in some of the Dominion friendly societies to adopt the uniform death levy or assessment for high funeral benefits, and in view of the dangers of such schemes it would not be out of place to sound a note of -warning as to the unfinancial character of the system. The United States of America, as in many other experiments, has furnished an illustration of the results oflassessment as applied to friendly societies ; and to the laymen a pound of practical experience is'probably more convincing than a ton of expert opinion. The following quotation is taken from the Philadelphia Intelligence, in a review of " Half a Century of Insurance Experimentation." The term " fraternalism " in the United States is, of course, synonymous with " friendly societies " in New Zealand : — " These local groups in the early days of fraternalism almost entirely eliminated the agent, for the members did their own soliciting, because they were imbued with the beauties of fraternal relations. The expense-item was almost nominal. Hundreds and thousands of men rushed into these orders. Everybody was alike. It was a dollar or dollar-and-a-quarter assessment, with flat rate at a given age. The man who started injat twenty-five paid the same if he lived to be forty. It was ideal in theory, had it not beenjfor thejpersistency of old mortality for recognition. So long as new members

Allowi ice of £1 per week during ineral tonel Member's Age at Admission. First 8ixMoiitliB' SiuknesB. Second Six Months' Sickness. After Twelve Months'Sickness. At Death of Member. At Death of Member , ! First Wife if Member then living. Member's Age at Admission. Iβ 17 18 19 £ b. a. 0 18 4 0 18 7 0 18 10 0 19 0 £ 8. d. 0 2 8 0 2 9 0 2 10 0 2 11 £ b. a. 0 15 4 0 16 0 0 16 9 0 17 6 £ b. d. 0 19 0 1 10 0 1 11 0 1 11 £ s. d. 0 13 0 1 4 0 14 0 14 1G 17 18 19 20 •21 22 23 24 0 19 3 0 19 7 0 19 10 1 0 2 1 0 5 0 3 0 0 3 2 0 3 3 0 3 4 0 3 6 0 18 4 0 19 2 10 1 111 1 2 1 0 2 0 0 2 1 0 2 1 0 2 2 0 2 3 0 15 0 1 5 0 1 5 0 1 6 0 16 20 21 22 23 24 Sβ Sβ 27 Sβ 211 10 9 1 1 2 1 1 7 12 1 12 7 0 3 7 0 3 9 0 3 11 0 4-0 0 4 2 1 3 "2 14 3 1 6 6 16 9 18 2 0 2 4 0 2 5 0 2 5 0 2 6 0 2 8 0 17 0 17 0 18 0 18 0 1 9 25 26 27 28 29 30 81 89 88 M 13 1 13 8 14 2 1 4 10 15 5 0 4 4 0 4 7 0 4 9 0 4 11 0 5 2 19 7 1 11 1 1 12 8 1 14 4 1 16 1 0 2 9 0 2 10 0 2 11 0 3 0 0 3 2 0 1 10 0 1 10 0 1 11 0 2 0 0 2 1 30 31 32 33 34 35 3G 37 38 89 16 1 16 9 1 7 6 18 3 1 9 1 0 5 5 0 5 8 0 5 11 0 6 2 0 6 6 1 18 0 2 0 1 2 2 3 2 4 7 2 7 1 0 3 3 0 3 5 0 3 6 0 3 8 0 3 10 0 2 2 0 2 2 0 2 3 0 2 5 0 2 6 35 36 37 38 39 ■10 41 42 43 44 1 9 11 1 10 9 1 11 8 1 12 7 1 13 6 0 6 10 0 7 2 0 7 6 0 7 10 0 8 2 2 9 8 2 12 6 2 15 6 2 18 8 3 2 0 0 4 0 0 4 2 0 4 5 0 4 7 0 4 10 0 2 7 0 2 8 0 2 10 0 2 11 0 3 1 40 41 42 43 44 45 1 14 5 0 8 7 3 5 7 0 5 1 0 3 2 45

H.—l

8

could be secured, the managers snapped their fingers at old mortality. Members were reported by tens of thousands and hundreds "f thousands, and everything went along swimmingly. By-and-by. average age began to get in its work. Then the fraternaJists made the acquaintance of normal deathrate, and it became necessary to increase the number of assessments. Then the little fellows began to drop out, and the large ones in the central bodies began the long fight for securing increased rates, This fight is still going on, for fraternalism is still a mighty force in this couniiy. The fight now, however, is to get the existing orders upon a basis founded upon expeiii nee with proper cost-charge. Quite a good many of the orders may not survive this phase of evolution. Some will, and it de<s not si <in a far cry to believe that some "I these days Eraternaliam, pruned of its crudities, strengthened in its weak places, may attain to some such position in the life-assurance world that industrial health and accident insurance is coming to attain in the accident and health world. As is the case with assessment life insurance, while the trail is strewn with wrecks and disappointed people, nevertheless, take the country as a whole, the good which must come from a comprehension of life insurance, fair-minded men must, we believe, concede that, taken by and large, it is well that assessinentism and fraternalisin have been part of the life-insurance development of the past fifty years." Deaths. I regret having to note the decease of two prominent officers of friendly societies during the year, Mr. J. Mackay, late Grand Secretary of the North Island United Ancient Order of Druids, and Mr. W. Smith, Grand Secretary of the Protestant Alliance, Friendly Society. Mr. Mackay has done yeoman service for the cause of Druidism, and mainly through his efforts the Grand Lodge of the North Island gained its independence from Victoria, and its subsequent phenomenal increase in membership. Mr. Smith had been Grand Secretary erf his Order in New Zealand for twenty-six years, and the business of the society was at all times conducted by him on sound lines with commendable promptitude and efficiency. Other Societies on Register. At the end of 1907 there were 15 isolated friendly societies. 4 juvenile societies, lfi working-men's clubs, and 20 specially authorised societies : total 55. TRADE-UNIONS. The registrations of two trade-unions were cancelled during the year —viz., " The Amalgamated Labour Union " and " The Thames Miners' Union." UNCLASSIFIED SOCIETIES REGISTRATION ACT. During 1907 there were 47 societies, clubs, or associations incorporated under this Act, and amendments of rules of 28 societies were accepted. On the 31st December, 1907, there were 450 incorporated bodies under this Act. The necessity for amending legislation in respect of these registrations is becoming increasingly evident, as under the present Act there is considerable difficulty in defining the character of many societies applying for incorporation. Robt. E. Hayes, Registrar Friendly Societies, Trade-unions, and Wellington, 15th June, 1908. Unclassified Societies.

REPORT BY THE ACTUARY. The Registrar. In connection with the various valuation reports which I have furnished you during the year on individual societies and lodges, there are some matters of a general nature which are worthy of remark. Comparison of Valuation Tables with the Experienci:. In making the valuations completed in 1907, the recently constructed New Zealand Friendly Societies' Mortality Table was employed for the first time, in conjunction with the New Zealand Friendly Societies' Sickness Tables. It is advisable to continually test the valuation tables against the current experience of the societies, in order to ascertain the extent to which the tables are or are not appropriate measures of the liabilities. This is conveniently done -by comparing the actual experience with the experience expected by the tables. Such a comparison is always made for each individual lodge at the time of valuing, and the results, as regards the societies valued in 1907, have now been summarised. The figures relate to the five years preceding the valuation-date in each case. Looking first at the mortality rates, we find

H—l

9

the number of deaths that occurred in the period preceding the valuation was 466, whilst the numbe expected, according to the new New Zealand Friendly Societies' table, was 482. The figures in detail for quinquennial age-groups are appended : —

Comparison of Actual Deaths with those expected by the New Zealand Friendly Societies' Table for the Five Years preceding Valuation. (Societies valued in 1907.)

If these figures are displayed in another form (in larger age-groups) we have—

This tends to show that the experience agreed very closely indeed Jwith the new mortality table. As mentioned in the last annual report, the new table is very low—considerably lower in fact than the New Zealand Population Table ; and on that account it increases the stringency of the valuations somewhat. In face of the above figures it cannot be said that it is too low. The indication is in fact slightly the other way. The following further table may be interesting not only as justifying the change in the valuationbasis from the New Zealand Population Table to the New Zealand Friendly Societies' Table, but also as indicating the lightness of the death-rates of friendly-society members : — Comparison of Mortality Rates. (Societies valued in 1907.) Deaths expected by New Zealand Population Table .. .. .. .. 594 Deaths expected by New Zealand Friendly Societies' Table.. .. .. 482 Actual number of deaths .. .. .. .. .. .. 466 As regards the sickness, the following table compares the total actual sickness with the amount expected according to the sickness tables : —

Comparison of Actual and Expected Sickness for the Five Years preceding Valuation. (All Societies valued in 1907.)

The actual amount of sickness was therefore 97,818 weeks, against 97,159 expected; and it may be added that the actual• sickness-cost was £70,703, against £71,753jexpected. Generally speaking, then, the above experience goes to confirm the suitability of the tables as a the valuations. I now give some more detailed tables'of the sickness experience of the societies valued in 1907, exclusive of Auckland A.O.F. and Nelson A.0.F., whose figures were not taken out in this form :—

2—H. 1.

Age. re ?«l^ fe Actual , Expected ! MoKty' Death,.' Deaths. Age. Years of Life at Risk of Mortality. Actual Expected Deaths. Deaths. Under 20 20 to 25 25 to 30 30 to 35 35 to 40 40 to 45 45 to 50 50 to 55 I i i 1,454 8,329 9,880 8,802 6,727 5,186 4,363 3,339 7 81 19 16 27 86 II 38 6-14 35-96 44-63 42-29 33-10 28-78 38-88 45-39 55 to 60 60 to 65 66 to 70 70 to 75 75 to 80 80 to 85 85 and upwards 2,584 2,205 1,202 536 141 54 5 43 | 57 I 45 33 12 6 2 47-41 55-07 47-42 33-89 13-97 7-86 1-03 Total 54,807 466 481-77

Ag Age. ge. Number of Deaths. Expected Deaths. Difference. Under 40 40 to 60 Over 60 153 158 155 162 161 159 162 161 159 9 3 4 9 8 4 Total .. 466 482 482 16 16

i». Years of Life Total Actual F ™*l at Risk of Bloknea sf<£S»? Siokn (weeks). (weeta)! Age. Years of Life at Risk of Sickness. Total Actual Sickness (weeks). Total Expected Sickness (weeks). I I Under 20 20-25 .. 25-30 .. 30-35' .. 35-40 .. 40-45 .. 45-50 .. 50-55 .. 55-60 .. 1,454 1,207 1,168 8,321 7,630 6,821 9,873 8,989 7,614 8,765 8,134 7,361 6,712 7,666 6,238 5,156 6,349 6,545 4,329 5,952 7,964 3,308 6,509 8,370 2,559 8,331 9,417 60-65 .. 65-70 .. 70-75 .. 75-80 .. 80-85 .. 85 and upwards .. Total 2,176 1,162 515 137 54 3 12,565 11,610 7,582 3,388 1,757 149 11,981 11,530 7,607 2,870 1,555 118 54,524 97,818 97,159

H.—l

10

Sickness Experience for the Five Years preceding Valuation. (Societies valued in 1907, exclusive of Auckland A.O.F. and Nelson A.O.F.)

Remarks on the Valuations. In submitting the following remarks regarding individual societies or districts, it may not be out of place to state succinctly what is meant by the word " deficiency "in this connection. The business of a friendly society, so far as the Sick and Funeral Funds are concerned, may be said to consist of entering into contracts with members to insure them against certain risks ; and the peculiarity of these contracts is that the burden of each of them continually increases for a long term of years, with the increasing ages of the individuals. The contracts are in fact like a lot of wedges, of which the society gets only the thin ends first, the arrival of the thick ends being gradual and long delayed. It is imperative, therefore, that the society should accumulate funds to enable it to meet the increasing demands when they fall due. When it is stated that there is a deficiency, the meaning then is that on a reasonable estimate the accumulated funds held by the Sick and Funeral Fund are not sufficient for this purpose. Seeing that societies rarely, if ever, admit members over forty-five years of age, it must be clear to any one that many years must elapse before a lodge has its full quota of old members, and hence its full current risk, the very lowest period being about fifty-five years, and in almost all cases considerably more, particularly where the lodge is a growing one. Several old lodges in New Zealand have already arrived at the stage where the outgo for benefits is in excess of the contribution income. One of these is the Wanganui Lodge (M.U.1.0.0.F.), established in 1858, which during the last sixteen years has actually paid out in benefits £1,875 more than it has received in contributions, and yet the claims were practically normal. The Marlborough Lodge (M.U.1.0.0.F.) is another case, the excess of outgo being £1,969 in sixteen years. These are practical illustrations of the foregoing arguments, and show why a fund must be accumulated in the earlier years. Both these lodges are solvent, it may be added. In this connection I would point out that the effect of the accession of an increasing number of new members is generally to merely delay the arrival of the dangerous epoch. Many lodges which are in a bad position show a large increase in the funds, and members are thereby apt to be deluded into the idea that the lodge is progressing. This increase in the funds is simply due to the fact that the money of these members arrives in the lodge before the corresponding liabilities develop fully; and an influx of young members, even at the most inadequate rates, will often cause an immediate increase in the funds and an appearance of solvency, though in reality the accession of business may be of the most unprofitable character. Referring now more particularly to the experience of New Zealand friendly societies, I find that i 1-advised investment of benefit-fund money in halls has been a stumbling-block to many lodges, and some lodges are unfortunate in following a practice of allowing large sums of|money to remain on current account at a bank, which is of course an expensive luxury. I now append remarks regarding the various valuations. These remarks are not exactly extracts from my reports, but are rather in the nature of comments designed to give the salient features. The various figures are fully set out in Appendix IV. Hawke's Bay District, M.U.1.0.0.F. : Valued as at 3lst December, 1904. At the date of the valuation the district consisted of 11 branches, with a membership of 1,225, showing an increase of 243 members during the quinquennium. The sickness experience of the quinquennium was favourable.jbeing standard to the extent of £288, or 5 per cent. ; but nevertheless the rates of sickness show an increase as compared

Age. Years of life at Risk. Sickness Moi First Six iths. Sickness Second Six Months. Sickne Twelve 3 after ifonths. Total 6 Sickness. Actual. Expected. Actual. Expected. Actual. Expected. Actual. Expected. Jnder 20 S0-25 S5-30 10-35 15-40 tO-45 15-50 >0-55 .5-60 .0-65 S5-70 r 0-75 r 5-80 SO-85 !5 and upwards 1,235 6,750 7,812 6,686 5,049 3,888 3,283 2,566 1,771 1,596 968 463 125 48 3 Weeks. 1,018 5,302 5,512 4,673 3,650 3,061 2,863 ; 2,597 2,252 2,747 1,680 1,147 282 68 Weeks. 870 4,730 5,094 4,476 3,687 3,392 3,673 3,336 2,782 3,085 2,285 1,695 470 150 4 Weeks. 45 500 584 570 522 410 ; 360 414 ; 431 ; 741 647 529 202 36 Weeks. 43 :■>:«; 390 338 301 386 468 695 601 788 582 620 203 71 Weeks. 17 474 791 1,297 1,598 1,375 968 1,105 2,645 6,064 7,736 5,407 2,736 1,553 149 Wicks. 80 469 544 5 804 . 70S 1,161 1,901 2,462 3,135 4,915 6,738 4,525 1,946 1,161 112 Weeks1,080 6,276 6,887 6,540 5,770 4,846 4,191 4,116 5,328 9,552 10,063 7,083 3,220 1,657 149 WCeks. 993 5,535 6,028 5,618 4,696 4,939 6,042 6,493 6,518 8,788 9,605 6,840 2,619 1,382 118 2 Totals 42,243 42,243 36,852 39,729 5,991 5,824 33,915 30,661 76,758 76,214

11

H.-l

age for age with those of the previous quinquennium. This •points to the possibility of an increase in sickness rates in the future. The mortality experience of the quinquennium was favourable, the deaths being 35, as against 40 expected. IfjWe take the figures for the last twenty years we find that the actual] number of deaths was 103, whilst the number expected, according to the present standard, was 109. The rate is therefore a little under the standard. Five lodges credited an interest-rate of 4 per cent, or over to their Sick Funds, but in one case this was counterbalanced by an amount written off the hall. Three lodges earned between 3 and 4 per cent, and three under 3 per cent. It must be remarked, however, that in some cases the rate of interest earned by the Sick Fund was really greater, but was in part wrongly credited to other funds. Various amounts were written off halls by way of depreciation. The result of the valuation shows this district in a very satisfactory light on the whole. Six of the lodges have surpluses totalling £5,995, five of them deficiencies totalling £2,023, the surpluses exceeding the deficiencies by £3,972. This result is mainly due to the excellent scale of contributions in force in the district, and to the good interest-returns. It is, however, noteworthy that the five lodges with deficiencies have all failed to earn 4 per cent, net on their funds in the last fifteen years, and here is to be found the main cause of their backwardness. The scale of contributions only purports to be adequate on the condition that not less than 4 per cent, is earned on the funds. Lyttelton District, M.U.1.0.0.F. : Valued as at 3lst December, 1905. At the valuation-date there were 7 branches, but, 1 having seceded shortly after, only 6 were included in the valuation, the membership being 522. The sickness experience of the quinquennium was unfavourable to the extent of £145, or 4 per cent., whilst the mortality experience was considerably higher than the standard, the deaths being 30, as against 23 expected. The excess in the number of deaths was due largely to an abnormality in one lodge (Good Intent). The figures of the District for fifteen years are as follows : Actual deaths, 84 ; expected, 75. Of the 6 lodges, 3 realised over 4 per cent, on their funds and 1 failed to realise 3 per cent. The result of the valuation shows that one lodge has a surplus of £267 and five have deficien ies aggregating £2,764, the net aggregate deficiency being therefore £2,497. The position is due mainly to the somewhat low scale of contributions, though there have been other influences working in opposite directions, such as high rates of interest in some cases and low rates and investment losses in others. One of the lodges has been particularly unfortunate in past years with its hall investment. The District Funeral Fund is supported by means of varying percentage levies on the contributions of lodges and this is inequitable. The system would be fair enough if the percentage were properly fixed at the outset and then adhered to. Otago District, M.V.1.0.0.F: Valued as at 31st December, 1904. At the valuation-date this distriqt consisted of 30 branches with a membership of 3,764, showing an increase of 862 members during the quinquennium.^.JOnly 29 of these were included in the valuation, the remaining one having been dissolved since 1904. The sickness experience of the district for the quinquennium shows considerable variations from the standard when individual lodges only are looked at. As a whole the experience of the district was in point of cost about 4J per cent, under the standard. Among the lodges with an unfavourable sickness experience were several belonging to mining towns. The mortality was practically identical with the new standard. The district has for a long period been working with a scale of contributions which is not adequate at 4 per cent., and it is therefore a very gratifying feature that a good interest-earning power has been maintained, for twenty lodges realised more than 4 per cent. To quote from my valuation report, " So long as the present low scale of contributions is adhered to, a high rate of interest is an absolute necessity, and a solvent position cannot be attained without it." Some of the lodges have, however, failed to realise this fact. Six of the lodges were found to have surpluses and 23 deficiencies, the surpluses aggregating £5,886 and the deficiencies £19,887. These figures relate to the Sick and Funeral Funds, only. The deficiencies are generally due to the handicap placed upon lodges by the original inadequacy of the contributions. The six surplus lodges, by an excellent management of the investments and a favourable experience, have overcome this handicap, whilst the others have so far failed to do so. Since the above was written I hear that in accordance with my advice the district has decided to increase the scale of contributions to new entrants. The management of the majority of the lodges in this district is distinctly commendable. Wanyanui District M.V.1.0.0.F. : Valued as at Mst December, 1905. At the valuation-date the district consisted of 10 branches, with 933 members. During the quinquennium the sickness was favourable to the extent of £117, or about 3 \ per cent. The mortality was light, the deaths being 13, as against 20 expected. Of the 10 lodges, 4 earned over 4 per cent, on their funds, and 5 failed to reach 3 per cent. Of the latter, however, some are but young lodges, whose funds do not yet amount to a large sum. The valuation shows that 1 lodge has a surplus, amounting to £1,979, and 9 have deficiencies, amounting to £6,141, the net deficiency being therefore £4,162. The deficiencies are due mainly to the inadequate scale of contributions. I have pointed out that the district is not complying in this respect with the rules of the New Zealand Branch with which it is affiliated. These rules provide an adequate scale.

H.—l

12

The lodge with a surplus (Wanganui) owes its position principally to its good fortune with its property. Also th'i inequitable constitution of the District Funeral Fund, which is supported by the equallevy system, favours this lodge at the expense of the others, and I have recommended an alteration. Marlborough District M.U.1.0.0.F. : Valued as at 31st December, 1906. At the valuation-date this district consisted of 2 lodges, with 175 members. Taking the two lodges together, the sickness in the quinquennium was below the standard to the extent of £128, or 8 per cent. The mortality was low, there being 6 deaths, whilst 11 were expected. Taking the mortality over fifteen years, there were 22 deaths, as against 26 expected under the present standard table. Both lodges earned over 5 per cent, during the quinquennium. The contributions cease at age 65, and, giving due weight to this fact, it is found that each lodge has a surplus. The contributions are not adequate at 4 per cent., but beth lodges have more than made up for this by having had their funds invested at what might be called enormous rates of interest in the early years, and hence the present good results. It is too much to expect a continuance of such high interest-rates for a long period of years ahead, and hence the contributions now being charged to new entrants should be carefully reconsidered. Southland District M.U.1.0.0.F. : Valued as at 31st December, 1903. At the valuation-date this district consisted of 10 branches, with a membership of 1,181. The sickness experience of the district for the quinquennium (exclusive of the three new lodges) was in excess of the standard, the actual cost being greater than the expected by £593, or 11 per cent. This excess was principally due to one lodge (St. George) which was above the standard by £724, or 49 per cent. Another lodge (Winton) had a very bad experience, the excess being £186, or 47 per cent. The remaining lodges showed lesser variations. The mortality agreed closely with the new standard. This district works on a scale of contributions very similar to that of the Otago District, but a little lower at some points. With so low a scale, it is an imperative necessity that a rate of interest considerably higher than 4 per cent, should be earned. In the quinquennium only three of the lodges succeeded in attaining an interest-yield of more than 4 per cent. The lodges show deficiencies totalling £13,937, due principally to inadequate contributions, coupled in some cases with a low interest-yield or excessive sickness, or both. Nelson District M.U.1.0.0.F. : Valued as at 31st December, 1905. At the valuation-date the district consisted of 6 branches, with a membership of 825. The sickness experience of the quinquennium, taking the district as a whole, was practically identical with the standard in point of cost. The mortality was a little below the new standard, the deaths being 43, as against 49 expected. If we take the figures for fifteen years, we find 127 deaths, against 123 expected. The mortality may therefore be said to agree with the standard. The interest-earnings have been very good indeed, all the lodges, except Mataki (only recently opened) showing a return of over 4 per cent., and, in addition, the District Funeral Fund produced similarly good returns. The funeral liabilities of the individual lodges are reinsured in the District Funeral Fond, the lodges paying thereinto specific contributions corresponding to the age of each member. According to the new mortality standard, the lodges are paying into this fund a little more than is quite necessary, and partly from this cause, and also from the good interest-earnings, the fund has a surplus of £1,970. Looking now at the Sick Funds of the lodges, it is found that three of them have surpluses aggregating £2,330, and three of them deficiencies amounting in all to £1,047.- There may therefore be said to be a net surplus of £1,2.83 in the lodge Sick Funds ; and this is quite separate from and in addition to the above-mentioned surplus of £1,970 in the District Funeral Fund. The district as a whole is therefore £3,253 to the good. The position is very creditable indeed, particularly when it is remembered that new members have to contribute according to an excellent scale of contributions, and therefore do not introduce deficiencies. This district constitutes an example of the wisdom of adopting actuarial methods. Nelson District, A.0.F.: Valued as at 31st December, 1905. At the date of the valuation the district consisted of 10 branches, with a membership of 890. The sickness-cost of the quinquennium preceding the valuation was practically identical with the standard, the difference being only £12. The mortality experience of the quinquennium was considerably in excess of the standard, the deaths being 55, against 39 expected ; but when the figures for fifteen years past are taken out we find a closer agreement, there being 98 deaths, as against 95 expected. This district is somewhat noteworthy in two respects. In the first place, it has a loose form of government in the matter of benefits and contributions, the courts being allowed considerable freedom in deciding upon the benefits, the absurd position resulting that the same scale of contributions is made applicable by different courts to different rates of benefits, and some of the courts have from time to time altered the scale of benefits quite informally by mere resolution, leaving the legal position very doubtful. In the second place not a single court failed to earn more than 4 per cent., an admirable result. The valuation discloses deficiencies in all the courts, totalling £9,240. A couple of courts are practically solvent, the deficiency being only small. The weak position of most of the courts is due to the

13

H.—l

inadequacy of the contributions, the courts which approach a sound position owing that to their high interest-earnings, combined with a favourable experience. I have advised the district to adopt a more adequate scale of contributions, and at the 8 mi•• time to introduce uniformity in the matter of benefits. It has happily not been necessary to remind the courts of the importance of securing remunerative investments for their funds, and for this great credit is due to the district. The District Fnneial Fund is supported by the inequitable system of equal levies llawke's Bay District, A.O.F. : Valued as at 31st December, 1903. At the date of the valuation the district consisted of 13 branches, with a membership of 926. The sickness during the quinquennium was very light, the cost being less than the standard by £985, or 21 per cent. The mortality was also very low indeed, the deaths being only 18, as against 29 expected by the standard table. A reference to previous periods tends to show that the mortality for the quinquennium in question was abnormally low, and the experience of the M.U.1.0.0.P. Hawke's Bay seems to bear this out. Of the thirteen branches, seven earned over 4 per cent, on their Sick Funds during the quinquennium, and only one failed to earn 3 per cent., the remaining five coming between 3 per cent, and 4 per cent. The Funds in control of the district body all produced over 4J per cent. Of these the Central Investment Fund yielded 5 per cent. This fund is an excellent idea, as it accepts amounts for investment on behalf of the branches, and thereby plays no small part in assisting the branches to maintain a good rate. In common with other similar organizations, the district has a Central Funeral Fund which reinsures all the funeral liabilities of the branches. In addition to this, moreover, it has also a Central Sick Fund, which similarly reinsures all sickness of more than six months' duration. The object of the Central Sick Fund is a very good one —viz., to spread the risk of fluctuation over all the courts ; but as constituted in this instance its effect is very bad indeed, as the courts are compelled to contribute to it on the basis of an equal amount per member in spite of the fact that the risk per member is very much greater in the older courts. The result of this is to impose on the young courts a share of the extra liability of the old courts. I have dealt fully with the matter in my report on the district. The simplest way of getting over the difficulty would'probably be to centralise all the sickness as well as the funeral liabilities. Apart from the above remarks, the valuation shows that only two courts have surpluses. These amount to £2,180, and the deficiencies in the other eleven courts to £7,285. The position is due to the inadequacy of the contributions. A reform in the constitution of the Central Sick Fund would make considerable alteration in the state of the different courts. Auckland District, A.O.F: Valued as at 31s£ December, 1902. . At the date of the valuation there were 20 branches, with a membership of 1,943. The sickness experience of the quinquennium was in excess of the standard by £1,377, or 14 per cent. Nearly all the courts showed an excess in this respect. The death-rate agreed closely with the new standard. In view of the low scale of contributions with which the district is working, it is disappointing to find that only 3 out of 20 courts realised over 4 per cent, on their funds. Not only is the inadequacy of the present scale accentuated by this fact, but even an ordinarily adequate scale would be rendered inadequate if the funds were not properly interest. In former years the courts showed better results in this respect. The valuation-results show that only one court has a surplus—viz., Court Parnell, £97. The remaining courts have deficiencies totalling £25,549. The cause is inadequate contributions and failure to maintain a high rate of interest Sn investments. The inadequacy of the contributions is very marked at ages above 25. Indeed, the scale can hardly a graduated one, the contributions at all ages being almost uniform. The District Funeral Fund is constituted on the inequitable equal-levy system, with a proviso that it is not to fall below £5,000. National Division, Sons and Daughters of Temperance : Valued as at 3ist December, 1902. At the valuation-date this division consisted of 8 branches, having their sickness and death liabilities centralised under the control of the divisional body. The number of members was 382. The sickness experience during the quinquennium was favourable to the extent of £328, or 17 per cent. The mortality was a little below the standard, the number of deaths being 12, as against 14 expected. When the operation of centralisation took place some years ago, two of the older branches, while transferring all their liabilities to the Central Fund were allowed to retain all their funds, a most astonishing position. The result is that the division has a deficiency largely traceable to this cause, whilst at the same time these two branches possess accumulated funds with no income except interest and no liabilities. The deficiency in the divisional Sick and Funeral Fund is found to be £1,489; but if the funds of the two branches mentioned were paid over to the division, as they evidently should be (either wholly or partly), the division would be practically solvent as at 1902. The outlook of this society is encouraging, and the operation of centralisation appears to be making for the permanent benefit of the division.

H.—l

14

Aorangi Lodge, 8.V.0.0.F. {Wellington). Deficiency at 31st December, 1904, £745, due to the low scale of contributions, though the high rate of interest earned Jand the favourable experience have somewhat counteracted the effect thereof. Rate of solvency, 17s. 4d. in the pound. Membership 126. Sanctuary Sir George Grey, A.O.S. (Wellington). Deficiency at 31st December, 1906, £104. This deficiency is only small, and the lodge is nearly solvent. In spite of a somewhat unfavourable sickness experience, the very high interest-earnings have practically compensated for the insufficiency of the contributions. The small membership (61) is a source of danger, but higher rates should be charged to new entrants. Rate of solvency, 19s. Id. in the pound. Widow and Orphan Society, Wellington, M.U.1.0.0.F. This society has been in existence since 1849, but has only been officially valued three times, the first valuation being as at 1891. Each of the valuations showed large surpluses, and as a result phenomenal additions have been made to the benefits of the fortunate members. The result of the present valuation (as at 31st December, 1906) is as follows : — Liabilities. £ Assets. £ Present value of sums assured, with past and Amount of benefit funds .. .. .. 2,393 future additions of £1 10s. per annum and ss. Present value of future contributions .. .. 175 per annum to old and new members respectively .. .. .. .. .. 2,100 Reserve for children's benefit .. .. .. 100 Surplus .. .. .. .. .. 368 £2,568 £2,568 A. T. Travebsi, Actuary. Wellington, 15th June, 1908.

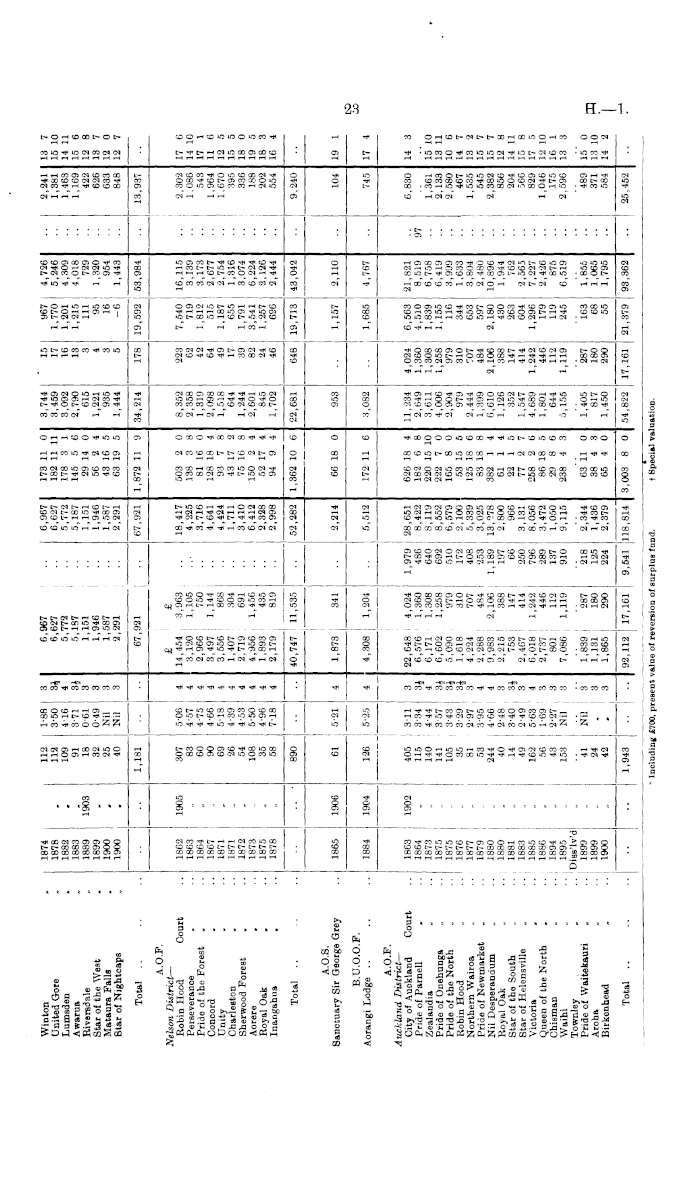
15

H.—l

APPENDIX I.

List of Registered Societies, with theik Registered Branches, as on 31st December, 1907 Manchester Unity Independent Order op Odd Fellows. Reg. No. 312.— New Zealand Branch, Wellington. 1. Wellington District —Wellington. 5. (15.) Fountain of Friendship Lodge, Auckland. (1.) Combination Lodge, Johnsonville. (16.) Duke of Cambridge Lodge, Cambridge. (2.) Masterton Lodge, Masterton. (17.) Hauraki Lodge, Coromandel. (3.) Heart of Oak Lodge, Carterton. (18.) Hokianga Lodge, Hokianga. (4.) Greytown Lodge, Greytown. (19.) Karangahake Lodge, Karangahake. (5.) Unity Lodge, Featherston. (20.1 Waihi Lodge, Waihi. (6.) St. George Lodge, Pahautanui. (21.1 Jubilee Lodge, Paeroa. (8.) Petone Lodge, Petone. (22.) Manukau Lodge, Onehunga. (10.) Rose of Sharon Lodge, Upper Hutt. (23.) Rotorua Lodge, Rotorua. (11.) Britannia Lodge, Wellington. (24.) Waitekauri and Golden Cross Lodge, Waite (12.) Antipodean Lodge, Wellington. kauri. (13.) Eketahuna Lodge, Eketahuna. (25.) Waipu Lodge, Waipu. (14.) Martinborough Lodge, Martinborough. (26.) Mangonui Lodge, Mangonui. (15.) Rose of the Valley Lodge, Hutt. (27.) Hot Springs Lodge, Te Aroha. (16.) Mangatainoka Lodge, Mangatainoka. (28.) Te Awamutu Lodge, Te Awamutu. (17.) Newtown Lodge, Newtown. (29.) Hamilton Ledge, Hamilton. (18.) Victoria Diamond Lodge, Levin. (30.) Hikurangi Lodge, Hikurangi. (19.) Sister Wallis Lodge, Wellington. (31.) Hand of Friendship Lodge, Huntly. (20.) Kilbirnie Lodge, Kilbirnie. 6. Ashburton District —Ashburton. 2. Ashley District —Rangiora. (1.) Ashburton Lodge, Ashburton. (1.) Leithfield Lodge, Leithfield. (2.) Pioneer Lodge, Springburn. (2.) Oust Lodge, Cust. (3.) Waterton Lodge, Waterton. (3.) Woodend Lodge, Woodend. (4.) South Rakaia Lodge, South Rakaia. (4.) Ohoka Lodge, Ohoka. (5.) Tinwald Lodge, Tinwald. (5.) Oxford Lodge, Oxford. (6.) Methven Lodge, Methven. (6.) Amberley Lodge, Amberley. (7.) Mayfield Lodge, Mayfield. JB.) Waikari Lodge, Waikari. (9.) Rangiora Lodge, Rangiora. 7. Motueka District —Motueka. (10.) Nil Desperandum Lodge, East Oxford. (1.) Motueka Lodge, Motueka. (11.) Cheviot Lodge, McKenzie. (2.) Good Intention Lodge, Riwaka. [3.1 Takaka Lodge, Takaka. 3. Nelson District —Nelson. (4.) South Star Lodge, Dovedale. (1.) Howard Lodge, Nelson. (2.) General Cameron Lodge, Brightwater. 8. New Plymouth District —New Plymouth. (4.) Mansion of Peace Lodge, Wakefield. (1.) Excelsior Lodge, New Plymouth. (5.) Travellers' Rest Lodge, Richmond. (2.) Waitara Lodge, Waitara. (6.) Nelson Lodge, Nelson. (3.) Union Lodge, Hawera. (7.) Mataki Lodge, Murchison (4.) Egmont Lodge, New Plymouth. (5.) Manaia Lodge, Manaia. 4. Hawke's Bay District —Napier. (6.) Eltham Lodge, Eltham. (1.) Meeanee Lodge, Taradale. (7.) Midhirst Lodge, Midhirst. (2.) Abbotsford Lodge, Waipawa. (3.) Clive Lodge, Clive. 9. Hokitika District —Hokitika. (4.) Hastings Lodge, Hastings. (2.) Albert Lodge, Kumara. (6.) Tavistock Lodge, Waipukurau. (3.) Waimea Lodge, Stafford. (7.) Woodville Lodge, Woodville. (4.) Greymouth Lodge, Greymouth. (8.) Napier Lodge, Napier. (9.) Forest Home Lodge, Ormondville. 10. Wanganui District —Wanganui. (10.) Dannevirke Lodge, Dannevirke (1.) Manawatu Lodge, Palmerston North. (12 ) Ruahine Lodge, Hampden. (2.) Manchester Lodge, Feilding. (3.) Awarua Lodge, Ohingaiti. 5. Auckland District —Auckland. (4.) Apiti Lodge, Apiti. (1.) Howiok Lodge, Howick. (5.) Rangitikei Lodge, Mangaweka. (2.) Charles Bruce Lodge, Thames. (6.) Hautapu Lodge, Taihape. (3.) Good Intent Lodge, Auckland. (7.) Bunnythorpe Lodge, Bunnythorpe. !4.) Waikato Lodge, Thames. (8.) Mataroa Lodge, Mataroa. 5.) Gisborne Lodge, Gisborne. (9.) Wanganui Lodge, Wanganui. 6.) Whangarei Lodge, Whangarei. (10.) Hunterville Lodge, Hunterville. 7.) Franklin Lodge, Otahuhu. (11.) Foxton Lodge, Foxton. (9.) Parnell Lodge, Parnell. (12.) Kimbolton Lodge, Kimbolton. (14.) Warkworth Pioneer Lodge, Warkworth. Reg. No. Reg- No. 77. Marlborough District —Blenheim. 18. 16. Malvern Lodge, Waddington. 1. Marlborough Lodge, Blenheim. 20. City of Christchurch Lodge, Christchurch. 2. Renwiek Lodge, Renwiok. 21. Heart of Oak Lodge, Kaikoura. 22. Riccarton Lodge, Upper Riccarton. 92. North Westland District —Reefton. 23. Jubilee Lodge, Prebbleton. 1. Reefton Lodge, Reefton. 24. Sister Pearce Lodge, Christchurch. 2. Westport Lodge, Westport. 25. Tamahine Lodge, Kaiapoi. 3. Charleston Lodge, Charleston. ' 5. Waimangaroa Lodge, Waimangaroa. 5. Lyttelton District —Lyttelton. 6. Blackball Lodge, Blackball. 2. Hand of Friendship Lodge, Okain's Bay. 4. Good Intent Lodge, Akaroa. 18. North Canterbury District —Christchurch. 5. Perseverance Lodge, Barry's Bay. 1. Volunteer Lodge, Sydenham. 6. City of Norwich Lodge, Lyttelton. 2. Perseverance Lodge, Woolston. 7. Hand and Heart Lodge, Pigeon Bay. 4. Benevolent Lodge, Christchurch. 10. Wairewa Lodge, Little River. 8. Kaiapoi Lodge, Kaiapoi. 9. Phillipstown Lodge, Phillipstown. 315. South Canterbury District —Timaru. 10. Leeston Lodge, Leeston. 1. Timaru Lodge, Timaru. 11. Papanui Lodge, Papanui. 2. Pleasant Point Lodge, Pleasant Point. 12. Coleridge Lodge, Glentunnel. 3. Heart of Friendship Lodge, Waimate. 14. Addington Lodge, Addington.

H.—l

16

List of Registered Societies, etc.— continued.

Manchester Unity Independent Order of Odd Fellows— continued. Reg. No. Reg. No. 23. Otago District —Dunedin. 23. 24. Naseby Lodge, Naseby. 1. Outram Lodge, Outram. 25. Ngapara Lodge, Ngapara. 2. Albion Lodge, Dunedin. 26. Dunback Lodge, Dunback. 3. Alexandra Lodge, Port Molyneux. 27. Pride of Kaitangata Lodge, Kaitangata. 4. Prince of Wales Lodge, Port Chalmers. 28. Milton Lodge, Milton. 5. Tapanui Ldoge, Tapanui. 29. United Brothers Lodge, Cambrian. 6. Roxburgh Lodge, Roxburgh. 30. Waikaka Lodge, Waikaka. 7. Prince Alfred Lodge, Waikouaiti. 31. Middlemarch Lodge, Middlemarch. 8. Dunedin Lodge, Dunedin. 9. Waipori Lodge, Waipori. 64. Southland District —lnvercargill. 10. Palmerston Lodge, Palmerston South. 1. Shamrock, Rose, and Thistle Lodge, Inver--11. Dalton Lodge, Balclutha. cargill. 13. Cromwell Lodge, Cromwell. 2. St. George Lodge, Invercargill. 14. Hand and Heart Lodge, Dunedin. 3. Lumsden Lodge, Lumsden. 15. Oamaru Lodge, Oamaru. 4. Winton Lodge, Winton. 16. Band of Friendship Lodge, Kakanui. 5. United Gore Lodge, Gore. 17. Tuapeka Pioneer Lodge, Lawrence. 6. Awarua Lodge, Campbelltown. 18. Waitahuna Lodge, Waitahuna. 8. Riversdale Lodge, Riversdale. 19. Bluespur Lodge, Bluespur. 9. Mataura Falls Lodge, Mataura. 20. Mosgiel Lodge, Mosgiel. 10. Star of the West Lodge, Orepuki. 21. Mount Wendon Lodge, Waikaia. 11. Star of Nightcaps Lodge, Nightcaps. 22. Caversham Lodge, Caversham. 12. Hearts of Oak Lodge, Invercargill. 23. Valley Lodge, North-east Valley. 11. Independent Order op Odd Fellows (American). 146. Grand Lodge of New Zealand —Dunedin. 146. 39. Hope of Maheno Lodge, Maheno. 1. Pioneer Lodge, Dunedin. 44. Waiareka Lodge, Weston. 2. Star of Canterbury Lodge, Timaru. 46. Rangitikei Lodge, Bull's. 4. Alexandrovna Lodge, Temuka. 47. Star of Eden Lodge, Ponsonby. 5. Unity Lodge, South Dunedin. 48. Britannia Lodge, Campbelltown. 8. Southern Cross Lodge, Wellington. 49. Northern Wairoa Lodge, Te Kopuru. 12. Alfred Lodge, Oamaru. 50. Myrtle Rebekah Lodge, Auckland. 15. Pioneer of Southland Lodge, Invercargill. 51. Aparima Lodge, Otautau. 16. Leith Lodge, Dunedin. 52. Linda Rebekah Lodge, Roslyn. 17. Star of Auckland Lodge, Auckland. 54. Wynyard Lodge, Auckland. 19. Victoria Lodge, Geraldine. 55. Opotiki Lodge, Opotiki. 20. Prebbleton Lodge, Prebbleton. 56. Naomi Rebekah Lodge, Christchurch. 21. Alma Lodge, Wyndham. 57. Star of Waiuku Lodge, Waiuku. 22. Ridgley Lodge, Christchurch. 58. Owaka Lodge, Owaka. 23. Wallace Lodge, Riverton. 59. Star of Gisborne Lodge, Gisborne. 25. Gladstone Lodge, Fairlie Creek. 60. Te Ngawai Lodge, Albury. 26. Mataura Lodge, Mataura. 61. Star of Napier Lodge, Napier. 27. Kawakawa Lodge, Kawakawa. 62. Hereweka Lodge, Portobello. 28. Orient Lodge, Palmerston North. 63. Star of Linwood Lodge, Linwood. 29. Kaeo Lodge, Kaeo. 64. Royal Oak Lodge, Drummond. 31. Washington Lodge, Sydenham. 65. Awhina Lodge, Mamaku. 32. Linden Lodge, Kaikorai. 66. Hakatere Lodge, Ashburton. 37. Popotunoa Lodge, Clinton. 111. National Independent Order op Odd Fellows. 160. Auckland Provincial District —Auckland. 160. 2. United Brothers Lodge, Newton. 1. Auckland Pioneer Lodge, Auckland. IV. British United Order op Odd Fellows. 311. Aorangi Lodge, Wellington. | V. Ancient Order op Foresters. 17. Auckland District —Auckland. 150. 9. Court Ormond, Makotuku. 1. Court City of Auckland, Auckland. 10. , Rising Sun, Dannevirke. 3. „ Zealandia, Auckland. 11. „ Waitangi, West Clive. 4. „ Robin Hood, Panmure. 12. „ Redclyffe, Taradale. 5. „ Nil Desperandum, Newton. 14. „ Viking, Norsewood. 6. „ Royal Oak, Tauranga. 7. . Pride of Onehunga, Onehunga. 216 Taranaki District- -New Plymouth. 8. „ Pride of the North Thames 1. Court Taranaki, New Plymouth. 9. „ Star of the South Otahuhu. 2 Inglewood Forest, Inglewood. 10. „ Pride of Newmarket, Auckland. 3 Raleigh, Waitara 11. „ Northern Wairoa, Dargaville. 4 Egmont, Hawera. 12. „ Pride of Parnell, Thames. 5 Patea Patea 13. ~ Star of Helensville, Helensville. 6 ; " stratford, Stratford. 14. „ Victoria, Devonport. 7 Pride of New Plymouth, New Plymouth. 15. „ Queen of the North, Maungaturoto. 8 _ Opunake, Opunake. 18. „ Chisman Auckland. 9 Waireka—New Plymouth. 19. „ Waihi, Waihi. 21. „ Pride of Waitekauri, Waitekauri. 23 Birkenhead, Birkenhead. lii - Wellington District— Wellington. 24 ". Pride of Awanui, Awanui. !• Court Rob,n Hood . Wellington. 26. „ Taumarunui, Taumarunui. 2 - - sir Geor g e Bowen, Wellington. 4. „ Clarendon, Picton. 150. Hawke's Bay District —Napier. 5. „ Manawatu, Palmerston North. 1. Court Sir Charles Napier, Napier. 6. „ Loyal Feilding, Feilditig. 2. „ Captain Cook, Napier. 7. „ William Gladstone, Gisborne. 3. '-mi Henry Havelock, Havelock. 8. „ Pioneer, Te Nui. 4. . Robin Hood, Port Ahuriri. 9. „ Roderick Dhu, Wanganui. 5. „ Ruahine, Waipukurau. 10. „ Blenheim, Blenheim. 6. . Lord Clyde, Wairoa. 11. „ Loyal Enterprise, Masterton. 7. „ Heretaunga, Hastings. 12. „ Marquis of Normanby, Carterton. 8. » Little John, Waipawa. 13. . Little John, Marton.

17

H.—l

List of Registered Societies, etc.— continued.

V. Ancient Order of Foresters— continued. Reg. No. Res. No. 144. Wellington District— Wellington— continued. 28. 11. Court Star of Belfast, Belfast. 14. Court Wairarapa, Greytown. 18. Queon of Canterbury, Christchurch. 16. „ Woodville, Woodville. 14. „ Victoria, Kaiapoi. 17. „ Loyal Halcombe, Halcombe. 15. „ Star of Canterbury, Christchurch. 18. „ Pohangina, Ashhurst. 16. „ Loburn, Loburn. 19. „ Epuni, Petone. 143. Court Queen of the Isles—Lyttelton. 20. „ Pahiatua, Pahiatua. 21. „ Kopuaranga, Mauriceville. "2. South Canterbury District —Timaru. 22. „ Hunterville, Hunterville. 1. Com t Southern Cross, Timaru. 23. „ Sir William Jervois, Newtown. -1. „ Progress, St. Andrew's. 24. „ Pride of Levin, Levin. :). „ Star of Waihao, Morven. 25. „ Bloomfield, Hutt. I Foresters' Pride, Waimate. 27. „ Makakahi, Eketahuna. 28. „ Lady Glasgow, Wellington. 10. United Otago District —Dunedin. 29. „ Primrose, Potone. 1. Court Enterprise, Dunedin. 31. „ Star of Levin, Levin. 2. ~ Pride of Dunedin, Dunedin. 33. „ Pride of Foxton, Foxton. 3. „ Pride of Oamaru, Oamaru. 34. „ Ruapehu, Raetihi. 5. ~ Robin Hood, Port Chalmers. 35. „ Pongaroa, Pongaroa 7. „ Roxburgh, Roxburgh. 86, „ Alexandra, Marton. 8. „ St. Andrew's, Caversham. 37. ~ I,oyal Northland, Northland. 11. „ Pride of Alexandra, Alexandra. 38. „ Sir George Grey, Wellington. 12. „ Bruce, Milton. 13. „ Pride of the Lake, Queenstown. 4. Nelson District —Nelson. 14. „ Excelsior, Mornington. 1. Court Pride of the Forest, Wakapuaka. 15. „ Pride of the Leith, Dunedin. 2. „ Concord, Greymouth. 16. „ Havelock, Waitahuna. 3. „ Sherwood Forest, Stoke. 17. „ Star of the South, Invercargill. 4. „ Kobin Hood, Nelson. IS. „ Star of the Dunstan, Clyde. 5. „ Aorere, Collingwood. 19. „ Little John, Roslyn. 6. „ Inangahua, Reefton. 20. „ Royal Oak, Wyndham. 7. „ Unity, Havelock. 21. „ Southern Star, Bluff. 8. „ Perseverance, Motueka. 22. ~ Woodlands' Pride, Dunedin. 9. „ Charleston, Charleston. 28. . Queen of the South, Invercargill. 10. „ Royal Oak, Westport. 24. Star of the Forest, Woodlands. 25. „ Marion, Mosgiel. 28. Canterbury United District —Christchurch. 20. „ Victoria, Oamaru. 1. Court Pride of Courtenay, Courtenay. 27. „ Pride of Awarua, Bluff. 2. „ Thistle of the Forest, Sydenham. 28. „ Pride of Waitaki, Kurow. 4. „ Woodford, Kaiapoi. 114. Court Star of Tuapeka —Lawrence. 8. „ Papanui, Papanui. 9. Ashburton, Ashburton. Court not m any District. 10. „ Star of Dunsandel, Dunsandel. 88. Court Coromandel—Coromandel. VI. Ancient Ordbb of Shbphbbds. 11. Sanctuary Sir George Grey—Wellington. | 325. Sanotuary Epuni—Petone. VII. United Ancient Order of Drdids. 296. Grand Lodge of North Island— Wellington. 296. 42. Star of New Zealand Lodge, Hutt. 1. Oroua Lodge, Palmerston North. 43. Reefton Lodge, Reefton. 3. Horowhenua Lodge, Levin. 44. Eden Lodge, Auckland. 4. Otaki Lodge, Otaki. 45. Millerton Lodge, Millerton. 5. Stonehenge Lodge, Masterton. 46. Buller Lodge, Westport. 6. Bishop Lodge, Wanganui. 47. Dovonport Lodge, Devonport. 7. Turanganui Lodge, Gisborne. 48. Te Aroha Lodge, Te Aroba. 8. Auckland Lodge, Auckland. 49. Waitemata Lodge, Auckland 9. Pacifio Lodge, Wellington. 50. lakaka Lodge, Takaka. 10. Blenheim Mistletoe Lodge, Blenheim. 51. Fern Loal Lodge, Greytown. 11. Totara Lodge, Carterton. 52. Makino Lodge, Feilding. 12. Star of Egmont Lodge, Patea. 53. Okato Lodge, Okato. 18. Morgan Lodge, Marton. 54. Stratford Lodge, Stratford. 14. Holly Lodge, Johnsonville. 55. Pride of Brooklyn Lodge, Brooklyn. 15. Hawera Lodge, Hawera. 56. Blackball Lodge, Blackball. 16. Star of Paeroa Lodge, Paeroa. 67. Naumai Lodge, Motueka. 18. Moturoa Lodge, New Plymouth, 58. Nelson Creek, Nelson Creek. 19. Poneke Lodge, Petone. 59. Island Bay Lodge, Island Bay. 20. Ponsonby Lodge, Ponsonby. 60. Denniston Lodge, Denniston. 21. Pride of Waihi Lodge, Waihi. 61. Aramoho Lodge, Aramoho. 22. Victoria Lodge, Waikino. 62. Grey Lynn Lodge, Grey Lynn. 23. Manakau Lodge, Manakau. 63. Triumph Lodge, Rongotea. 24. Pahiatua Lodge, Pahiatua. 64. Pride of Hamilton Lodge, Hamilton. 25. Coronation Lodge, Wellington. 65. Eureka Lodge, Hastings. 26. Alexandra Lodge, Karangahake. 66. Melrose Lodge, Kilbirnie. 27. Ruahine Lodge, Dannevirke. 67. Brunner Lodge, Brunnerton. 28. Shannon Lodge, Shannon. 68. Seig Lodge, Upper Moutere. 29. Eltham Lodge, Eltham. 69. Albion Lodge, Napier. 30. Mungaroa Lodge, Upper Hutt. 31. Inglewood Lodge, Inglewood. 281. Grand Lodge of Canterbury— Christchurch. 32. Myrtle Lodge, Eketahuna. 1. Pioneer Lodge, Christchurch. 33. Exoelsior Lodge, Wellington. -1. Hope of St. Albans Lodge, St. Albans. 34. Maitai Lodge, Nelson. i. Mistletoe Lodge, Christchurch. 35. Star of the West Lodge, Greymouth. 4. Ethelbert Lodge, Springston. 36. Star of Newmarket Lodge, Auckland 5. Lyttelton Hearts of Oak Lodge, Lyttolton. 37. Whangarei Lodge, Whangarei. 6. Star of Anglesea Lodge, Lincoln. 38. Ahaura Lodge, Ahaura. 7. Perseverance Lodge, Addington. 39. Seddon Lodge, Dunollie. 8. Hope of Amberley Lodge, Amberley. 40. Trafalgar Lodge, Wakefield. 9. Anchor Lodge, Woolston. 41. Shedwood Lodge, Motupiko. 10. Ohoka Lodge, Ohoka.

3—H. 1.

H.—l.

List of Eegistered Societies, etc. — continued. VIT. United Ancient Order op Druids— continued.

Beg. No. Reg. No. 281. Grand Lodge of Canterbury —Christchurch — contd. 298. 4. Acorn Lodge, Invercargill. 11. Timaru Lodge, Timaru. 5. Linden Lodge, Roslyn. 12. Ivy of Linwood Lodge, Christchurch 6. West Harbour Lodge, Rothesay. 13. Trafalgar Lodge, Kaiapoi. 7. Endeavour Lodge, Oamaru. 14. Star of Ashburton Lodge, Ashburton. 8. Good Intent Lodge, Mosgiel. 15. Oak of Sydenham Lodge, Sydenham. 9. Rose of Palmerston Lodge, Palmerston S. 16. Old Oak Lodge, Southbridge. 10. Gore Lodge, Gore. 17. Ellesmere Lodge, Doyleston. 11. Oraka Lodge, Colac Bay. 18. Olive Branch Lodge, Hornby. 12. Lily of the Valley Lodge, Dunf din. 19. Cable Lodge, Redcliffs. 18. St. Patrick's Lodge, Waikouaiti. 20. Lily of Burwood, Burwood. 14. Pride of Mornington Lodge, Mornington. 21. Ivy Lodge, Waimate. 15. Star of Tuapeka Lodge, Lawrence. 22. Success of Ashburton Lodge, Ashburton. 16. Star of Duntroon Lodge, Duntroon. 23. Bud of Hope Lodge, Rangiora. 17. Ivanhoe Lodge, Dunedin. 18. Bay Lodge, Dunedin. 298. Grand Lodge of Otago and Southland, Dunedin. 19. Hampden Lodge, Hampden. 1. Otago Lodge, Dunedin. 219. All Nations Lodge—Port Chalmers. 2. Enterprise Lodge, South Dunedin. 301. Lady Ranfurly Lodge, Wellington. 3. Royal Oak Lodge, Caversham. VIII. Independent Order of Rechabites. 190. New Zealand District —Auckland. 110. 19. Excelsior Tent, Wellington. 1. Hope of Auckland Tent, Auckland. 20. Haste to the Rescue Tent, Wellington. 2. Eden Tent, Newmarket. 21. Bon Accord Tent, Blenheim. 3. Northern Star Tent, Aratapu. 26. Hope of Carterton Tent, Carterton. 4. Star of Hauraki Tent, Thames. 28. Hope of Johnsonville Tent, Johnsonville. 6. Gordon Tent, Onehunga. 30. Star of Wakefield Tent, Wakefield. 10. Whangaroa Tent, Whangaroa. 37. Rescue Tent, Nelson. 11. Advance Tent, Waihi. 38. Onward Tent, Palmerston North. 12. Mahurangi Homeguard Tent, Warkworth. 40. Gisborne Tent, Gisborne. 41. Pride of Egmont Tent, Hawera. 110. New Zealand Central District —Wellington. 42. Pahiatua Tent, Pahiatua. 2. Murihiku Tent, Invercargill. 13. Brightwater Tent, Brightwater. 3. Scandia's Hope Tent, Norsewood. 44. Lily of the South Tent, Invercargill. 4. Hope of Woodville Tent, Woodville. 45. Wai Aroha Tent, Stratford. 5. Hope of Wellington Tent, Wellington. 46. Moa Tent, Inglewood. 6. Hope of Dunedin Tent, Dunedin. 47. New Century Tent, Levin. 7. Pride of Christchurch Tent, Christchurch. 48. Waingongoro Tent, Cardiff. 8. Perseverance Tent, Wellington. 50. Star of Petone Tent, Petone. 9. Bud of Promise Tent, Nelson. 51. Oroua Tent, Feilding. 10. Unity Tent, New Plymouth. 52. Hope of Wanganui Tent, Wanganui. 11. Hope of Ormondville Tent, Ormondville. 53. Ashburton Tent, Ashburton. 12. Masterton Tent, Masterton. 54. Kia Ora Tent, Hastings (H. 8.). 15. Hope of Napier Tent, Napier. 98. Star of Hope Tent —Hokitika. 17. Sir Wilfrid Lawson Tent, Sanson. IX. Sons and Daughters op Temperance. 170. National Division of New Zealand —Sydenham. 170. 10. Sunbeam Division, Wanganui. 2. Helpmate Division, Ashburton. 11. Hope of Sydenham Division, Sydenham. 4. Resolution Division, Rangiora. 15. Perseverance Division—Christchurch. 6. Excelsior Division, Addington. 118. Antidote Division—Dunedin. 7. Elim Division, St. Albans. 147. Progress Division—Kaiapoi. 9. Advance Division, Wellington. X. Hibernian Australasian Catholic Benefit Society. 198. New Zealand District —Auckland. I 198. 28. Our Lady of Perpetual Succour Branch, Milton, 2. St. John's Branch, Leeston. 29. St. Patrick's Branch, Waimate. 3. St. Patrick's „ Christchurch. 30. St. Columbkille s Denniston. 6. St. Patrick's „ Lincoln. 31. St. Canice's WestDort. 8. St. Mary's „ Timaru. 32. St. Patrick's „ Gisborne. 10. St. Joseph's „ New Plymouth. 33. St. Patrick's „ Palmerston North. 11. St. Patrick's „ Wellington. 34. St. PatrickV Reefton. 12. Auckland „ Auckland. 35. Sancta Maria Auckland. 14. St. Patrick's „ Blenheim. 36. St. Mary's „ Wellington. 15. Grahamstown „ Grahamstown. 37. St. Aloysius's Newtown. 16. Waipawa „ Waipawa. 38. St. Joseph's Waihi. 17. St. Joseph's „ Hastings. 39. St. Patriok's Kaiapoi. 18. St. Joseph's , Dunedin. 40. St. Patriok's „ Ashburton. 19. Charleston „ Charleston. 41. St. Ibar's „ Newton. 21. Greymouth „ Greymouth. 42. Sts. Peter and Paul's Branch, Hutt. 22. Onehunga . Onehunga. 43. St. Ita's Branch, Hawera. 25. St. Michael's „ Masterton. 44. St. Mary's „ Taihape. 26. St. Patrick's „ Oamaru. 45. St. Patriok's „ Manaia. 27. St. John's „ Napier. 46. St. Joseph's „ Stratford. XL Protestant Alliance Friendly Society of Australasia. 197. Grand Council of New Zealand —Auckland. 197. 11. Star of Hastings Lodge, Hastings. 1. Prince of Wales Lodge, Thames. 12. Valley True Blue „ North-east Valley. 3. Excelsior Lodge, Green Island. 14. Star of Oamaru „ Oamaru. 4. Wickliffe „ Napier. 18. St. Albans „ Auckland. 5. John Knox „ Wellington. 19. Queen's Own „ Christchurch. 6. Alexandra „ Auckland. 20. Royal Standard „ Addington. 9. Triumph Lodge, South Dunedin.

18

19

H.—l.

List of Registered Societies, etc. — continued.

XII. Railway Benefit Societies. 161. Otago Railway Employees' Benefit Sooiety—Dunedin. XIII. Isolated Friendly Societies. Reg. No. Reg. No. 24. Wellington District M.U. Widow and Orphan 310. New Zealand Collieries, Railway, and Oil SyndiSociety -Wellington. cate Employees' Benefit Society—Kaitangata. 183. Grey Valley Accident Relief Fund—Brunnerton. 313. Auckland United Friendly Societies' Dispensary, 277. Denniston Collieries' Medical and Accident Relief Auckland. Association—Denniston. 316. Auckland United Friendly Societies' Medioal Insti--279. United Fire-brigades' Accident Assurance Society tute, Auckland. of New Zealand —Napier. 319. Christchurch United Friendly Sooieties' Dispen 286. Wellington Friendly Societies' Jubilee Orphanage sary. Society—Wellington. 322. Auckland Tramways Sick and Accident Friendly 293. Blackball Colliery Accident Relief Fund Society— Society. Blackball. 323. Point Elizabeth Accident Relief Fund, Runanga. 306. Waikato Medical and Accident Society—Huntly. 324. Waihi United Friendly Societies Hospital Con--307. Millerton Colliery Medical and Accident Relief ference, Waihi. Association —Millerton. XIV. Juvenile Friendly Societies. 288. Court Pride of the Forest, A.O.F.—Dunedin. I 303. Kaiapoi Lodge, M.U.l.O.O.F.—Kaiapoi. 290. Court Pride of Invercargill, A.O.F.—lnvercargill. | 314. Court Pride of Napier, A.O.F. —Napier. XV. Working-men's Clubs. 151. Wellington Working - men's Club and Literary: 264. Richmond Working-men's Clvb —Richmond, ChristInstitute —Wellington. church. 162. Christchurch Working-men's Club and Mutual 267. Palmerston North Working-men's Club and Literary School of Arts —Christchurch. Institute—Palmerston North. 186. South Wairarapa Working-men's Clvb —Greytown. 271. Ashburton Club and Mutual' School of Arts—Ash--202. Club Garibaldi—Wellington. burton. 209. Sydenham and Addington Working-men's Club and 272. Blenheim Working-men's Club—Blenheim. Mutual School of Arts —Sydenham. 305. Oxford Working-men's Clvb —East Oxford. 215. Auckland Working - men's Club and Mechanics'! 309. Napier Working-men's Club—Napier. Institute—Auckland. j 317. City Working men's Club—Wellington. 231. Kaiapoi Working-men's Club—Kaiapoi. 318. North Island Brass Bands Association—Palmerston 238. Petone Working-men's Club and Literary Insti- North, tute—Petone. XVI. Specially authorised Societies. 169. Grand Lodge of New Zealand of the Independent 169. 93. Welcome Retreat Lodge, Geraldine. Order of Good Templars —Dunedin. 94. Loyal Marine Lodge, Nelson. 1. Pioneer Lodge, Dunedin. 95. Union of Otago Temple, Dunedin. 2. Aggressive Lodge, Blenheim. 96. St. John's Lodge, Wellington. 3. Dauntless Lodge, Christchurch. 99. Southern Star Lodge, Wanganui. 4. Hope of Christchurch Lodge, Christchurch. 104. Lily of the Valley Lodge, North Dunedin. 6. Pioneer Lodge, Wellington. 106. Bushman's Pride Lodge, Alford Forest. 7. Star of South Canterbury Lodge, Waimate. 107. Hope of Wakefield Lodge, Wakefield. 9. Loyal Nelson Lodge, Nelson. 108. Pride of Dunedin Lodge, Dunedin. 12. West Coast Pioneer Lodge, Greymouth. 110. Seashell Lodge, Lyttelton. 13. Good Intent Lodge, Rangiora. 112. Lifeboat Lodge, Timaru. 17. Robert Bruce Lodge, Bannockburn. 113. Rose of Springburn Lodge, Springburn. 18. Star of the East Lodge, Ashburton. 223. Invercargill United Friendly Societies' Dispensary 19. New Hope Lodge, Westport. —Invercargill. 21. Haste to the Rescue Lodge, Havelock. 229. Sydenham and Suburban Co-operative Money Club 24. Reefton Fraternal Lodge, Reefton. —Sydenham. 30. Pride of Hawke's Bay Lodge, Port Ahuriri. 241. New Zealand Friendly Societies' Guarantee Associa--31. Premier Lodge, Hokitika. tion —Wellington. 32. Hope of Stafford Lodge, Stafford. 242. Dunedin United Friendly Societies' Dispensary— 33. Providence Lodge, Courtenay. Dunedin. 35. Golden Stream Lodge, Alexandra, Otago 245. Star of Newtown Lodge, I.O.G.T.—Wellington. 37. New Era Lodge, Purakanui. 246. Lyttelton United Friendly Societies' Dispensary— 40. Secondto-none Lodge, Pigeon Bay. Lyttelton. 41. Hope of Brunnerton Lodge, Brunnerton. 248. Timaru United Friendly Societies' Dispensary — 12. Woodstock Lodge, Woodstock. Timaru. 44. New River Pioneer Lodge, Dunganville. 251. New Zealand Forosters' Guarantee Association— 47. Victory Lodge, No Town. Christchurch. 48. Victoria Lodge, Noble's. 255. Temple of Peace Lodge, I.O.G.T.—Kaiwarra. 50. Kumara Lodge, Kumara. 257. Opotiki Gospel Temperance and Mutual Improvo--53. Rock of Freedom Lodge, Ashley Bank. ment Society—Opotiki. 54. Hearts and Homes Lodge, Orepuki. 262. Auckland Caledonian Society—Auckland. 57. Dawn of Peace Lodge, Ashburton. 263. Stanmore Brass Band —Richmond (Christohurch). 59. True Blue Lodge, Waitahuna. ' 268. Newton Band Society—Newton. 66. St. Helena Lodge, Greymouth. 275. Ivy of Linwood Co-operative Money Club—Christ--68. Phoenix Lodge, Masterton. church. 69. North Star Lodge, Kaikoura. 276. Waimate Brass Band—Waimate. 72. Pride of Brookside Lodge, Brookside. 283. Hawke's Bay United Friendly Societies' Dispensary 73. Mount Fyfe Lodge, Mount Fyfe. —Napier. 76. Heart and Hand Lodge, Lumsden. 284. Christchurch and St. Albans Co-operativo Money 77. Pride of Mount Grey Lodge, Mount Grey. Club—Christchurch. 85. Southern Cross Lodge, Invercargill. 285. Westport City Band Sooiety—Westport. 86. Guiding Star Lodge, Dunedin. 294. Wellington United Friendly Societies' Dispensary— 89. Akaroa Hope Lodge, Akaroa. Wellington. 91. Undaunted Lodge, Owaka.

h.—i

20

APPENDIX 11.

Registered Trade-unions, as on the 31st December, 1907. Reg. No. Reg. No. 1. Christchurch Operative Bootmakers' Society. IH. Amalgamated Society of Railway Servants of New 3. New Zealand Union of the Federated Stewards' and Zealand. Cooks' Union of Australasia. 27. Shipmasters' Association of New Zealand. 5. Wellington Operative Bootmakers' Society. 85. United Employees' Society of Boilermakers and Iron 8. Grey Valley Coal-miners' Association. ship Builders of New Zealand. 9. Now Zealand Federated Boot-trade Union. 36. New Zealand Boot-manufacturers' Association. 15. New Zealand Federatod Wharf Carters', Express- 40. Hawke's Bay Operative Bootmakers' Sooiety. men's, and Storemen's Union. 41. Wellington Eight Hour Federated Union. 16. Southland Trades and Labour Union. 43. Napier Carpenters and Joiners' Union.

APPENDIX 111. Forms which may be obtained free on Application to the Registrar of Friendly Societies. Form of application to register a society under the Friendly Societies Act. Form of notice of establishment of branch of registered society. Form of application for the conversion of a registered society into a branch. Form of declaration to accompany the foregoing. Form of application to register complete amendment of rules (societies). Form of application to register complete amendment of rules (branches). Form of application to register partial amendment of rules (societies). Form of application to register partial amendment of rules (branches). Form of declaration in support of amendment of rules (societies). Form of declaration in support of amendment of rules (branches). Form of application to register a special resolution for amalgamation of societies. Form of declaration relating to amalgamation of societies. Form of application to register conversion of a sooiety into a branch. Form of declaration to accompany application for conversion. Form of notice of appointment of trustees (societies). Form of notice of appointment of trustees (branches). Form of notice of change of registered office of society. Form of notice of change of place of establishment of branch. Form of return to District Land Registrar.

21

H.—l.

APPENDIX IV.—SUMMARY OF VALUATIONS COMPLETED DURING THE YEAR 1907.—TABLE A. [N.B.— These figures refer to Sick and Funeral Funds only, and do not include Management and other Funds.

Date of Number of Valua- Members, tion, 31st Dec. Kate of Interest. Inabilities. Assets. ill Nam* of Society or District and Branch. wuen opened. When opened. 1 i i! ■b a o Present Value of Liability in respect of Funeral Henent. { Prospective iContribu1 tion to Funeral Fund. Total Liabilities. Annual Income from Contributions. Present Value of Contributions Jor Benefits. Propor- Amount tion of of Sick Distriot. and Funeral Funeral Fund Fund of Capital. Lodge. Total Assets. Surplus. , Deficiency. Sickness Benefit. M.U.I.O.O.F. Hawke's Bay District— Napier Lodge.. Meeanee . Abbotsford Clive „ .. Hastings . .. Tavistock Woodville Ruahine „ .. Forest Home . .. Dannevirke Maraekakaho . .. .. 1856 .. 1871 1873 1876 1878 1879 1880 1885 1887 1888 1891 1904 * 296 59 214 36 l'J7 Gl 23 84 55 158 42 % 4-40 1-67 3-88 504 3-41 4-29 5-13 323 2-68 4'51* 2-06 4 3 4 4 4 4 4 4 4 11,912 2,923 8,604 1,567 8,035 2,447 981 3,538 2,658 5,832 1,622 2,878 705 2,086 380 1,917 583 240 820 614 1,358 382 t £ 14,790 3,628 10,690 1,947 9,952 3,030 1,221 4,358 3,272 7,190 2,004 e s. d. 548 14 11 105 17 0 382 12 6 69 9 4 390 5 6 117 0 7 45 12 2 163 10 7 107 11 6 307 3 5 82 0 2 £ 9,364 2,101 6,334 1,099 6,729 2,031 715 3,236 2,255 5,676 1,446 £ 116 28 87 16 75 23 10 27 18 51 15 ' £ £ 8,208 17,688 642 2,766 6,007 12,428 1,090 2,205 3,183 9,987 1,419 3,473 1,119 1,844 8'JO 4,159 425 2,698 1,17(1 6,903 442 1,903 £ 2,898 1,738 258 35 443 623 £ 862 s. d. l". a 199 574 287 101 19 1 16 6 19 2 19 0 Total 1,225 50,119 11,963 62,082 2,319 17 8 10,986 461 24,607 66,054 3,972 Lyttetton Distriot — City of Norwioh Lodge.. Good Intent , Hand of Friendship,, Hand and Heart „ .. Pereeverence . Wairewa , 1850 1860 1875 1876 1881 1897 1905 m 273 5-81 52 3-73 48 ' 4-46 52 442 53 8-38 44 2-14 4 4 3J 3 13,276 3,263 2,220 2,533 2,478 1,903 3,039 600 547 580 727 648 16,315 3,863 2,767 3,113 3,205 2,551 503 9 9 97 15 5 81 12 7 90 10 3 94 18 9 75 16 8 7,830 1,547 1,408 1,493 1,873 1,670 51 'J 8 9 B D 8,701 16,582 1,631 3,187 959 2,375 1,125 2,627 795 2,676 192 1,870 267 676 392 486 529 681 16 1 17 ! 16 1 16 I 14 I Total , 1 522 2,497 25,673 6,141 31,814 944 3 5 15,821 98 13,403 29,317 •■ Dtago District — Hand and Heart Lodge.. Dunedin . .. Dalton . .. Prince of Wales . .. Albion . .. Oam aru . Tuapeka Pioneer . Waitahuna ... Prince Alfred ... Waipori ... • Bluespur ... Naseby Alexandra . .. Roxburgh ... Tapanui ... Lake Wakatipu ... Palmerston » 1848 1862 1864 1864 1864 .. 1864 1865 1866 1866 .. 1867 1867 1868 1869 1869 .. 1869 .. Dissolved 1870 I 1904 ' " • • m> * 605 4-53 323 4-93 236 5 20 142 4-99 288 4-73 173 3-45 97 5-31 46 4-81 57 3-99 33 3-24 57 5-31 105 3 32 44 4-87 52 5-56 148 4-80 4 4 4 4 4 4* 4 4 4 4 30,841 5,518 16,303 2,990 10,368 1,900 0,487 1,176 12,419 2,272 8,497 1,560 5,260 964 2,014 523 3,190 583 1,452 373 3,377 616 I 5,073 908 2,226 401 2,584 465 7,144 1,305 3,910 709 36,359 19,293 12,268 7,663 14,691 10,057 6,224 2,537 3,773 1,825 3,993 5,981 2,627 3,049 8,449 966 0 1 529 1 7 390 11 9 223 6 6 466 0 10 271 5 11 159 17 5 71 7 6 85 14 10 53 11 8 84 11 1 160 10 2 66 17 4 83 9 1 242 0 2 15,795 8,718 6,936 3,882 8,360 5,175 2,529 1,004 1,319 858 1,223 3,095 1,103 1,389 4,094 44 23 15 9 17 10 7 4 4 3 5 6 3 4 10 22,758 11,981 4,239 3,380 4,114 3,814 2,237 1,314 2,901 384 1,467 1,273 2,127 1,201 3,418 38,597 20,722 11,190 7,271 12,491 8,999 4,773 2,322 4,224 1,245 2,695 4,374 3,233 2,594 7,522 2,238 1,429 451 1,078 392 2,200 1,058 1,451 215 18 : 19 I 17 I 17 i: 15 ! 18 ■ •• 580 1,298 I 1,607 I 13 I 13 I 14 I . • 606 • 455 927 I , ?' 1 17 l< m 88 5*18 4 *i<319 129 17 10 2^290 5 1,899 4,194 425 Iβ' ! . I * Gross rate the net rate earned was iracticall; nil).

H.—l.

22

APPENDIX IV.—SUMMARY OF VALUATIONS COMPLETED DURING THE YEAR 1907.—TABLE A.— continued. [N.B.—These figures refer to Sick and Funeral Funds only, and do not include Management and other Funds.]

Rate of Interest. Liabilities. Assets. Naui* of Society or District tad Branch. When opened. Date of Number of Valua- Members, tion, 31st Dec. s> .s§ - 1 P £ a o Present Value of Sickness ln re n e t pect ContribuHeneflt. Pl °' , tion to Annual Income from Contributions. Present Value of Contributions for Benefits. Proportion of District Funeral Fund Capital. Amount of Sick and Total Funeral Assets. Fund of Lodge. Surplus. Deficiency. S-3J III <5Q Total Liabilities. M.U.I.O.O.F.— continued. Otar/o District —continued. Cromwell Lodge Mount Wee don ... Band of Friendship ... Outram Mosgiel Cavereham ... Valley Ngapara Dunback „ .. Pride of Kaitangata ... United Brothers ... Milton ... Waikaka .... 1870 1871 1872 1875 1879 1881 1881 1891 1892 1892 1897 1897 1899 % % £ e fl £ £ s. a. fc £ t £ £ 8. d. i125 7-78 61 4-47 31 5-15 72 5-18 187 4-76 202 4-81 138 4-77 25 2-86 Gl 2-85 102 506 49 3-17 144 3-75 50 Nil 4 4 4 4 4 t 3 8 5,947 3,609 1,598 3,659 8,195 8,368 5,546 1,259 2,689 3,948 2,641 5,434 2,567 1,092 652 292 672 1,497 1,527 1,280 231 488 720 480 990 465 7,039 4,261 1,890 4,331 9,692 9,895 6,826 1,490 3,177 4,668 3,121 6,424 3,032 217 19 9 97 16 4 49 2 2 115 15 8 302 14 0 320 1 6 221 10 10 44 19 2 96 6 2 164 9 0 88 5 2 230 12 10 92 6 0 4 45G* 1,457 787 1,902 5,361 5,860 4,097 819 1,948 3,069 1,833 4,366 2,004 8 5 2 5 is 12 8 2 3 6 8 7 8 2,949 7,406 2,037 , 3,499 928 : 1,717 3,219 5,126 4.131 9,504 2, 728 8,595 1,845 5,950 419 1,240 266 2,217 919 3,993 417 2,253 801 5,174 126 2,133 367 795 762 173 i88 1,300 876 250 960 675 868 1,250 899 16 5 18 2 19 7 17 5 17 5 16 8 13 11 17 1 14 5 16 1 14 1 Total 3,741 176,605 32,649 209,254 6,026 2 4 105,729 244 89,280 195,253 14,001 •• Wanganui District — Wanganui Lodge Manawatu , Manchester . Apiti Awarua Bangitikei Hautapu „ Mataroa , Bunnythorpe „ Hunterville , 1858 1881 1883 1894 1894 1895 1897 1904 1905 1905 1858 1905 1881 1888 , . 1894 , . 1894 ; 1895 ; . 1897 ! 1904 1905 1905 227 229 114 65 43 106 59 31 36 23 5-54 4-88 3-17 5-62 4-19 2-92 203 Nil Nil Nil 4 4 4 1 9 4 4 4 11,857 9,892 5 390 2,457 1,816 4,267 2,941 1,220 1,317 845 1,546 1,745 951 523 332 833 559 246 293 187 13,403 11,637 0,341 2,980 2,148 5,100 3,500 1,466 1,610 1,032 313 19 0 414 2 10 205 8 0 115 14 0 81 5 0 205 14 6 108 4 6 62 14 6 66 12 6 44 19 2 5,334 7,491 4,067 2,208 1,466 3,802 2,427 1,175 1,279 866 15 50 ■27 15 10 ■24 Iβ 7 9 5 10,003 15,382 2,173 9,714 891 4,985 476 2,699 497 1,973 437 4,263 130 2,573 71 1,253 49 1,330 12 883 1,979 1,923 1,356 281 175 837 927 213 280 149 16 8 15 9 18 1 18 4 16 9 14 8 17 1 17 1 17 1 Total .. 933 42,002 7,215 49,217 1,618 14 0 30,115 20S 14,732 45,055 4,162 Marlbarough District — Marlborough Lodge Renwick „ 1860 1867 1860 1867 1906 134 41 5-29 5-59 4 6,378 2,079 1,410 372 7,788 2,451 162 14 4 50 16 11 2,390 630 70 19 5,809 8,269 1,919 2,568 481 117 Total .. 1 10,239 I 213 11 3 175 •• 8,457 1,782 3,020 89 7,728 10,837 598 Wellington Dutrict— St. George Lodgef 1867 1867 1906 4-66 4 971 20 198 1,169 26 3 4 387 50 508 945 224 16 Southland District — Shamrock, Rose, and Thistle Lodge St. George 1860 1868 1860 1903 1868 ! 334 308 4-81 , 5-11 4 4 19,502 16,891 8,628 17,168 5,595 I 14,071 19,502 16,891 511 8 5 487 19 8 8,485 8,429 55 47 2,334 2,820 17

23

H.—l

Winton United Gore Lumsden Awarua Riversdale Star of the West Mataura Falls Star of Nightcaps 1874 1878 1882 1883 1889 1899 1900 1900 1874 1878 1882 1883 1889 1899 1900 1900 m 1903 112 112 109 91 18 32 25 40 1-88 3 350 3^ 416 4 371 3J 0-61 8 049 3 Nil 3 Nil 3 3 4 8 a 3 a 6,967 6,627 5,772 5,187 1,151 1,946 1,587 2,291 6,967 6,627 5,772 5,187 1,151 1,946 1,587 2,291 173 11 0 182 11 11 178 3 1 145 5 6 29 14 0 56 2 4 43 16 5 63 19 5 3,744 3,459 3,092 2,790 615 1,221 935 1,444 15 17 18 8 4 a 5 967 1,770 1,201 1,215 111 95 16 -6 4,726 5,246 4,309 4,018 729 1,320 954 1,443 2,241 1,381 1,463 1,169 422 626 633 848 13 7 15 10 14 11 15 6 12 8 13 7 12 0 12 7 m m Total .. 1,181 67,921 67,921 1,872 11 9 34,214 178 19,592 53,984 13,937 ■■ A.O.P. Nelson District — Robin Hood Court Perseverance . Pride of the Forest Concord Unity . Charleston . Sherwood Forest » Aorere . Royal Oak Inangahna . .. 1862 1863 1864 1867 .. 1871 1871 1872 1873 1875 .. 1878 1862 1863 1864 1867 1871 1871 1872 1873 1875 1878 I 1905 ' * 307 83 60 90 69 26 54 108 35 58 506 4 4-57 4 4-75 4 4-66 4 5-18 4 4-39 4 4-53 4 5-50 4 4-96 4 7-18 4 4 4 4 4 1 4 4 4 1 4 £ £ 14,454 3,963 3,120 1,105 2,966 750 3,497 1,144 3,556 868 1,407 304 2,719 691 4,956 1,456 1,893 435 2,179 819 18,417 4,225 3,716 4,641 4,424 1,711 3,410 6,412 2,328 2,998 503 2 0 138 3 8 81 16 0 128 18 4 93 7 8 43 17 2 75 16 8 150 2 4 52 17 4 94 9 4 8,352 2,358 1,819 2,098 1,518 644 1,244 2,601 845 1,702 223 62 42 64 49 17 39 82 24 46 7,540 719 1,812 515 1,187 655 1,791 3,541 1,257 696 16,115 3,139 3,173 2,677 1,316 3,074 6,224 2,126 2,444 2,302 1,086 543 1,964 1,670 395 336 188 202 554 17 0 14 10 17 1 11 6 12 5 15 5 18 0 19 5 18 3 16 4 ' Total • 890 •• 40,747 11,535 52,282 1,362 10 6 22,681 648 19,713 43,042 9,240 •• A.O.S. 8anctuary Sir George Grey 1865 5-21 4 1865 1906 61 1,873 341 2,214 66 18 0 953 1,157 2,110 104 18 B.U.O.O.F. Aorangi Lodge 1884 I 1884 1904 126 5-25 4 4,308 1,204 •• 5,512 172 11 6 3,082 1,685 4,767 745 17 A.O.F. Auckland District — City of Auckland Court Pride of Parnell . Zealandia Pride of Onehunga Pride of the North Robin Hood Northern Wairoa „ Pride of Newmarket Nil Desperandum Royal Oak Star of the South Star of Helensville Victoria „ Queen of the North . Chisman Waihi Townley Pride of Waitekauri Aroha Birkenhead .. 1863 1864 1873 1875 1875 1876 1877 1879 1880 1880 1881 1883 1885 1886 1894 1895 .. Diss'lv'd 1899 1899 .. 1900 1902 405 115 140 141 105 35 81 53 244 40 14 49 162 56 43 153 3-11 3 3-34 3J 4.44 4 357 34 343 3J 3-29 34 2-97 8 3 95 4 I 4-66 4 2-48 3 3-40 U 249 3 563 1 1-69 8 2-27 8 Nil 3 22,648 6,576 6,171 6,602 5,090 1,618 4,224 2,288 9,983 2,215 753 2,467 6,018 2,737 801 7,086 i 4,024 1,360 1,308 1,258 'J79 310 707 484 2,106 388 147 414 1,242 446 112 1,119 1,979 486 640 692 510 172 408 253 1,189 197 66 250 796 289 137 910 28,651 8,422 8,119 8,552 6,579 2,100 5,339 3,025 13,078 2,800 966 3,131 8,056 3,472 1,050 9,115 626 18 4 182 6 8 220 15 10 222 7 0 165 8 0 53 15 5 125 18 6 83 18 8 382 1 4 61 1 4 22 1 5 77 2 7 268 2 6 86 18 5 29 8 6 238 4 3 11,234 2,649 3,611 4,006 3,904 979 2,444 1,399 0,610 1,126 352 1,547 4,689 1,801 644 5,155 4,024 1,360 1,308 1,258 979 310 707 484 2,106 388 147 414 1,242 446 112 1,119 6,563 4,510 1,839 1,155 116 344 653 597 2,180 430 263 604 1,296 179 119 245 21,821 8,519 6,758 6,419 3,999 1,633 3,804 2,480 10,896 1,944 762 ■2,565 7,227 ■2,420 875 6,519 97 6,830 1,361 2,133 2,580 467 1,535 545 2,382 856 204 366 829 1,046 175 2,596 14 a 15 1C 13 11 10 6 14 7 13 2 15 7 15 7 12 8 14 11 15 e 17 6 12 1C 16 1 13 a 41 24 42 Nil 3 3 3 1,839 1,131 1,865 287 180 290 218 125 224 2,344 1,436 2,379 63 11 0 38 4 3 65 4 0 1,405 817 1,450 287 180 290 163 68 55 l,85f, 1,065 1,795 489 371 584 15 C 13 1C 14 -i Total 1,943 92,112 17,161 9,541 118,814 3,003 8 0 54,822 17,161 21,379 93,362 25,452 Includini £700, ■resent value of reversion of sun ilue fund. 1 si locial valuation.

H.—l

24

APPENDIX IV.—SUMMARY OF VALUATIONS COMPLETED DURING THE YEAR 1907.—TABLE A.— continued. [N.B.—These figures refer to Sick and Funeral Funds only, and do not include Management and other Funds.]

Name of Society or District and opened 1 Branch. 3) When opened. Rate of Interest. Date C £ of ' Number of ® a A Valua- Members. ~ = | tion, S 1 = 31st Deo. ~ >. = "8 - oi j>u Valua- M( tion. umoer oi r e p lernbers. — z UMriltttah Present Value of Pro l.ility _*5"_- si'octive J^' Sickness * "SSST " es B-~Bt. Fun ° e ' ral tionto SSSA Benefit. Annual Income from Contributions, including 2s. Aesete. Present Value of Amount of Sick and Total CO t"ous >U " Funeral Sickness funeral Assets. Benefits. r<,Msured - reassured. Surplus. Deficiency. a> =« a <3o g -2 I A.O.F. 'awke's Bay District — Sir Charles Napier Court. .. 1872 Lord Clyde . .. 1873 Captain Cook „ .. 1875 Sir Henry Havelock . .. 1875 Robin Hood , .. 1878 Ruahine , .. 1879 Heretaunga , .. 1882 Little John „ .. 1883 Waitangi .. 1884 Rising Sun . .. 1885 Ormond „ .1885 Redclyffe „ .. 1886 Viking .. 1894 1903 % 161 439 4 43 5-03 4 134 437 4 123 94 509 4 30 3-88 4 57 4-88 4 49 414* 4 18 346 3J 103 394 4 59 3 68 4 33 367 4 32 Nil 3 £ s. d. &&&&£, £ & s. d. 7,935 1,840 769 3,201 13,745 1,997 457 -210 884 3,548 6,783 ' 1,575 678 2,927 11,968 6.213 1,423 585 2,674 10,895 4,234 991 540 7,947 1,580 369 149 637 2.785 2,820 659 334 1,258 5,071 2,165 507 247 1,079 3,998 1,002 225 98 402 1.7S7 4,181 979 625 2,513 8,298 2,534 594 336 1,402 4,866 1,405 330 181 787 2,703 1,666 384 211 916 i. 177 257 9 4 67 1 0 223 1 11 190 17 10 167 14 10 48 9 4 107 76 12 (i 30 18 10 183 0 10 101 1 5 54 6 0 10 11 4,108 1.840 4,180 5,745 15,873 1,120 157 1.010 777 3,304 . 8,620 1,075 3,491 2,500 11,186 3.1-25 1,423 3,174 2,417 10,139 2,887 991 2,033 1,102 7.013 794 ] 369 819 805 2,787 1.782 . 659 1,414 904 4,759 1.320 507 1,042 590 3,459 522 225 561 296 1,(104 3,339 , 979 1,864 473 6,655 1.795 594 1,171 586 4,146 968 330 650 301 2,249 1.130 384 780 100 2,394 2,128 184 777 756 934 52 312 539 183 1,543 720 154 783 18 3 17 9 17 7 16 9 17 11 15 1 16 4 14 C 15 4 14 S 12 3 Total .. 926 926 44,575 10.U33 4,963 , 20,862 80.733 •Net rate, 180. 1,560 G 11 26,510 10,333 22,189 16,596 75,628 5,105 1 "I [_ I . I I i_ I

H.— l

APPENDIX IV.—SUMMARY OF VALUATIONS COMPLETED DURING THE YEAR 1907.—TABLE A.— continued. N.B. —These figures refer to Sick and Funeral Funds only, and do not include Management and other Funds.]

4—H. 1.

25

Kate of Interest. Liabilities. Assets. Nana* of Society or District and Branch. When opened. Date of Valuation, 31st Dec. Number of Members. - u E a a IS & Present Value of Annual Income from Contributions. Present Value of Contributions for Benefits. Proportion of District Funeral Fund Capital. Amount of Sick and Funeral Fund of Lodge. Surplus. I Deficiency. ill Sickness Benefit. Liability in respect 1 of Funeral Benefit. , Prospective I Contribution to ! Funeral I Fund. Total Liabilities. Total Assets. M.U.I.O.O.F. Nelson District — Nelson Lodge Traveller's Rest Howard Mansion of Peace General Cameron , Mataki 1842 1847 1847 1859 1865 1903 1905 230 4-42 103 4-32 220 4-86 176 4-96 49 4-28 47 3-21 % 4 4 1 i i i £ 9,809 4,301 10,440 7,821 2,401 1,556 £ 2,240 966 2,177 1,611 500 310 £ 1,418 598 1,349 998 267 316 i £ 13,467 5,865 13,966 10,430 3,168 2,182 £ s. d. 427 11 11 173 14 9J 369 1 3} 286 18 5$ 78 1 7* 90 1 10 £ 6,474 2,752 5,740 4,714 1,160 1,713 £ 2,240 966 2,177 1,611 500 310 £ 4,031 1,883 7,341 4,897 1,754 98 12,745 5,601 15,258 11,222 3,414 2,121 £ 1,292 792 246 £ 722 264 "61 s. d 18 f 18 i 19' ; Total .. 825 7,804 4,946 •• 36,328 49,078 1,425 9 11 22,553 7,804 20,004 50,361 1,283 District Funeral Fund 7,804 7,804 4,946 4,828 9,774 1,970 Aggregate surplus •• 3,253 •' - S. and D.T. National Division (Including 8 Branches with Centralised Funds) 1902 382 4S4 4 13,045 3,878 16,923 6jJ 1 8 11,340 4,094 15,434 1,489 IS U.A.OD. Bud of Hope Lodge* M.U.I.O.O.F. Widow and Orphans Society (Wellington District)t • Results will be given next year with fi| lures of Grand Lod| ;e of Canterbur t See letter] iress.

H.—l

26

APPENDIX IV— continued. VALUATION STATISTICS, ETC., FOR 1907.—TABLE B.

Namo oi Society, or District or Branch. ■/. O 5 ", I I s ! i a a < u Comparison of that expected 1 Sic! Mortality. •Ixpuriunce during Quinquennium with >y the New Zealand Friendly Societies' mess and Mortality Tables. Sickness. O a £ i !i +?, il !i 03 3 > ■ 3 O t 3 i + ! ! < Bzpeoted Actual Deaths. Deaths. Expected Actual Coet. Cost. Percentage of Difference. £«£„ or under expected. M.U.I.O.O.F. Hawke's Bay District — Napier Lodge .. 296 37 34 Meeanee . ..59 3630 Abbotsfotd „ ..214 3862 Clive „ 36 4217 Hastings , ..197 3648 Tavistock . ..61 3610 Woodville . ..23 4270 Ruahine , ..84 3086 Forest Home . 55 3113 Dannevirke . 158 30-92 Marackakaho , ..42 3450 296 59 214 36 197 61 23 84 55 158 42 87-24 36-30 38-62 42-17 36-48 36-10 42-70 30-86 3113 30-92 34-50 s. d. 37 1 88 1 1 35 9 38 7 39 7 38 5 39 8 38 11 39 1 38 10 39 0 11-65 11 2-95 2 8-57 8 1-56 5-85 7 1-80 1 11-65 2-95 8-57 1-56 5-85 1-80 0-81 1-64 1-37 2-75 0-97 £ 1,675 426 1,208 205 88G 269 126 264 2C9 447 160 £ 1,886 2'J3 988 319 1,017 249 140 802 230 503 255 £ -340 -133 -'270 I 114 + 131 - 20 + 14 + 38 + 27 + 56 + 95 -20 -31 -22 + 56 I 15 — 7 +ii + 14 + 13 + 13 + 59 £ + 9-79 -1401 + 812 + 7-17 + 0-18 4 7-26 + 27-09 - 2-37 -10-44 - 1-82 - 2-41 £ + 14-74 - 4-66 + 10-33 + 12-78 + 3-74 + 11-38 + 19-70 + 3-25 - 1-24 + 0-33 + 2-60 0-81 1-64 1-87 1 2-75 5 0-97 Aggregate results .. 1,225 3589 1,225 35-89 37 10 39-92 88 5,875 5,587 -288 - 5 + 3-24 + 8-11 hyttelton District — City of Norwich Lodge 273 41-58 Good Intent „ 52 44-39 Hand of Friendship . 48 34-69 Hand and Heart . 52 3715 Perseverance » 53 31 15 Wairewa „ 44 28-91 273 52 48 52 53 44 41-58 44-39 34-69 37-15 3115 28-91 86 II 37 7 34 0 34 10 86 10 34 6 14-24 3-23 162 2-19 I ■Oβ 0-97 L6 7 3 1 I 2 2.087 516 200 355 181 166 2,310 546 811 274 128 147 + 223 + 30 + 45 - 81 - 53 - 19 + 11 + 6 + 17 -23 -29 -11 + 0-98 -13-00 - 8-17 9-84 - 9-98 -15-48 + 7-51 - 8-63 - 6-12 - 6-48 - 3-48 - 6-94 Aggregate results .. 522 38-65 522 38-65 36 2 23-31 80 3,571 3,710 + 145 + 4 - 4-78 + 0-3! Otago District — Hand and Heart Lodg» 605 39-45 Dunedin „ 323 3908 Dalton . 236 33-75 Prince of Wales „ 142 3500 Albion „ 288 32-84 Oamaru „ 173 3292 Tuapeka Pioneer . 97 12-11 Waitahuna . 46 4783 Prince Alfred „ 57 4349 Waipori „ 33 44-94 Bluespur . 57 45-25 Naseby . 105 32-49 Alexandra „ 44 3934 Roxburgh . 52 3808 Tapanui . 148 37-61 Lake Wakatipu „ Di seolved Palmerston ., 88 3364 Cromwell ,. 125 3061 Mount Wendon „ 61 45-82 Band of Friendship „ 31 39-39 Outram ., 72 39-33 Mosgiel . 187 3386 Caversham ,. 202 3201 Valley „ 138 3097 Ngapara „ 25 34-12 Dunback . 61 99-18 Pride of Kaitangata .. 102 2932 United Brothers „ 49 81-02 Milton „ 144 28-45 Waikaka . 50 2966 605 323 236 142 288 173 97 46 57 33 57 105 44 52 148 seolved 88 125 61 31 72 187 202 138 25 61 102 49 144 50 39-45 39-08 33-75 3500 32 84 32-92 42-11 47-83 43-49 44-94 45-25 32-49 39-34 38-08 37-61 31 11 32 9 .33 1 31 5 32 4 31 4 32 11 31 0 80 1 32 5 29 8 30 6 30 4 32 1 32 8 29-76 14-44 719 4-85 7-75 5-75 5-97 5-32 3-70 2-53 407 2-96 2-34 2-43 4-85 84 10 7 3 6 10 9 6 4 ■2 1 1 3 1 7 4,626 2,284 1,168 769 1,233 '.117 920 580 572 894 631 474 887 389 787 3,785 1,08] 1,142 819 1,199 853 1,192 564 424 r,os 747 449 255 757 822 -841 -603 - 26 + 50 - 34 - 64 + 266 - 16 -148 + 174 + 116 - 25 -102 + 368 + 35 -18 -26 - 2 + 7 - 3 - 7 + 29 - 3 -26 + 44 + 18 - 5 -29 + 95 + 4 + 3-70 + 4-42 - 4-57 - 2-76 - 7-64 - 6-12 -14-96 - 4-67 + 7-91 -17-57 -22-78 -15-30 + 13-77 - 8-75 - 6-26 + 2-80 + 614 - 4-61 + 3-22 - 5-30 - 0-69 -13-26 - 5-32 + 0-24 -20-48 -14-91 7-78 + 7-no + 002 - 314 33-64 8661 45-82 89-89 39-33 33-86 3201 30-97 34-12 9918 29-32 81-92 28-45 29-60 29 (i 34 10 32 1 31 8 32 2 32 4 31 8 32 1 30 0 81 7 32 3 30 0 32 0 30 11 2-74 411 4-46 1-38 2-59 4-79 4-21 2-67 0-61 107 1-72 1-14 2-75 0-72 I 4 3 1 2 4 6 1 1 3 2 1 8 1 437 654 685 218 414 7!):: 709 447 101 182 294 193 466 125 422 859 677 202 284 732 79'.) 328 73 255 264 145 394 166 - 15 + 205 - 8 - 16 -130 - 61 + 90 -119 - 2fi + 73 - 30 - 48 - 72 + 41 - 3 + 31 - 1 - 7 -31 - 8 + 13 -27 -28 + 40 -10 -25 -15 - 4-83 + 2-94 -12-49 - 5-58 + 11-04 - l-Ol - 6-43 - 6-35 -1000 -15-74 - 6-62 -17-71 - 8-68 -17-98 - 2-97 + 21-46 -10-57 - 6-27 + 8-54 - 0-69 - 4-85 - 304 8-80 - 570 - 4-88 - 7-54 - 5-77 * Aggregate results .. 3,741 35-90 3,741 35-90 32 3 138-87 137 21,825 20,857 968 - 4 - 3-74 - 0-5! Wanganui District — Wanganui Lodge .. 227 4046 Manawatu „ .. 229 3275 Manchester „ .. 114 31-61 Apiti . ..65 28-23 Awarua „ .. 43 3212 Rangitikei . ..106 3044 Hautapu . .. 59 2770 Mataroa „ ..31 2968 Bunnythorpe .. ..36 2672 Hunterville „ ..23 2700 227 22!) 114 65 43 100 59 Ml 36 23 40-46 32-75 31-61 28-23 3212 30-44 2770 29-68 26-72 2700 27 8 Bβ 2 36 0 88 7 37 '.I 38 10 36 8 40 6 37 0 39 1 11-08 3-76 200 0-98 0-80 102 0-42 t 1 + 7 2 1 i 2 1,744 630 882 168 152 175 73 t + 4 4 4 1 ,860 881 124 157 195 48 t + 4 4 + + 106 99 - 83 - 41 + 5 + 20 - 25 t i t + 6 -16 -25 -25 + 3 + 11/ -34 t t + + 8-72 - 8-40 -11-89 - 4-32 - 4-07 - 7-90 -15-71 - 6-87 - 7-78 - 6-48 - 60i * y 4 + ft * Aggregate results .. 933 933 2000 13 3,271 3,154 -117 - 3J - 4-46 t iBtablishi J 1904. [Ei itablished IE • Not previously .allied.

27

H.—l

APPENDIX IV— continued. VALUATION STATISTICS, ETC., FOR 1907.—TABLE B— continued.

Name ol Society, or District or If ranch. 3 S "o 3 j | a a < 21 ■ < Comparison of that expected 1 Sic! Mortality. Experience during Quinquennium with iv the New Zealand Friendly Societies' -nt'SH and Mortality Tables. Sickness. >» n i i °! +a si &T 3 -" a > f| T s + i I Expecteil Actual Dentlis. Deaths. Kxpected C".st. Percentage of Actual n,—„_„,,„ Actual Cost. Dieerenoe -Costo T er or under expected. M.U.I.O.O.F.— contirmed. Marlbormigh District — Marlborough Lodge Renwick . 184 41 U-69 44-49 s. d. '■!'.) 1 •27 6 8-58 2-62 6 £ 1,205 372 g 1,248 201 a + 43 -171 + 4 -46 £ + 3-59 + 2-85 s, Aggregate results .. 175 12-84 28 8 11-20 6 1,577 L.449 -128 - 8 + 3-42 + 1-73 Vellington District — St. George Lodge .. 20 'outhland District — Shamrock, Rose, and 334 Thistle Lodge St. George „ .. 308 Winton „ .. L12 United Gore „ .. L12 Lumsden . .. 109 Awarua „ • • 91 Riversdale „ ■ 18 Star of the West . .. 82 Mataura Palis „ .. 28 Star of Nightcaps » .. I" 48-20 38-04 35-51 80-68 81-46 B4-60 S'2-37 8200 2U-84 8200 27-13 20 2 30 7 SJ 8 83 0 32 7 82 8 32 0 88 0 85 I 35 0 32 0 15-37 9-41 2.34 •1 -5(1 269 L-89 0-57 t 1-00 10 '.» 8 :■! B 3 2,386 1, -till 895 420 117 808 Bβ t t t L86 2,174 2,215 581 242 569 2S5 78 t t t 1'.) - 87 -212 + 724 + iko - LSI +122 - !23 - 20 t t t -64 - 9 + 49 + 47 -48 +27 - 7 -■21 t t t -11-20 (i-'.r.i - 9-Hi - 20-01 -12-33 -13-42 -23-45 -19-56 -25-32 -21-20 L8-50 - 416 - 4-58 6-65 - 8-09 - 5-73 -14-35 t I Aggregate results .. 1,181 34-77 81 9 34-83 :il G.144 + 593 + 11 -11-80 - 5-44 lelson District — Nelson Lodge .. 280 Traveller's Rest . .. L08 Howard . ■■ 220 Mansion of Peace „ .. 170 General Cameron ... 49 Mataki „ ■■ 47 4205 4110 42-88 39-44 15-86 27-49 37 2 88 9 33 7 32 7 31 10 88 I L8-01 6-38 14-85 6-79 2-50 19 4 II 5 1 2,173 7'. 18 L.978 1,028 303 2,181 688 1,883 1,887 188 + 8 -110 95 + 314 -175 -14 - 5 + 31 -48 + Vlt - 2-57 + 5-87 . K,ll + 502 -' 1-30 t - *8-70 - 514 + 8-33 + 0-l(> + 2-77 Aggregate results .. 825 ; Dirt 825 40-96 34 7 48-53 I:! 6,335 6,277 - 58 - 1 + 1-56 I 070 ; Disti SU1 rict Fu •plus pi neral Fi ir meml ind surpl ier would iiK not i work oi li'lilUi-ll. it as foil If inclui iws for thi [ed, the a| 1 District [gregate su A.O.F. Mson District — Court Robin Hood .. 31)7 „ Perseverance .. * ; i Pride of the Forest 80 Concord .. 90 „ Unity .. .. 69 Charleston .. 26 Sherwood Forest, 54 . Aorere .. .. 108 „ Royal O»k Inangahua .. 58 + 3-94 + 1-85 307 88 60 '.10 69 20 54 L08 Bβ 58 38-66 36-07 40-50 89-98 10-86 44-88 89-57 35-69 41-09 :S2-55 32 'J 33 3 27 3 28 8 27 1 88 :i 28 1 27 9* 32 7 15-52 2-07 312 l-r, I 8-80 1-37 2-08 8-59 1-62 1-41 21 3 2 II) 4 1 2 2 4 3 2,311 304 481 oik; 51:, •20'. I 321 598 259 228 2,059 458 874 683 624 135 357 189 17(i ICO -252 4 154 -107 + 77 ! L09 - 74 lol - 83 + 232 - 11 + 51 - 22 + 13 + 21 - 35 + 11 - 18 - 32 I 102 - 7-50 l:W)K - :io5 -21-82 -24-21 -15-19 - 0-22 - 1-74 - 5-77 - 9-55 -1004 - 7-72 1 I ■ 1 5 20-98 -23G7 -20-40 - 404 :i:m - 9-64 Aggregate results .. 890 890 38-34 30 7 89-27 55 5,827 5,815 - 12 - 10-38 -12-08 lawkc's Bay District— Court Sir Charles Napier 151 Lord Clyde (males) 40 , (females) 3 Captain Cook .. 134 Sir Henry Have- 123 lock Robin Hood .. 94 Ruahine .. 30 Heretaunga .. 57 Little John .. 49 „ W&itangi .. 18 „ Rising Sun .. 103 Ormond .. 59 . Redclyffe .. 33 „ Viking .. . - 32 151 40 B 134 123 94 30 57 49 18 103 59 33 32 41-54 38-68 2300 39-40 39-90 35-14 42-20 39-47 36-53 43 06 31-51 33-68 32-88 31-28 34 1 32 8 11 6 33 3 31 0 35 8 32 1 37 8 32 7 34 4 35 7 34 3 32 11 32 10 I \ 6-54 1-40 4-94 3.90 2-65 1-03 1-69 1-38 0-51 1-73 1-80 0-64 0-52 7 3 1 3 1 1 1 1 1,015 228 790 633 433 175 271 231 87 288 292 107 86 210 714 481 327 76 177 185 110 115 262 57 74 -152 - 18 - 76 -152 -106 - 99 - 94 - 46 + 23 -173 - 30 - 50 - 12 - 15 I - 17 i . 71X1 - 10 - 24 - 24 - 57 - 35 - 20 + 26 - 60 - 10 - 47 - 14 + 1409 I - 4-28 - 580 - 615 - 9 94 + 1-73 - 5 47 1 1 01) —10-17 - 1595 -12-20 -13-76 -24-47 + 2-52 - 344 - 5-20 - 675 - 830 - 5-96 - 633 - 545 - 4-23 - 715 - 5-45 - 5-69 § Aggregate results .. 926 926 37-48 33 8 28-78 IS 4,636 3,651 -985 - 21 - 551- - 4-25 Members in iben mi ider 65. t Informal ion imperfect. I Not >reviouBly rallied.

H.-1

28

APPENDIX IV— continued. VALUATION STATISTICS, ETC., FOR 1907.—TABLE B— continued.

Name ol Society or District or hraucu. 2 .3 a o I 3 D i a o o "i a a < <D <H> ■ u < Compa that e: Morti ison of tpected 1 Bid ility. Experience during ( iy the New Zealand Lness and Mortality Biol uinquennium with 'riendly Societies' ables. :ness. « '3 <a a> uS °a +s - —* &T > k T o I I B < Expectet Deaths. Actual Deatke. Ux pec tad Cost. Actual Cost. Difference. Percentage of Actual Coet over or under expected. A.O.l'. — continued. Auckland District — Court City of Auckland « Pride of Parnell .. , Zealandia » Pride of Onehunga Pride of the North , Robin Hood , Northern Wairoa , Pride of Newmarket Nil Desperandum » Royal Oak Star of the South Star of Helensville „ Victoria Quoenof the North „ Chisman „ Waihi .. Townley (Dissolv „ Pride of Waitekauri Aroha Birkenhead 405 ! 115 140 141 : 105 35 81 53 244 40 14 49 162 56 43 153 ed) 41 4210 49-06 39-71 37-60 39-74 86-77 37-70 38-81 36-54 4140 45-36 35-39 32-23 3404 29-47 31 07 s. d. 30 11 81 8 31 6 31 6 31 6 30 8 31 1 31 8 31 3 30 6 31 6 31 5 31 10 31 0 13 8 31 1 19-44 6-89 5-39 4-30 3-66 118 2-55 1-82 6-83 1-5G 0-58 1-26 305 1-28 0-83 2-70 21 10 7 ■1 6 7 1 £ 2,877 'J72 820 683 570 184 403 287 1,111 248 93 203 504 212 07 446 £ 3,210 1,124 904 817 1,030 209 512 230 967 255 115 ±i\) ar.) 273 59 614 £ + 333 +152 + 84 + 134 + 460 + 25 + 109 - 57 -144 + 7 + 22 + 26 + 105 + 61 - 8 + 168 + 12 + 16 + 10 + 20 + 81 + 14 + 27 -20 -13 + 3 + 24 + 13 + 21 + 29 -12 + 38 £ -16-86 + 0-84 - 9-72 -1513 -24-57 -13-35 -18-95 -10-28 - 9-76 -21-40 -14-57 -11-55 - 5-12 -18-68 - 4-07 - 16-97 £ - 608 + 6-47 - 6-65 -11-44 -12-44 - 704 -10-54 - 804 -10-34 -10-35 - 9-90 - 4-59 - 7-30 - 9-75 4 6 1 1 3 29-29 3l"o 0-64 a 108 34 - 74 -69 -11-92 24 42 3213 28-60 31 10 31 0 0-22 t y 39 t 13 t - 26 t -67 t -15-46 -13-90 * * Aggregate results .. 1,943 37-70 }31 4 64-18 70 9,827 11,204 + 1,377 + 14 -1315 - 7-21 A.O.S. Sanctuary Sir George Grey 61 47-41 21 11 4-23 371 457 + 86 + 23 - 1-71 - 1-19 B.U.O.O.P. Aorangi Lodge .. 126 33-74 27 5 2-78 433 300 -133 -41 - 5-92 - 902 S. and L/.T. National Division 382 3600 31 7 13-94 12 1,955 1,627 -328 -17 - 3-89 - 693 U.A.O.D. Bud of Hope Lodgesj M.U.I.O.O.F. Wellington District — Widow and Orphans' Society 49-60 4 4 612 * Not previously valued, igures of Grand Lodge of Cam tE ierbury. Istablished lyoo. 1 Kxcludii ig Court C] lisman. ; Be*i ilts will b< given next year with

29

H.—l

TABLE I.—Number of Members and Amounts of Benefit and other Funds, as on the 31st December, 1907, of all Friendly Societies and Branches from which Returns were received in accordance with the Act.

Namk of Society and Branch. 1'liiceof L.Sa i'Z ■ Establishment, S Sα. H i jig Sick and Management Tnt.il w,,.ti. Funeral Fund, anil other Total W0111,. Funds, Goods, Surplus. &c. Surplus or Defloienoy per Member at Lust Valuation. M.U.I.O.O.P. N.Z. Branch Central Body Wellington.. 1902 B. d. £ s. d. £ s. d. 302 11 10 .. 302 II 10 £ s. d. £ s. d. 302 11 10 £ Auckland District — Central Body Fountain of Friendship Lodge.. Good Intent Parnell „ .. Charles Bruce „ .. Waikato . .. Duke of Cambi-i „ .. Gisborne Howick Whangarei Franklin „ .. Warkworth Pioneer Hauraki Hokiauga „ .. Karangahake Waihi Jubilee „ .. Manukau Rotorua Waitekauri and Golden Cross Lodge Waipu Lodge Mangonui „ Hot Springe ... Te Awamutu ... Hamilton Hikurangi Hand of Friendship Lodyc Auckland .. 1844 536 .. 1850 424 Parnell .. 1859 227 Thames .. 1865 170 .. 1866 288 Cambridge .. 1867 98 Gisborne .. 1874 201 Howick- .. 1876 109 Whangarei .. 1881 75 Otaliulni .. 1H81 85 Warkworth.. 1884 76 Coroinandel 1895 53 Raweno .. 1896 64 Karangahake 1897 107 Waihi .. 1897 133 Paeroa .. 1897 57 Onehunga .. 1898 68 Kotorua .. 1898 61 VVaitekauri .. 1899 130 16,482 8 1 16,375 14 6 106 13 7 26,196 14 0 22,191 5 0 4,005 9 0 182 l'.t 10 7,854 13 5 478 6 5 6,120 11 3 5,471 14 11 648 19 4 2.75S 19 7 2,570 10 1 188 9 6 3,541 15 6 8,286 10 3 305 5 3 1,046 16 3 954 11 7 92 4 8 5,368 2 2 5,159 5 4 208 16 10 2,114 14 3 2,021 12 4 93 1 11 1,583 6 8 1,552 14 8 30 12 0 1,245 18 2 1,288 5 8 12 12 6 702 II 0 685 18 5 16 12 7 898 8 1 834 5 5 63 17 8 271 6 6 251 18 1 19 7 5 668 7 8 647 12 0 20 15 8 603 14 5 591 0 8 12 13 'J 570 16 11 564 3 5 6 13 6 453 15 1 430 12 9 23 2 4 309 4 0 309 4 0 980 11 8 928 15 10 51 15 5 16,375 14 6 22,191 6 0 7,854 13 5 5,471 14 11 2,570 10 1 8,286 10 8 954 11 7 5,159 5 4 2,021 12 4 1,552 14 8 1, 288 5 8 685 18 5 834 5 5 251 18 1 647 12 0 591 0 8 564 3 5 430 12 9 309 4 0 928 15 10 106 18 7 4,005 9 0 478 6 5 648 19 4 188 9 6 305 5 3 92 4 8 208 16 10 93 1 11 30 12 0 12 12 6 1(1 12 7 63 17 8 19 7 6 20 1 12 18 9 6 18 6 23 2 4 - 216 + 0-11 + 1-78 - 5-32 12-98 -1015 - 500 + 10-22 - 321 11-78 - 800 -12-68 s-dl 9-90 - 9-18 - 7-85 51 15 5 - 900 Waipu .. 1900 29 Mangonui .. 1900 18 Te Aroha .. 1900 37 Te Awamutu 1903 62 Hamilton .. 1903 119 Hikurangi .. 1904 35 Huntly .. 1906 63 2 8 233 5 1 19 17 2 20] 12 2 154 4 B 47 7 6 Mm 3 11 168 5 6 3 18 6 338 111 818 0 8 25 1 3 312 4 6 292 4 6 20 0 0 174 6 '.I IV.l 17 11 14 8 10 88 8 0 68 5 0 14 18 0 233 5 1 15 1 4 8 L68 5 6 818 0 8 292 4 6 IV.l 17 11 68 5 0 19 17 2 47 7 6 3 18 5 25 1 8 20 0 0 14 8 10 14 18 0 - 8-50 - 8-04 - 9-13 Total .. 3,325 3.325 81,780 12 2 75,249 11 8 6,531 0 6 81,780 12 2 75,249 11 8 6,531 0 6 - 511 Hawke's Bay District — Central Body Napier Lodge Meeanee Abbotsford Clive „ .. Hastings Tavistock Woodville Ruahine Forest Home Dannevirke Napier 1 ._> \i ■ Oil.) .. 1856 31H Taradale .. 1871 59 Waipawa .. 1873 236 Clive .. 1876 28 Hastings .. 1878 257 | Waipukurau 1879 65 ! Woodville .. 1880 25 Sampden .. 1885 117 | Ormondville 1887 62 Dannevirke.. 1888 172 1856 L871 1878 L876 IS7S 1879 1880 1885 L887 1888 818 59 236 28 257 65 25 117 62 172 819 7 5 751 S 1 68 2 4 12,085 15 1 II, I.V.I L8 II 625 16 2 793 in 6 766 l<; 8 27 2 3 8,440 15 10 8,124 7 0 316 8 10 1,155 15 1 1,156 Lβ 1 6,079 (i 9 6,028 3 1 50 17 5 ! 1,740 12 6 1,740 10 7 0 1 11 I 1,382 12 6 1,349 u 8 33 12 3 1,220 8 7 1,206 11 1 13 17 6 713 12 II 666 8 6 47 4 5 1,882 3 6 1,844 17 1 37 6 5 819 7 5 12,086 Lβ I 793 18 (> S, I II) 15 111 1.1Bβ 15 1 6,079 0 'J 1,740 12 6 1,382 12 (1 1,220 8 7 713 12 11 1,882 3 6 751 5 1 1 1, i.v.i L8 II 7ii(i in 8 8,124 7 0 1.155 10 1 6,028 3 4 1,740 10 7 1,349 0 3 6 11 1 666 8 6 1,844 17 1 6H 2 -1 626 Hi 2 27 2 3 316 8 10 50 17 5 0 1 11 33 12 3 13 17 6 47 4 5 37 6 5 f 9-79 -1401 + 812 + 7-17 - 2-23 + 7-26 f27-09 - 2-37 - 10-44 - 1-82 Total .. 1,339 1,339 36,314 2 8 35,093 13 2 1,220 9 6 36,314 2 8 36,098 13 2 1,220 9 6 -r- 3-24 New Plymouth District — Central Body Egniont Lodge Excelsior „ Waitara Union Manaia Eltham Midhirst NowPlyinouth 1857 226 1 i>1 ■ r. tin L866 112 Waitara .. 1876 51 Hawera .. 1881 113 Manaia .. 1887 97 Klthain .. 1889 151 Midhirst .. 1893 73 1857 L866 L876 1881 1887 1889 1893 226 112 51 113 97 151 73 771 7 5 674 10 3 I 99 17 2 l 1.1. I 1 1 ! rT ✓> irr *\ ' — . 6,222 11 7 6,197 17 0 24 14 7 5,178 14 3 5,112 1(1 7 66 17 8 2,258 13 11 2,205 3 7 53 10 4 2,244 8 5 2,194 8 5 50 0 0 1,652 8 7 1,621 14 5 30 14 2 883 14 6 872 4 2 11 10 4 595 18 1 373 14 1 222 4 0 771 7 5 6,222 11 7 5,178 14 3 2,258 18 II 2,244 8 5 1,652 8 7 883 14 6 595 18 1 674 10 8 6,197 17 0 5,1 12 1(1 7 2,205 2,194 8 5 I ,621 14 5 872 4 2 373 14 1 99 17 2 24 14 7 65 17 8 53 10 4 50 0 0 30 14 2 11 10 4 222 4 0 - 5-79 + 6-27 + 4-63 - 3-86 + 4-12 - 4-62 - 103 Total 823 823 19,810 16 9 19,252 8 6 558 8 3 19,810 16 9 19,252 8 6 558 8 3 Wanganui District — Central Body Wanganui Lodge Manawatu Manchester Apiti Awarua „ Bangitikei Hautapu Mataroa Bunnythorpe „ Hunterville Foxton Kimbolton Wanganui .. 1 ur.a ns*rr .. 1858 267 L'almerston N. 1881 248 Feilding .. 1883 119 Apiti .. 1894 77 Ohingaiti .. 1894 41 Mangaweka 1895 89 Taihape .. 1897 56 Mataroa .. 1904 31 Bunnythorpe 1905 44 Huntorville 1905 27 Foxton .. 1906 43 Kimbolton .. 1906 26 1858 1881 1883 1894 1894 1895 1897 1904 1905 1905 1906 1906 267 248 119 77 41 89 56 31 44 27 43 26 316 12 8 287 7 0 29 5 3 15,939 4 2 10,698 5 7 5,240 18 7 2,939 14 1 2,916 19 5 22 14 8 1,038 11 7 1,034 8 4 4 3 3 784 5 5 689 3 5 95 2 0 623 17 1 585 10 0 38 7 1 829 13 9 611 13 9 218 0' 0 237 13 9 209 9 0 28 4 9 221 4 2 140 14 1 80 10 1 214 6 1 173 1 3 41 4 10 42 16 8 28 14 4 14 2 4 79 6 10 76 19 5 2 7 5 43 4 2 36 14 11 (i (I R 316 12 8 15,939 4 2 2,939 14 1 1,038 11 7 784 5 5 623 17 1 829 13 9 237 13 9 221 4 2 214 6 1 42 16 8 79 6 10 43 4 2 287 7 0 10,098 5 7 2,916 19 5 1,034 8 4 689 3 5 585 10 0 611 13 9 209 9 0 140 14 1 173 1 3 28 14 4 76 19 5 36 14 11 29 5 3 5,240 18 7 22 14 8 4 3 3 95 2 0 38 7 1 218 0 (I 28 4 9 80 10 1 41 4 10 14 2 4 2 7 5 6 9 3 + 8-72 - 8-40 -11-89 - 4-32 - 407 - 7-90 -15-71 - 6-87 - 7-78 - 6-48 Total 1,068 23,310 10 0 - 4-46 17,489 0 6 5,821 9 6

H.—l

30

TABLE I.—Membership and Fund s— continued.

NAMK cif Sue IKTY AND JtKANCH. Place) jl§s HBtabliahment. - •5S| II; Total Worth. sick and Funeral Fund, [noludfng Surplus. Management and Oilier Funds, Goods, &c. Surplus or Denoienoy per U< at La Valuation. M.U.I.O.G.F.— continued. Wellington District — Central Body Britannia Lodge' Antipodean „ Rose of the Valley Rose of Sharon St. (leorge Unity Combination Heart of Oak Mastertou Greytown IVtone Eketahuna Martinborougii Mangatainoka „ Sistur \\ ill ii:. » Newrown „ Victoria Diamond Kilbirnie Wellington .. .. 1848 .. 1847 Lower Hutt 1849 Upper Hutt 1857 Pahautanui Peatheraton 1872 Johnsoiivillc 1876 Cartcrton .. 1877 tfaiterton .. 1877 Greytown .. ! 1879 I'.tone .. 1882 Kketahuna .. L887 Martinborougii 1892 Mangatainoka L894 Wellington .. 1895 Newtown .. I 1897 Devta .. ■ L897 Kilbicnie .. 1907 1843 1847 1849 1857 L872 1876 1877 1877 1879 L882 1SH7 L892 IS!)) L895 is: it L897 1907 G 404 12!) 64 2(1 107 23 76 127 76 102 76 35 46 03 118 20 23 £ s. d. 4,249 12 10 21,249 4 9 15,928 1 1 3,270 2 1 1,597 1 8 r>37 15 9 1,572 8 8 1,014 2 10 2,015 4 5 1,129 15 1 2,654 6 8 2,207 12 2 1,404 16 7 548 15 6 860 8 5 218 1 4 818 5 6 249 6 'J 50 3 11 £ s. d. 4,103 5 11 •211,! 172 17 4 15,518 ft 4 ,41 1 ,654 13 8 II 9 1,620 II 6 838 7 1 2,0(11 11 3 1.10S 13 6 2,269 14 1 3,189 19 ii 1,157 1 10 H C> 345 8 5 191 4 1 769 3 4 212 16 6 44 18 11 £ s. d. 146 6 11 270 7 b 414 15 9 243 18 0 42 8 5 10 4 0 r>1 14 2 175 15 9 10 13 3 21 1 7 12 7 67 12 8 247 13 9 75 7 0 15 0 0 21 17 8 i'.i a i 36 Id i 6 5 0 + 7-ti; 1-89 - 1-21 - 0-28 - 13-50 + 045 + 1-37 - 3-70 + 1-72 + 4-68 - 1-82 + 1-68 + 7-30 - 0-57 - 1-23 - 017 - 0-32 Total '2,067 61,070 4 11 58,778 19 1 2,296 5 10 Nelson District — iral Body Nelson Louhi: Travellers' Rest Howard Mansion of Peace General Cameron Mataki Nulson .. 1842 Hichnioml .. 1847 ■>n .. IS IT Wakefleld .. htwatei Mnrchison .. 1903 1842 1847 1847 1903 229 104 222 194 50 58 10,830 17 11 4,242 5 9 2,06] 9 4 8,731 6 6 5,414 1H 2 1,833 11 3 181 12 6 5,545 7 0 4,183 17 4 2,002 4 10 8,710 Id 8 5,351 16 1 11 3 127 5 11 5,285 10 11 58 8 5 59 4 6 20 16 8 C3 2 1 - 314 - 2-57 + 587 + 4-50 + 5-02. - 1-80 54 C 7 Total 857 88,296 1 5 27,754 12 8 5,541 8 9 + 156 Motueka District — Central Body Motuoka Lodge Good Intention Takaka South Star Motueka .. 1850 Riwaka .. I860 Takaka .. L868 Dovedale .. 1880 1850 I si ;o L868 1880 207 94 118 65 3,200 15 3 5,079 8 3 8,517 5 5 1,908 8 H 889 7 9 26 14 0 5,06!) 18 2 3,424 1 6 I, '.Mil 1 6 19 11 3,174 1 8 9 10 1 93 3 11 4 2 2 45 7 10 - 0-20 - 1-31 - 915 - 334 Total 484 14,592 0 4 11,265 15 1 3,326 5 3 Hokitika District — Central Body Waimea Lodge GreynioutU Albert Hokitika .. Stafford .. 1867 Grcyniouth .. L867 Samara .. 1870 1867 L867 1870 2 24 ill 78 286 12 10 438 12 5 4,187 5 10 771 1 9 286 12 10 413 10 10 4,187 5 10 G73 18 10 25 i 7 -64-3 - 11 -332 97 *2 11 Total 193 5,683 12 10 5.5G1 8 4 122 4 6 -25-3 Ashley District— Central Body Rangiora Lodye Nil Dosperandum 1,1'itlilield Cust Woodend Oxford Ohoka Anibcrley Waikari Cheviot » Rangiora .. .. 1860 Oxford 1868 Loithflold .. 1878 Cust . . 1874 Woodend .. 1874 West Oxford 1876 Ohoka .. 1876 Amberley .. L876 Waikari .. 1880 MoKenzie .. 1896 1860 L868 1878 1874 1874 1876 1876 L876 1880 1896 ISC, 130 83 83 89 93 87 80 35 27 1,257 18 i 8,805 4 6 3,117 3 10 2,277 5 1 1,295 12 6 1,231 9 6 555 13 2 I.Ill 1 6 2,208 5 4 449 6 4 235 12 1 1,079 15 4 8,659 3 0 3,051 6 8 2,246 1 2 1,277 (i 5 1,280 19 5 490 4 0 1,137 17 2 2,192 7 1 443 4 2 219 2 0 178 3 0 140 1 6 65 17 2 31 3 11 18 6 1 0 10 1 65 8 8 3 4 4 15 18 3 6 2 9 16 !i 7 - 1-811 + 5-35 + 517 - 8-72 - 3-48 -19-45 - 8-71 + 2-15 - 6-54 - 2-01 Total 1,093 22,574 12 2 22,027 7 5 547 4 9 - 3-09 Ashburton District - Central Body Ashburton Lodge Waterton South Hakaia „ Pioneer Tinwald Methven Mayfield Ashburton .. .. 1873 Waterton .. 1881 South Rakaia 1881 Springburn .. 1881 Tinwald .. 1882 M.'tnven .. 1900 Mayfield .. 1901 1873 1881 1881 1881 1882 1900 1901 202 50 35 56 45 58 43 1,176 16 6 3,932 5 8 1,387 4 3 1,710 14 0 1,869 13 8 1,412 17 6 352 0 0 320 11 7 1,056 10 5 3,825 17 10 I ,866 10 6 l,7()(i 9 G 1,350 16 2 t.trea i4 o 303 16 6 288 18 7 120 6 1 108 7 10 20 13 9 4 4 6 18 17 6 20 3 6 48 3 6 81 13 0 - 3-32 + 2-83 + 6-12 - 0-29 + 900 - 4-06 - 3-59 Total .. 489 11,662 3 2 11,291 13 6 370 9 8 + 0-06 Total N.Z. Branches 11,738 310,397 8 3 283,759 9 11 20,637 18 4

31

H. 1

TABLE I.—Membership and Funds— continued.

NAMK OF Soc nil ami HUANCH. Place m! Establishment. Iff ■gJS T.>tal Worth. 5 B 6 Rick and Management n ,'' ,,.. v Funeral Fund, and other ' .''. ","> Indadlng Funds, (ioods, p0 L M , ' ' «'"1'1»- *o. ValuaUon. M. U.X. O.O. P.— continued. DISTRICTS SEI'AUATtll.Y KKGISTFHl'l). Marlborough District — Central Body Marlborough Lodge Renwick Total Blenheim .. I860 1867 £ s. d. 1,348 7 11 LSI 5,970 12 6 40 2,700 Hi U 181 40 £ s. d. 8 L9 11 5,952 1 1 2,675 8 10 £ a. d. 1 . .•. 11 8 0 18 11 4 25 2 1 e + S-59 I -2 85 Kenwick 171 10,219 11 8 8,631 9 10 1,588 1 I 8-42 North Westland DistrictCentral Body Westport Lodge Charleston Reefton WairaanRaroa „ Blackball Reefton Westport Charleston .. Heefton Waimangaroa Blackball .. L867 1867 1873 1886 1898 114 1C 99 Sβ 94 86 9 0 4,596 1 f> 2,741 7 11 8,798 5 9 442 4 6 452 18 4 1 17 5 1,696 1 G 2,741 7 11 8,786 19 10 443 1 0 418 18 1 34 II 7 12 5 11 0 3 6 34 5 8 + 12-40 L0-87 9 96 -19-78 Total 401 12,007 7 0 11,986 0 9 81 6 3 - 2-93 North Canterbury District — Central Body City of Christchureh Lodge Kaiapoi Volunteer Bonevolent Malvern Phillipstown Leeston , Papanui Addington Coleridge Heart of Oak ". Riccarton Jubilee Sister Pearce Tamahine , Chrietohurch Kaiapoi Sydenham .. Christeliuivh Waddington Phillipstown Leeston Papanui Addington .. Glentunnel .. Kaikoura Up. Riccarton Prebbleton .. Christchureh Kaiapoi L868 1868 1866 L866 1K77 1 879 1880 1880 1882 1883 L888 1886 1887 1896 1896 I 528 15S 220 137 67 71 73 116 138 88 49 55 41 47 678 8 1 1C,'.US 18 1 8,882 14 4 U.7S7 16 7 4,444 2 8 1,107 G 6 328 16 10 1,920 12 3 1,400 17 3 1,989 19 11 1,17 1 L9 II 1 ,78] 12 9 1,370 17 8 736 0 0 186 3 0 34 5 3 478 14 8 14,826 0 0 3,269 16 2 2,702 16 3 4,886 19 11 1,079 2 0 810 16 0 1,878 9 11 1,300 0 8 1,921 7 10 924 6 10 1,322 17 8 1,350 7 H 728 16 10 116 5 0 0 8 2 199 8 5 2,022 18 1 69 in 8 84 19 4 107 2 9 28 4 C 18 0 10 42 2 4 40 16 7 68 12 1 250 6 1 408 15 1 90 10 0 7 9 8 19 18 0 33 17 1 -2900 - 3-94 - 5-84 - 9-84 + 4-73 - 8-83 -21-31 - 8-78 - 5-20 -1409 -10-40 - 4-89 + 6-90 - 1G-58 - 7-20 - 7-89 Total 1,911 40,123 4 7 3G.107 5 7 4,015 19 0 - 7-C1 Lyttelton District — Central Body City of Norwich Lodge Good Intent Hand of Friendship Hand and Heart Perseverance Wairewa Lyttelton Akaroa Okain's Bay Pigeon Bay.. Barry's Bay Little River 1850 1SG0 1875 1876 1881 1897 1 271 44 51 58 55 63 238 11 4 10,860 11 0 1,822 8 0 958 5 0 1,316 4 11 920 9 0 299 8 5 178 9 11 10,737 10 1 1,821 18 2 946 2 7 1,282 11 3 B99 0 4 263 0 4 60 1 S L23 0 11 0 9 10 7 2 5 38 18 s 27 1 8 36 8 1 + 0-98 -1300 - 817 - 9-34 - 9-98 - in-is Total 538 16,410 10 8 16,128 12 8 287 18 0 - 478 South Canterbury District — Central Body Timaru Lodge Heart of Friendship Pleasant Point Timaru 1864 1S71 1891 H76 84 22 83 16 s 5,489 2 0 ' 5 9 759 18 6 50 7 2 5,848 0 7 L,24e 13 10 755 18 (i 27 8 6 I 1C 1 5 12 11 11 I S (I -10-63 -12-44 - 6-20 Waimato Pleasant Pt. Total 482 7,592 1 11 7,401 15 1 190 6 10 Otago District — Central Body Hand and Heart Lodge Dunedin Dalton Prince of Wales Albion Oamaru Tuapeka Pioneer „ Waitahuna Prince Alfred » Waipori Bluespur Naseby „ Alexandra Roxburgh Tapanui Palmerston Cromwell Mount Wendon Band of Friendship Dunedin » • • Balclutha .. Port Chalmers Dunedin Oamaru Lawrence .. Waitahuna .. Hawksbury.. Waipori Bluespur Naseby Pt. Molynoux Roxburgh .. Tapanui Palmerston S. Cromwell Waikaia Kakanui 1848 L863 1804 isci I sci 1864 1865 1866 I sec 1867 ISC7 1868 1869 1869 1869 1870 1870 1871 1872 634 366 232 187 337 179 103 41 6G 21 53 113 06 51 171 109 109 78 45 8,860 13 10 30,099 14 7 16,188 16 4 5,885 19 1 3,973 9 0 5,427 12 3 1,608 19 5 2,429 G 8 1,418 18 1 8,201 10 7 255 8 10 1,625 6 10 1,627 3 11 2,512 10 7 1,345 10 5 4,423 18 6 2,446 5 5 6,495 6 8 1,942 18 8 1,236 0 11 251 16 7 27,000 11 7 16,806 16 0 5,:!52 3 9 3,735 1C 8 12 5 4,328 8 11 2,221 8 4 1, 887 19 9 3,200 16 2 200 9 8 1,417 18 6 1,407 3 1 2,405 2 1 1,180 5 3 4,171 18 10 2,269 2 1 5,933 15 0 L.989 17 11 i.oci 0 1 3,108 17 8 3,099 .: 0 878 19 10 : 15 4 387 13 8 iSS 19 10 276 15 6 207 18 4 30 18 4 0 14 5 54 19 2 '207 8 4 ICO 0 10 107 11 C 1.7.) 5 2 351 19 8 177 3 4 ■ r )Gl 11 8 3 0 9 169 0 10 + 8-70 + 4-42 - 4-57 2-76 - 7-64 - 612 -14-96 - 4-67 + 7 91 -17 57 -22-78 -15-30 + 13-77 - 8-75 - 6-26 - 4-83 + 2-94 -12-49

H.—l

32

TABLE I. —Membership and Funds — continued.

N'MK O> SOCIKTY AND HBANCll. Place of Establishment. = 3 Z •= *~ Total Worth. Sick and Management nXu-ucv Funeral Fund, ai.d " , ' ,' , including other Funds. >'"' * " " "■' Surplus. Goods, 4c. Valuation. M.U.I.O.O.F.— continual. M.U.I.O.O.K.— continued. )tago District —continued. Outram Lodge Mosgiel Cavorsham Valley Ngapara Dunback Pride of Kaitangata United Brothers Milton Waikaka Middlemarch ivi.u.i.u.u.*. — continued, ago District —continued. 3utram Lodge Mosgiel 3avorsham Valley Ngapara Dun back Pride of Kaitangata United Brothers Milton Waikaka Middlemarch . Outram Mosgiel Caversham .. . N.E. Valley . Ngapara Dunback Kaitangata .. . Cambrian .. Milton . Waikaka .. . Middlemareh 1875 1879 1881 1881 1891 1892 1892 1897 1897 1899 1906 88 237 240 156 31 56 156 61 179 55 £ s. d. 3,904 1 11 5,263 16 1 3,827 10 9 2,605 4 0 529 12 11 457 5 6 1,339 1 0 561 3 1 1,832 15 0 310 3 11 120 16 4 £ s. d. 3,849 6 8 4,915 8 1 3,632 0 7 2,898 10 4 512 s a 441 0 8 L,848 18 1 536 11 9 1,445 6 8 293 6 1 105 16 4 £ s. d. 54 15 3 348 8 0 195 10 2 211 13 8 17 9 8 16 4 10 95 2 11 24 11 4 387 8 4 17 17 10 15 0 0 £ + 1104 - 1-01 - 643 - 6-35 -10-00 -15-74 - 602 -17-71 - 8-68 -17-98 Total Total 4,261 121,239 2 7 109,847 6 3 11,391 16 4 - 3-74 'outhland District — Central Body Shamrock, Rose, &Thistle Lodge St. George Winton United Gore Lumsden Awarua Riversdale Star of the West Mataura Palls Star of Nightcaps Hearts of Oak uthland District — Central Body shamrock, Rose, &Thistle Lodge 3t. George Win ton United Gore LjUmsden \warua Riversdale star of the West Mataura Palls Star of Nightcaps Hearts of Oak . Invercargill.. e Winton Gore I .umsden nipbelltown liiversdale .. Orepuki Mataura Nightcaps .. Invercargill.. 1860 1868 1874 1878 1882 1883 1889 1899 1900 1900 1904 363 386 138 141 118 122 56 35 66 43 79 557 16 10 11,746 8 10 7,085 15 6 1,094 5 7 2/250 4 5 1,382 2 7 1,766 12 9 336 11 r> 203 6 1 166 11 0 130 7 3 149 6 2 176 :! '2 11,557 16 0 6,849 14 11 1,094 5 7 2,141 0 10 1,305 7 11 1,691 18 8 230 11 10 202 8 8 44 3 7 86 14 3 189 14 0 381 13 8 188 7 10 236 0 7 109 3 7 76 14 8 74 14 6 105 19 8 0 17 5 122 7 5 43 13 0 9 12 2 - 6-99 - 916 - 2001 -12-33 -13-42 -12-84 -23-45 19-66 -25-3? -21-20 Total Total 1,547 9,311 26,869 3 6 25,519 19 0 1,349 4 6 -11-80 Total Sep. Reg. Societies Total Sep. Reg. Societies Iβ 234,527 1 6 215,622 9 2 18,904 12 4 Total of Order Total of Order 21,049 544,924 9 9 499,381 19 1 45,542 10 8 I.O.O.P. }rand Lodge of New Zealand — Central Body Pioneer Lodge Leith Alfred Star of Canterbury Rangitikei Alexandrovna Unity Victoria Linden Southern Cross Pioneer of Southland Star of Auckland Washington Prebbleton Alma Wallace Ridgley Gladstone Mataura Aparima Kaeo Orient Popotunoa Hope of Maheno Waiareka Star of Eden Star of Waiuku Northern Wairoa Myrtle Rebekah Naomi Rebekah Wynyard Opotiki Owaka Hereweka Star of Gisborne Royal Oak Awhina Star of Linwood I.O.O.P. and Lodge of New Zealand — Central Body Pioneer Lodge Leith Alfred 3tar of Canterbury Rangitikei Uexandrovna Unity Victoria Linden Southern Cross Pioneer of Southland Star of Auckland Washington Prebbleton Alma Wallace Ftidgley Gladstone Mataura Aparima Kaeo Orient Popotunoa Hope of Maheno Waiareka Star of Eden Star of Waiuku Northern Wairoa Myrtle Rebekah Naomi Rebekah Wynyard Opotiki Owaka Hereweka Star of Gisborne Royal Oak Awhina Star of Linwood . Dunedin Oamaru . Timaru . Rangitikei .. . ! Temuka . S. Dunedin .. . Geraldine .. . Kaikorai Wellington .. I nvercargill.. . Auckland . Sydenham .. . Prebbleton .. . i Wyndham .. . j Riverton . Cliristchurch . Fairlie Mataura . Otautau . Kaeo . PalmerstonN. . Clinton . Maheno . Weston . I'onsonby .. . Waiuku . Tβ Kopuru .. Auckland . Christchurch . Auckland .. . Opotiki . Owaka . Portobello .. . Gisborne . Drummond.. . Auckland . IJnwood 1862 1867 1869 1869 1873 1874 1875 1875 1875 1877 1878 1878 1878 1881 1882 1882 1882 1883 1883 1863 1884 1885 1889 1889 1891 1894 1895 1896 L896 1899 is: Hi 1899 1S'J9 1901 1901 1904 1904 1906 229 152 112 G9 42 57 327 60 144 163 242 243 176 37 56 106 116 77 40 60 22 78 39 55 52 174 42 97 22 ■J. , .) 190 44 60 230 40 54 57 20,497 2 4 1,092 5 9 3,465 2 3 2,476 1 9 944 10 6 584 9 3 879 2 1 1,073 13 9 872 4 11 1,246 8 10 5,938 10 7 3,844 18 7 4,935 9 9 1,698 0 11 717 12 0 977 15 2 711 19 9 1,202 13 6 753 13 4 870 1 8 575 12 4 286 10 11 808 15 11 244 6 5 634 10 0 289 5 4 1,032 i 4 446 13 8 693 9 10 162 13 8 52 17 7 811 4 1 318 10 4 349 18 10 269 15 0 1,080 19 5 128 7 3 123 10 11 57 17 2 18,143 17 11 997 3 5 3,286 12 0 2,447 18 6 93G Iβ 8 583 9 8 847 4 0 989 6 6 781 12 2 1,174 6 0 5,185 2 6 3,598 3 2 4,418 18 8 1,518 10 10 717 12 0 907 E 6 610 5 9 1,128 0 1 640 12 0 747 10 11 531 14 10 264 4 0 807 14 6 126 2 1 615 8 6 289 5 4 883 4 1 396 19 1 501 1 2 lea in o 44 10 4 619 17 6 277 14 10 324 5 7 264 9 8 979 7 11 121 9 3 123 10 11 33 19 5 2,353 4 5 95 2 4 178 10 3 28 3 3 7 13 10 0 19 7 31 18 1 84 7 8 90 12 9 72 2 10 753 8 1 246 15 5 516 11 1 179 10 1 70 9 8 71 14 0 74 13 5 113 1 4 122 10 9 43 17 6 22 6 11 115 118 4 4 19 1 6 - 771 + 15-45 + 8-85 + 6-20 + 2-18 + 1-02 - 581 + 2-83 - 004 t 15-78 + 7-65 - 0-37 + 2-71 + 6-62 + 9-68 - 2-95 + 304 + 195 + 16-80 - 5-21 + 2-37 + 3-11 - 7-13 - 3-08 - 3-87 - 5-08 - 3-47 - 9-56 + 0-75 - 2-86 - 5-58 -2 59 - 2-78 148 18 3 49 14 7 192 8 8 28 14 8 8 7 3 191 6 7 40 15 6 25 13 3 5 5 I 101 11 6 6 18 0 - 5-69 2317 9 Total Total 3,832 63,148 17 8 57,029 6 3 6,119 11 5

33

H.—l

TABLE I.—Membership and Funds— continued.

5—H. 1.

Name op Society and Branch. Place of Establishment. {33S -2.OS Total Worth. fS-S g S§'s Rick and Management Funeral Fund, and including other Funds, Surplus. Goods, &c. Surplus or Deficiency per Member at Last Valuation. N.I.O.O.F. Auckland Provincial District — Central Body Auckland Pioneer Lodge United Brothors „ Auckland 1878 1879 188 246 £ s. d. 2,507 17 7 607 19 0 1,525 4 4 £ s. d. 2,476 19 1 482 6 9 1,267 1 9 £ I. d. 30 18 6 185 12 3 258 2 7 £ - lV-89 -14-44 H • » Total 434 4,701 0 11 4,226 7 7 474 13 4 -14-66 B.U.O.O.F. Aorangi Lodgo Wellington .. 1884 - 592 140 2,213 10 6 2,086 0 1 127 10 5 A.O.F. Auckland District — Central Body Court City of Auckland Pride of Parnell Zealandia „ Pride of Onehunga , Pride of the North , Robin Hood , Northern Wairoa Pride of Newmarket , Nil Desperandum , Royal Oak , Star of the South Star of Helensville , Victoria „ Queen of the North , Chisman Auckland .. Thames Auckland .. Onehunga .. Grahamstown Pan mure .. Dargaville .. Newmarket.. Newton Tauranga .. Otahuhu Helensville .. Devonport .. Maungaturoto Auckland .. 18G3 1864 1873 1S75 1875 1876 1H77 1879 1880 1880 1881 1883 1885 1886 1894 397 151 166 168 128 29 87 G4 302 43 12 94 229 81 56 9,815 11 7 9,914 19 6 4,387 15 1 '2,053 19 2 1,460 0 11 274 18 2 397 16 8 893 12 3 869 12 6 3,521 5 0 793 2 4 301 15 3 1,049 12 9 2,113 9 1 426 11 11 148 4 9 8,815 G 7 9,809 12 3 4,248 8 10 1,992 16 1 1,334 9 1 181 4 11 360 3 8 853 13 0 824 4 2 3,354 3 4 704 19 10 268 18 4 896 11 6 2,048 15 6 353 1 8 104 14 11 1,000 5 0 105 7 3 I v.t 6 3 61 3 1 125 11 10 93 8 3 37 13 0 39 19 3 45 8 4 167 1 8 88 2 G 32 16 11 153 1 3 64 13 7 73 10 3 43 9 10 -16-86 + 0-84 - 9-72 -1513 -24-57 - 13-35 -18-95 -10-28 - 976 -21-40 -14-57 -11-55 - 512 -18-68 - 4-07 Total 2,007 38,422 1 11 36,151 3 8 2,270 18 3 -1315 Hawke's Bay District — Central Body Court Sir Charles Napier „ Lord Clyde . Captain Cook .. „ Sir Henry Havelock » Robin Hood Ruahine „ Heretaunga „ Littlo John Waitangi Rising Sun Ormond . Redolyffe Viking Napier Wairoa Napier Havelock Port Ahuriri Waipukurau Hastings Waipawa .. West Clive .. Dannevirke.. Makotuku .. Taradale Norsewood .. 1872 1873 1875 1875 1S7S 1879 1882 1883 1884 1885 1885 1886 1894 152 61 167 126 118 68 76 50 17 90 59 31 27 8,954 18 7 7,016 0 3 848 12 4 2,923 1 10 2,781 18 7 1,375 14 10 1,060 12 8 1,030 11 3 760 4 7 317 15 3 560 15 8 796 2 10 385 2 4 120 3 0 8,839 14 1 6,884 13 5 823 0 8 2,865 3 3 2,779 18 3 1,338 1 8 1,028 19 2 1,027 14 0 741 14 7 316 3 10 540 17 9 743 10 10 383 17 9 9G 8 11 115 4 6 131 6 10 25 11 8 57 18 7 2 0 4 37 13 2 31 13 6 2 17 3 18 10 0 1 11 5 19 17 11 52 12 0 1 4 7 23 14 1 + 1409 - 4-28 - 5-80 - 6-15 - 9-94 + 1-73 - 5-47 -1100 -1017 -15-95 -12-20 - 13-70 - 24-47 Total 1,042 28,931 14 0 28,409 18 2 521 15 10 Taranaki District — Central Body Court Taranaki „ Waireka „ Patea.. „ Inglewood Forest , Raleigh Opunake Fjgmont . Stratford Pride of New Plymouth New Plymouth H 18G4 1866 18G7 1876 1883 1883 1884 1887 1893 106 440 75 202 73 12 43 G5 113 576 19 G 3,774 19 10 7,214 14 5 1,130 0 10 3,137 1 8 981 8 2 484 4 0 l,G00 4 11 1,008 10 10 449 10 5 215 8 5 3,732 10 7 7,199 8 10 1,080 14 5 3,135 11 1 939 9 11 467 0 3 1,596 13 8 993 2 8 436 0 4 361 11 1 42 9 3 15 5 7 49 6 5 1 10 7 41 18 3 17 3 9 3 11 3 15 8 2 13 10 1 + 7-38 + 0-40 -1215 -12-29 - 4-97 Patea Inglewood .. Waitara Opunake Hawora Stratford New Plymouth + 2-58 - 617 Total 1,129 20,357 14 7 19,796 0 2 561 14 5 Wellington District — Central Body Court Sir George Grey Robin Hood Littlo John Roderick Dhu Sir George Bowen Blenheim Wairarapa Loyal Enterprise Clarendon Manawatu Marquis of Normanby .. Loyal Feilding William Gladstone . Pioneer Wellington .. • • • Marton Wanganui .. Wellington .. Blonheim .. Greytown .. Masterton .. Picton Palmerston N. Carterton .. Peilding Gisborne Te Nui 1862 1865 1866 1867 1868 1869 1870 1871 1874 1875 1876 1876 1877 1877 290 302 173 305 365 L98 G4 1G7 105 211 14G 94 173 G6 14,972 17 G 9,389 18 3 3,386 5 4 2,115 18 7 3,528 3 8 7,058 5 1 5,480 19 11 1,656 19 1 1,044 7 11 2,902 13 11 2,089 1 0 1,409 9 3 1,795 1 7 3,412 17 5 1,475 8 2 13,882 2 2 8,883 6 8 2,850 17 10 2,067 14 2 3,275 15 3 6,767 15 3 5,459 6 7 1,640 8 5 852 14 4 2,872 11 11 1,258 14 10 1,244 2 7 1,745 12 7 3,123 15 4 1,382 7 9 1,090 15 4 506 11 7 535 7 6 48 4 5 252 8 5 290 9 10 21 13 4 16 10 8 191 13 7 30 2 0 830 6 2 165 6 8 49 9 0 289 2 1 93 0 5 - 0-55 -1201 - 9-25 - 4-40 - 6-40 + 2-48 -15-87 -22-50 + 409 - 9-S5 -10-45 - 4-93 + 2-88 - 0-15

H.—l

34

TABLE I.—Membership and Funds—continued.

Place of Establishment. m Sick and Funeral Fund, including Surplus. Management anil other Funds, Goods, &c. Surplus or Deficiency per Member at Last Valuation. Namk. op Socikty and Bbanch. Total Worth. A.O.P.— continued. Wellington District —continued. Court Loyal Halcombe , Woodville Pohangina Epuni Pahiatua Kopuaranga Hunterville Sir William Jervois Pride of Levin Bloomfield Lady Glasgow Primroee Makakahi Ruapehu . Pongaroa Alexandra Loyal Northland Haloombe .. Woodville .. Ashhurst Petone Pahiatua Mauriceville Hunterville Newtown Levin Lower Hutt Wellington .. Petone Eketahuna .. Baetihi Pongaroa .. Marton Northland .. 1884 1884 1885 1886 1886 1887 1888 1889 1891 1891 1894 1894 1895 1900 1900 1905 1907 34 81 42 34G 163 92 36 199 73 39 90 46 180 23 46 16 52 £ s. d. 441 9 5 633 18 2 206 12 10 3,311 14 1 2,366 16 7 811 1 8 200 2 10 877 9 4 523 13 8 233 0 0 312 3 6 139 2 3 297 9 0 42 19 3 317 13 0 32 3 9 46 4 5 £ s. d. 350 11 10 631 6 2 161 12 5 3,C29 5 2 1,958 0 2 769 14 5 189 6 9 626 0 8 480 8 6 189 4 7 300 2 7 85 17 6 287 4 0 13 14 0 175 6 8 27 9 7 19 10 8 £ s. d. 90 17 7 2 12 0 45 0 5 282 8 11 408 16 5 41 7 3 10 16 1 251 8 8 43 5 2 43 15 5 12 0 11 53 4 9 10 5 0 29 5 3 142 6 4 4 14 2 26 13 9 & - 3-39 - 6-94 -12-69 - 357 - 606 -11-52 - 9-42 - 8-13 - 8-06 -1C-07 + 0-64 - 1-80 - 706 -1212 - 9-39 Total .. 4,217 72,512 0 5 66,602 1 4 5,909 19 1 - 6-51 Nelson District — Central Body Court Robin Hood Perseverance Pride of the Forest Concord „ Unity Charleston Sherwood Forest Aorere Inangahua Nelson Motueka Wakapuaka Greyraouth .. Havelock Charleston .. Stoke Collingwood Reefton 1862 1863 1864 1867 1871 1871 1872 1873 1878 303 77 67 98 69 34 55 104 43 1,080 9 4 8,116 2 0 703 12 3 2,108 G 9 650 19 11 1,280 0 3 763 2 8 1,944 9 1 3,959 18 2 798 9 8 948 11 7 8,000 4 10 681 13 6 1,999 4 3 594 11 7 1,114 5 9 755 12 1 1,925 6 9 3,808 10 i 723 8 8 131 17 '.) 115 17 2 21 18 9 109 2 6 56 8 4 165 14 6 7 10 7 19 2 4 153 7 10 75 1 0 - 750 -1308 - 905 -21-82 -24-21 -1519 - 6-22 - 174 - 9-55 Total 850 21,405 10 1 20,551 9 4 854 0 9 -10-38 Canterbury United District — Central Body Court Star of Canterbury Queen of the Isles „ Pride of Courtenay „ Thistle of the Forest „ Woodford Papanui , Star of Dunsandel „ Star of Belfast.. Ashburton Queen of Canterbury Victoria . Loburn Christchurch Lyttelton .. Courtenay .. Sydenham .. Kaiapoi Papanui Dunsandel .. Belfast Ashburton .. Christohurch Kaiapoi Loburn 1852 1859 1876 1879 1880 1881 1888 1888 1889 1895 1896 1902 428 25 55 128 16C 49 67 28 131 43 42 37 9,018 11 1 11,703 19 6 1,733 5 10 1,528 17 3 2,719 12 9 3,441 8 7 711 2 11 684 13 5 536 17 3 ,345 18 4 160 6 4 31 11 4 332 14 6 8,837 9 6 11,544 4 11 1,352 3 0 1,322 4 10 2,627 12 11 3,355 0 5 668 16 2 566 16 6 529 0 9 1,249 15 0 148 3 0 19 18 7 61 1 4 181 1 7 159 14 7 381 2 10 206 12 5 91 19 10 86 8 2 42 6 9 117 16 11 7 16 6 96 3 4 12 3 4 11 12 9 271 13 2 + 2-66 + 5-77 + 3-22 + 3-85 + 2-33 - 3-51 - 8-12 + 1-88 - 100 - 384 - 5-25 Total 1,199 33,948 19 1 32,282 6 11 1,666 12 2 + 1-13 South Canterbury District — Central Body Court Southern Cross Foresters' Pride Progress Star of Waihao Timaru * • • Waimate St. Andrew's Morven 1865 1875 1883 1904 434 181 71 20 756 7 0 7,919 18 11 2,809 2 9 408 11 1 88 1 9 653 5 4 7,C92 2 11 2,703 13 0 405 3 2 74 1 5 103 1 8 227 16 0 105 9 9 3 7 11 14 0 4 -11-74 -15-04 -16-71 Total 706 11,982 1 6 11,528 5 10 453 15 8 - 13-01 United Otago District — Central Body Court Pride of Dunedin Pride of the Lake Enterprise Robin Hood Pride of the Leith Bruce Star of the Dunstan , Pride of Oamaru Star of Tuapeka Pride of Alexandra Havelock Roxburgh Star of the South St. Andrew Excelsior „ Little John . Royal Oak , Southern Star Victoria . Woodlands' Pride Dunedin Queenstown Dunedin Port Chalmers Dunedin Milton Clyde Oamaru Lawrence .. Alexandra .. Waitahuna .. Roxburgh .. Invereargill Caversham .. Mornington.. Roslyn Wyndham .. Bluff Oamaru Dunedin 1862 1863 1863 1864 1864 1865 1866 1868 1868 1869 1869 1873 1874 1875 1877 1888 1890 1890 1894 1895 293 23 354 180 256 201 52 208 24 75 22 83 456 157 159 106 75 63 33 218 15,318 10 6 9,350 0 4 255 16 7 8,378 15 2 1,587 4 9 4,935 1 7 2,187 17 11 935 13 2 3,457 8 7 359 3 1 1,105 17 11 724 17 4 832 15 1 4,512 10 2 1,576 17 8 2,540 2 2 1,200 11 5 644 2 2 158 10 9 99 2 2 447 0 0 13,088 4 3 8,805 8 2 226 1 1 7,904 7 5 1,438 4 0 4,647 6 7 2,021 3 3 935 13 2 3,359 4 6 329 16 9 1,088 16 8 579 4 3 772 17 3 4,395 3 1 1,371 18 2 2,417 18 3 1,145 4 1 594 17 10 147 4 8 91 8 9 256 9 11 2,230 6 3 544 12 2 29 15 6 474 7 9 149 0 9 287 15 0 166 14 8 98 4 1 29 6 4 17 1 3 145 13 1 59 17 10 117-7 1 204 19 6 122 3 11 55 7 4 49 4 4 11 6 1 7 13 5 190 10 1 + 4-29 + 3-77 + 7-45 -1407 - 1-14 - 808 + 1-59 - 0-18 + 0-90 - 3-38 - 2-38 - 2-52 - 9-44 + 2-48 + 1-96 + 1-69 - 9-53 - :(■!)'.)

35

H.—l

TABLE I.— Membership and Funds— continued.

6—H. 1.

NaMI. UK Sm 1KTY AMI HltAM'H. Place of Ketabliehiueiit. 4t 1SS S|§ 1.2s V 111 Total Worth. Sick and ImuutrI Kliuil, including Surplus. Management „ g-JP^ Other Funds, l ,er *&£•* Goods, *o. Va a lu at?on. A.O.P. — continued, hiited Otago District— continued. Court Queen of the South „ Star of the Forest Marion , Pride of Awarua . Pride of Waitaki Inveroargill Woodlands .. Mosgiel Bluff Kurow 1896 1896 1898 1904 1904 (it ■ir, 84 •2\ 28 £ s. d. 241 13 7 517 9 5 139 7 11 44 3 9 133 8 10 £ s. d. 198 7 8 493 2 6 111 13 4 80 11 i 121) 16 1 £ s. d. 43 5 11 24 6 11 27 14 7 13 12 5 3 12 6 £ - 2-13 - 4-40 - 9-14 Total 3,270 61,684 2 0 56,580 3 3 5,103 18 9 - 1-61 lourl not in any District — Court Coromandcl Coromandol 1871 45 1,376 17 5 290,621 1 0 1,217 10 5 159 7 0 + 2-09 Total of Order 14,465 273,118 19 1 17,502 1 11 A.O.S. Sanctuary Sir George Grey .. Epuni Wellington .. Petone - 1-71 1865 1906 59 84 1,203 3 10 43 10 1 1,175 16 4 31 11 3 27 7 6 11 18 10 Total IK! 1,246 13 11 1,207 7 7 39 6 4 U.A.O.D. Wand Lodge of the North IslandCentral Body Excelsior Lodge Stonehenge Star of New Zealand „ Auckland Albion Totara Oroua Bishop Brunner Blenheim Mistletoe Pacific Poneke Horowhenua Otaki Hawera » Holly Takaka Moturoa » Star of Paeroa Pride of Waihi Reefton Viotoria Star of Newmarket Pahiatua Coronation Alexandra Ruahine Shannon Mungaroa Inglewood Myrtle Dovonport • Trafalgar Whangarei Seddon Waitemata Buller Ahaura Shedwood » Eden Millerton » Fern-leaf Stratford Pride of Brooklyn Blackball Naumai Pride of Hamilton Nelson Creek Island Bay Denniston >. Grey Lynn Eureka Melrose • Seig Wellington .. Mastorton .. Lower Hutt Auckland .. Napier Garterton .. Palmerston N. Wanganui .. Brunnerton.. Blenheim .. Wellington .. Petone Levin Otaki Hawera Johnsonville Takaka N. Plymouth Paeroa Waihi Keefton Waikino .. Auckland .. Pahiatua .. Wellington .. Karangahake Dannevirke Shannon Upper Hutt.. Inglewood .. Eketabuna .. Devonport .. Wakefleld .. Whangarei .. Dunollie Auckland Weatport Ahaura Motupiko .. Auckland Millerton Grey town N. Stratford Wellington .. Blackball .. Motueka Hamilton .. Nelson Creek Island Bay .. Denniston .. Grey Lynn .. Hastings Kilbirnie Upper Moutere 1879 1880 1880 1882 1882 1883 1883 1883 1883 1884 1886 1886 1895 1895 1895 1895 1895 1896 1896 1897 1897 1899 1900 1902 1902 1902 1903 1903 1903 1903 1904 1904 1905 1905 1905 1905 1905 1905 1905 1905 1905 1900 1906 1906 1906 1906 1906 1906 1906 1906 1907 1907 1907 1907 595 179 106 332 235 164 380 254 136 125 540 163 84 60 79 47 104 172 98 116 218 112 99 42 162 74 119 58 67 92 67 164 100 51 88 123 97 18 78 58 91 40 45 60 49 74 68 33 55 86 47 43 33 25 10,177 3 1 5,711 1 10 702 17 7 1,299 15 7 1,841 12 6 926 0 8 1,106 11 5 1,709 0 10 3,143 10 8 1,100 15 11 745 11 6 3,530 19 4 1,497 6 11 532 17 2 413 6 1 477 13 5 463 2 9 333 2 1 1,087 15 10 057 4 5 213 9 8 575 15 6 499 2 1 200 1 10 166 9 4 390 12 11 225 13 8 366 6 10 168 18 6 182 10 6 342 0 5 133 1 2 364 15 0 237 2 5 95 7 7 233 7 7 204 15 8 254 9 5 81 9 8 278 6 9 123 2 9 129 18 1 64 4 1 72 14 6 57 13 6 96 18 0 232 18 7 88 3 8 79 10 6 100 19 3 61 16 7 68 16 3 37 17 4 30 3 5 44 15 1 10,177 3 1 5,401 2 11 502 2 8 1,246 8 11 1,643 5 10 846 10 3 870 14 0 1,595 13 7 2,570 9 2 978 4 11 719 3 11 3,074 13 1 1,332 0 0 416 19 9 360 6 8 450 13 4 406 4 0 '2(11 3 6 1,018 11 4 525 19 5 150 2 3 444 18 9 391 15 0 159 13 3 151 2 1 328 18 3 180 7 7 298 18 9 151 3 8 150 15 1 265 17 9 117 1 6 248 2 3 '205 5 1 85 6 1 195 5 5 168 12 10 231 4 1 47 2 3 209 17 4 98 9 2 114 15 8 35 14 5 63 1 11 57 13 6 55 5 9 153 5 2 82 10 3 66 9 11 73 4 3 33 14 9 38 12 3 28 16 7 17 19 8 19 13 10 309 18 11 200 14 11 53 6 8 198 6 8 79 10 5 235 17 5 113 7 3 573 1 6 122 11 0 26 7 7 456 6 3 165 6 11 115 17 5 52 19 5 27 0 1 56 18 9 71 18 7 69 4 6 31 5 0 63 7 5 130 16 9 107 7 1 40 8 7 15 7 3 61 14 8 45 6 1 67 8 1 17 14 10 31 15 5 76 2 8 15 19 8 116 12 9 31 17 4 10 1 6 38 2 2 36 2 10 23 5 4 34 7 5 68 9 5 24 13 7 15 2 5 28 9 8 9 12 7 - 1-44 - 9-07 - 3-61 -1019 - 7-62 - 5-37 - 1-41 + 0-26 - 747 - 5-33 - 7-53 - 7-31 - 8-76 - 675 - 6-23 - b'-59 41 12 3 79 13 5 5 13 5 13 0 7 27 15 0 28 1 10 30 4 0 9 0 9 12 3 9 25 1 3 Total • • 6,605 43,860 17 8 39,518 6 8 4,342 11 0

H.—l

36

TABLE I.—Membership and Funds — continued.

Nami: of Socikty and Branch. Place of Establishment. 111 H Total Worth. Sick and Funeral Fund, including Surplus. Management and other Funds, (ioods, &c. Surplus or Deficiency per Member at Last Valuation. U.A.O.D.— continued. Wand Lodge of Canterbury — Central Body Pioneer Lodgo .. Hopo of St. Albans Mistletoe Oak of Sydonham Ethelbert Lyttelton Hearts of Oak „ Star of Anglesea Perseverance Hopo of Amberley Anchor Bud of Hope Ohoka . . ■ Timaru Trafalgar Star of Ashburton Old Oak . .. Ivy of Linwood Elle8mere Olive Branch Lily of Burwood Ivy » Sucoess of Ashburton Ohristchurch * St. Albans .. Ohristchurch Sydenham .. Springston .. Lyttelton .. Lincoln Addington .. Amberloy .. Woolston liangiora Ohoka Timaru Kaiapoi Ashburton .. Southbridgc Linwood Doyleston .. Hornby Burwood Waimate Ashburton .. 1875 1879 1879 1S79 1880 1880 1880 1880 1880 1880 1880 1882 1882 1882 1883 1883 1888 1895 1897 1902 1903 1904 258 131 203 188 67 104 67 119 60 157 97 31 331 62 172 57 114 28 28 42 71 21 £ s. d. 8,504 10 0 5,114 4 7 '2, '247 8 2 1,899 6 1 3,219 18 11 716 14 4 990 1 10 1,524 15 2 775 0 8 400 14 7 1,324 3 6 1,171 2 3 439 13 2 3,612 19 8 352 13 7 1,801 7 5 542 5 0 695 8 5 235 2 10 145 18 3 82 12 9 233 1 1 43 18 3 £ s. d. 8,222 15 6 5,039 11 0 2,128 2 7 1,828 5 5 2 ,997 14 6 658 11 4 909 17 7 1,466 1 5 739 2 10 380 9 11 1,267 11 5 947 19 9 438 2 5 3,424 4 1 342 13 6 1,681 8 10 489 3 11 670 5 3 194 3 2 140 13 1 50 14 3 169 19 0 43 18 3 £ s. d. 281 14 6 74 13 7 119 5 7 71 0 8 222 4 5 58 3 0 80 4 3 58 13 9 35 17 10 20 4 8 56 12 1 223 2 6 1 10 9 188 15 7 10 0 1 119 18 7 53 1 1 25 3 2 40 19 8 5 5 2 31 18 6 63 2 1 £ - 6-84 - 4-99 - 808 -11-18 -1304 -11-12 - 507 -13-35 -11-12 -10-91 -11-57 - 7-84 - 8-27 -12-85 - 8-65 - 11-54 - 8-22 -10-34 -1018 Total 2,408 36,073 0 6 34,231 9 0 1,841 11 6 hrand Lodge of Otago and Southland — Central Body Otago Lodge Enterprise Ivanhoe Koyal Oak Acorn Linden West Harbour Endeavour Good Intent Rose of Palmerston (lore Lily of the Valley Oraka St. Patrick's Pride of Mornington . Star of Tuapeka Star of Duntroan Bay Hampden Dunedin S. Dunedin .. N. Dunedin.. Caversham .. Invercargill.. Roslyn Rothesay Oamaru Mosgiel Palmerston S. Gore N.Dunedin.. Colao Bay .. Waikouaiti .. Mornington.. Lawrence .. Duntroon .. Dunedin Hampden .. 1880 1880 L880 1881 1881 1883 1883 1884 1885 1886 1889 1893 1899 18'J'J 1900 1902 1904 1905 1905 S201 210 267 171 288 78 101 245 121 102 115 81 44 65 54 98 71 41 60 4,307 3 7 2,808 5 10 2,242 18 6 2,852 7 1 944 10 4 2,814 15 11 1,229 7 3 1,146 7 8 1,746 11 8 1,289 36 9 1,063 10 9 524 1 0 375 6 0 219 3 2 201 12 3 201 4 9 317 5 1 102 11 4 47 6 0 117 15 9 3,936 2 6 2,597 11 6 2,120 4 0 2,640 17 7 848 17 5 2,391 7 8 1,151 2 1 1,078 7 5 1,697 5 9 1,234 17 7 950 3 5 475 1 11 300 1 10 168 2 3 146 12 7 200 9 5 277 12 4 26 15 11 21 0 6 89 18 5 371 1 1 210 14 4 122 14 6 211 9 6 95 12 11 423 8 3 78 5 2 67 19 10 149 5 11 54 19 2 113 7 4 48 19 1 75 4 2 51 0 11 54 19 8 0 15 4 39 12 9 75 15 5 26 5 6 27 17 4 - 315 -12 66 - 4-90 -15-39 - 7-83 - 784 - 4-63 -11-57 - 2-43 - 6-38 - 8-67 - 7-62 - 7-87 - 752 - 7 81 - 8 36 Total 2,413 24,552 0 3 22,252 12 1 2,299 8 2 - 8-42 iodgc separately registered — All Nations Lodge Port Chalmers 1883 - 3-07 146 1,555 2 1 1,385 0 10 170 1 3 Total of Order 11,572 106,041 0 0 97,387 8 7 8,653 11 11 I.O.R. few Zealand District — Central Body Hopo of Auckland Tent Star of Hauraki „ Eden Northern Star Gordon Whangaroa Advance Mahurangi Homeguard Tent .. Auckland • • • Thames Newmarket.. Aratapu Onehunga .. Whangaroa.. Waihi Warkworth .. 1863 1870 1874 1881 1885 1886 1899 1902 254 70 41 18 38 21 40 27 10,748 12 1 1,908 3 8 2,258 18 0 1,716 16 2 15 15 4 224 5 9 23 11 11 17 4 7 36 0 6 10,541 19 9 1,756 19 3 2,238 11 7 1,711 8 6 14 8 1 195 13 9 3 9 2 5 12 6 10 14 5 206 12 4 151 4 5 20 6 5 5 7 8 17 3 28 12 0 20 2 9 11 12 1 25 6 1 + 4-60 + 373 + 14-06 + 5-36 + 6-25 -12-53 - 2-30 + 0-62 Total 16,949 8 0 16,478 17 0 470 11 0 lew Zealand Central District — Central Body Hope of Wellington Tent Hope of Napier Perseverance Haste to the Rescue Bud of Promise Unity Excelsior , Hope of Dunedin Pride of Christchureh „ Wellington .. Napier Wellington .. 1866 1870 1872 1872 1874 1875 1875 1876 1877 9 154 31 44 27 132 133 57 203 226 11,198 14 5 7,449 4 5 396 8 8 1,087 13 0 644 3 6 2,806 0 8 1,136 16 0 1,172 1 3 2,291 17 8 2,330 2 10 10,778 4 5 7,386 9 1 396 6 1 1 079 4 5 618 7 6 2,784 17 4 1,039 11 10 1,117 7 2 2,199 1 11 2,322 16 4 420 10 0 62 15 4 0 2 7 8 8 7 25 16 0 21 3 4 97 4 2 54 14 1 92 15 9 7 6 6 + 16-2 -10-3 - 3-4 + 22-5 ■t 10-S - 9-2 . - 4-9 - 8-8 - 7-6 n ' • Nelson New Plymouth Wellington .. Dunedin Christchurch

37

H.—l

TABLE I.—Membership and Funds— continued.

Name op Socikty ami Kuakch. Place of l'NIalilisliiiicnt. ■oSg 8 8m Sick and tow woru,. F, s!,!;;:r'' Surplus. Management and other Funds, Goods, &c. Surplus or Deficiency per Member at Last Valuation. I.O.R.— continued. New Zealand Central District — continued. Soandia's Hope Tent .. Murihiku Hopo of Ormomlville Hope of Woodville „ Masterton Hope of Carterton Star of Wakofleld Rescue Onward Gisborne Pride of Egmont Brightwater Pahiatua Lily of the South Wai Aroha Moa New Century i Waingongoro Star of Petone Oroua Hope of Wanganui Kia Ora ... Norsowood .. Invercargill.. Ormondville Woodville .. Masterton .. Carterton .. Wakefield .. j Nelson Palmerston N. Gisborne Hawera Brightwater Pahiatua .. Invercargill.. Stratford .. Inglewood .. Levin Cardiff Petone Feilding Wanganui .. Hastings 1877 1877 1878 1878 1881 1883 1883 1886 1891 1892 1893 1894 1894 1895 1898 1899 1901 1901 1904 1905 1906 1907 1877 1877 1878 1878 1881 1883 1883 188G 1891 1892 1893 1894 1894 1895 1898 1899 1901 1901 1904 1905 1906 1907 9 129 32 17 68 45 55 28 29 42 22 19 11 45 8 17 23 16 21 2 11 14 £ s. d. 244 15 10 2,723 2 11 410 13 11 705 2 5 579 8 8 652 15 8 826 19 4 67 6 B 275 3 3 326 1 5 222 1 10 92 3 6 56 17 8 111 9 1 90 11 1 14 14 3 87 10 10 47 9 4 25 9 8 6 6 5 16 16 5 8 8 4 £ s. d. 236 3 2 2,673 2 11 364 14 10 701 14 9 577 7 8 619 17 5 815 0 10 56 13 0 265 1 11 301 5 0 220 5 5 88 15 11 56 17 8 96 16 1 89 14 11 9 14 4 81 6 3 35 16 9 23 10 7 6 6 5 16 12 0 5 4 10 £ s. d. 8 12 8 50 0 0 45 19 1 3 7 8 2 1 0 32 18 3 11 18 6 10 18 5 10 1 4 24 1G 5 1 16 6 3 7 7 £ -28-3 - 3-4 -18-8 - I-β -13-6 - 6-0 - 6-8 - 6-8 - 5-6 -171 -15-5 -17-4 -17-8 - 3-2 - 7-7 - 7-7 -170 -13-10 14 13 0 0 16 2 4 19 11 6 4 7 11 12 7 1 19 1 o"4 5 3 3 6 Total 1,679 38,104 10 8 37,064 8 9 1,040 1 11 - 4-99 Not in any District. Star of Hope Tent Hokitika 1869 1869 242 12 2 212 12 4 29 19 10 -16-73 v> Total of Order 2,200 55,296 10 10 53,755 18 1 1,540 12 9 S.D.T. National Divisionof New ZealandCentral Body Perseverance Division .. Resolution Excelsior Elim Helpmate Advance Sunbeam Hope of Sydonham . Sydenham .. Christchurch Rangiora Addington .. | St. Albans .. Ashburton .. Wellington .. Wanganui .. Sydenham .. ! 1872 1873 1885 1885 1886 1887 1888 1889 72 89 55 75 30 26 30 39 6,193 4 5 849 15 0 625 5 2 42 15 8 94 7 10 19 2 10 19 10 2 7 7 4 21 12 4 6,120 13 0 829 11 10 584 19 4 66 11 5 20 3 2 40 5 10 42 15 8 94 7 10 9 19 10 17 10 7 6 4 16 9 5 10 1 1 8 12 4 0 10 5 2 11 Total 416 7,873 0 9 7,565 1 6 307 19 3 - 6-93 Divisions separately registered — Antidote Division Progress Dunedin Kaiapoi 1871 1872 205 124 4,563 10 9 2,241 15 2 4,234 3 7 2,127 9 11 329 7 2 114 5 3 -11-30 - 2-29 Total 329 6,805 5 11 6,361 13 6 443 12 5 Total of Order 745 14,678 6 8 13,926 15 0 . 751 11 8 H.A.C.B.S. Netv Zealand District — Contral Body Charleston Branch Grahamstown „ St. Joseph's Auckland „ St. Patrick's Onehunga St. Joseph's St. John's St. Patrick's St. Michael's „ Our Lady of Perpetual Succour Branch St. Patrick's Branch St. Columbkille's Branch St. Patrick's St. Canice's St. Patrick's St. Patrick's St. Patrick's St. Ita's St. Mary's Auckland .. Charleston .. Thames Dunedin Auckland Christchurch Onehunga .. N. Plymouth Lees ton Lincoln Masterton .. Milton 1870 1870 1873 1873 1874 1874 1876 1882 1882 1886 1891 1870 1870 1873 1873 1874 1874 1876 1882 1882 1886 1891 12 52 255 211 176 49 29 34 27 44 30 7,249 8 9 56 10 1 51 19 6 2,008 1 6 3,169 1 4 1,552 3 10 78 14 0 91 17 8 439 4 9 298 6 8 326 15 4 93 16 10 6,530 4 9 30 12 10 0 6 4 1,489 3 4 2,376 12 8 1,392 2 0 38 0 8 62 6 2 358 10 3 238 6 0 290 11 0 68 1 4 719 4 0 25 17 3 51 13 2 518 18 2 792 8 8 1G0 1 10 40 13 4 29 11 6 80 14 6 60 0 8 36 4 4 25 15 6 -16-97 -12-22 -12-97 -11-89 -15-51 -17-48 -2114 -12-56 -11-18 Oamaru Denniston .. Waimate Westport .. Palmerston N. Reefton Ashburton .. Hawera Taihape 1891 1901 1901 1901 1903 1903 1904 1906 1906 1891 1901 1901 1901 1903 1903 1904 1906 1906 85 20 46 61 49 33 63 24 23 324 13 9 48 10 9 182 0 8 184 18 4 201 13 2 165 6 5 220 14 0 89 16 7 64 9 0 324 13 9 27 4 5 157 13 10 148 7 2 157 14 3 165 6 5 173 0 4 41 12 6 39 10 7 21 6 4 24 6 10 36 11 2 43 18 11 47 13 8 48 4 1 24 18 5 Total of Order 1,323 16,898 2 11 14,110 0 7 2,788 2 4

H.—l

38

TABLE I. —Membership and Funds— continued.

Nahk of Socikty and Branch. Place of Establishment. 8-° § m 1.8s I a o *2Q Total Worth. Sick and Funeral Fund, including Surplus. Management and other Funds, Goods, &c. Surplus or Deficiency per Member at Last Valuation. P.A.P.S.A. rand Council of New Zealand — Central Body Prince of Wales Lodge Excelsior „ Wickliffe John Knox „ Alexandra Triumph „ Valley True Blue » Star of Hastings Star of Oumn.ru St. Albans Queen's Own , Royal Standard Auckland .. Thames Green Island Napier Wellington .. Auckland .. S. Dunedin.. N.E. Valley.. Hastings Oamnru Auckland .. Christchureh Sydenham .. 1873 1876 1877 1879 1870 1883 1883 1883 1883 1896 1905 1905 71 91 29 68 71 147 62 33 118 37 116 41 £ 8. d. 7,507 10 0 795 5 3 714 3 9 788 12 7 1,032 12 11 835 9 8 1,320 7 11 310 0 10 317 2 8 1,357 3 1 417 19 8 461 15 2 80 13 9 £ b. d. 6,885 1 2 7G1 6 5 620 18 7 786 6 1 1,020 14 5 773 15 2 1,188 15 5 290 0 10 299 17 3 1,281 4 4 413 16 5 447 19 5 65 1 1 £ s. d. 622 8 10 33 18 10 93 5 2 2 6 6 11 18 6 61 14 6 192 12 6 20 0 0 17 5 5 75 18 9 4 3 3 13 15 9 15 12 8 £ - 2-91 -23-26 -13-67 -14-48 - 4-37 -15-30 -19-60 -17-12 - 833 -15-14 - 7-47 Total 884 15,944 17 3 14,779 16 7 1,165 0 8 -15-81 B.E.B.S. Otago K.E.B.S. .. Dunedin -13-89 1875 80 2,502 7 0 2,467 8 4 34 18 8 Grand Total 56,817 1,118,216 18 11 1,033,477 6 10 84,739 12 1

H.—l.

TABLE II.—Numerical Progress, Mortality, and Sickness for the Year 1907.

39

1 Number of Members Sickness Experience. Admitted by Left by Left by At Begin- At End ning of of Year. Year. Namk or Society and Branch. § a a dear's '3 2 ance S«a and £ "° -S Amalgao £ — mation. Total. n«a.th Clear- Arrears, ueatlJ - ance. &c. Total. Sick during Year. Total. „. . First Six Months. Second Six Months. After Twelve Months. Deaths of Registered Wives. Manchester Unity Independent Obdeb or Odd Fellows — New Zealand Branch — Auckland District Hawke's Bay „ New Plymouth „ Wanganui Wellington „ Nelson „ Motueka Hokitika Ashley „ Ashburton , 432 89 99 112 211 44 19 19 67 32 18 8 3 10 7 1 450 97 102 122 218 45 19 19 72 33 ■20 7 a ■2 17 6 1 1 3 1 13 7 3 11 1 2 186 60 45 117 114 29 7 9 49 28 219 74 56 130 132 37 8 10 56 30 3,094 1,316 777 1,076 1,981 849 473 184 1,077 486 3,325 1,339 823 1,068 2,067 857 484 193 1,093 489 797 232 117 204 351 210 124 46 279 93 Wks. ds. Wks. ds. 6,519 0 3,547 2 1,563 5 890 3 1,112 4 561 4 1,216 1 746 1 1,340 0 1,701 0 2,282 4 1,035 5 1,041 2 626 1 588 2 204 4 1,848 0 1,202 1 536 5 413 1 Wks. ds. 469 5 121 1 110 3 46 1 323 2 260 5 51 1 83 2 116 3 19 4 Wks. ds. 2,501 5 552 1 440 3 423 5 1,315 4 986 0 364 0 300 2 529 2 104 0 10 5 1 4 13 *5 1 3 4 2 2 4 1 Total— New Zealand Branches 1,124 j 53 1,177 66 i> 644 752 11,313 11,738 2,453 20,048 5 10,928 4 1,602 3 7,517 4 DIVISIONS SEPARATELY REGISTERED. Marlborough District North Westland North Canterbury „ Lyttelton „ South Canterbury » Otago Southland 15 50 135 30 56 354 184 1 1 6 1 3 30 9 16 51 141 3L 59 384 193 B 1 11 7 3 31 10 "2 12 12 29 86 20 15 141 87 20 32 112 27 20 192 115 175 382 1,882 534 443 4,069 1,469 171 401 1,911 538 482 4,261 1,547 45 104 413 148 99 704 246 576 2 8S1 3 2,874 2 1,232 3 710 4 7,3<J7 1 1,773 2 192 4 440 0 1,803 2 686 4 490 1 2,992 4 980 3 29 2 26 0 357 2 128 5 68 3 470 4 154 4 354 2 415 3 713 4 417 0 152 0 3,933 5 638 1 3 8 3 3 13 7 2 20 • 18 Total—Separately Registered .. 824 51 1,759 875 74 54 390 518 8,954 9,311 15,445 5 7,586 0 1,235 2 6,624 3 37 Total of Order 1,948 104 2,052 140 • 1,034 1,270 20,267 21,04<J 4,212 35,494 4 18,514 4 2,837 5 14,142 1 si Independent Obder of Odd Fellows — Grand Lodge of New Zealand 3,123 986 10 1,002 IS 85 240 293 3,832 558 3,066 1 2,256 1 224 0 586 0 National Independent Order op Odd Fellows — Auckland Provincial District 771 4 652 0 119 4 69 69 10 ■45 55 I 420 434 133 British United Order op Odd Fellows — Aorangi Lodge 15 15 ! 19 145 0 130 0 15 0 19 144 140 2'J 1 •• Ancient Order of Foresters — Auckland District Hawke's Bay Taranaki Wellington Nelson „ Canterbury United South Canterbury . United Otago , Court Coromandel 193 94 88 482 57 81 64 446 1 15 4 1 26 208 98 89 508 57 84 65 456 1 12 8 4 30 11 10 8 42 13 8 2 18 3 2 3 8 105 62 53 203 40 59 17 156 2 130 78 59 251 54 71 28 206 2 1,929 1,022 1,099 3,960 847 1,186 669 3,020 46 2,007 1,042 1,129 4,217 850 1,199 706 3,270 45 472 210 217 809 222 237 134 594 14 3,516 5 1,671 0 1,092 0 5,635 3 1,868 4 1,875 4 1,038 4 5,553 2 100 5 2,160 5 1,027 4 962 1 3,497 4 973 1 1,081 4 523 5 2,697 5 48 5 322 4 123 2 16 2 300 0 97 3 121 1 112 2 426 3 1,033 2 520 0 113 3 1,837 5 798 0 672 5 402 3 2,429 0 52 0 9 7 3 23 5 9 6 9 3 1 10 .. Total of Order 1,506 1,566 125 57 697 879 13,778 14,465 2,909 22,352 3 12,973 4 1,519 5 7,859 0 71

H.—l.

TABLE II.—Numerical Progress, Mortality, and Sickness— continued.

40

Number of Members Sickness Experience. Admitted by Left by Death of Registered Wives. Nam* or Socibtt! and Branch. |i| Clear■:ij ance <S5 I and 2 "3! Amalgao 5 3 mat ion. Total. Clearance. Arrears, Ac. Total. At Beginning of Year. At End of Year. Sick during Year. Total. First Six Months. Second Six Months. After Twelve Months. Death. Ancient Order op Shepheeds — Total A.O.S. 14 14 SO 98 89 Wks. ds. 279 0 Wks. ds. 124 0 Wks. ds. Wks. ds. 155 0 United Ancient Ordeb of Druids — Grand Lodge of the North Island Grand Lodge of Canterbury Grand Lodge of Otago and Southland Lodges separately registered 1,812 i 331 408 25 ! 98 27 30 5 1,910 358 438 30 23 15 12 118 32 43 2 487 165 176 7 628 212 231 9 5,323 2,262 2,206 125 6,605 2,408 2,413 146 1,044 526 398 29 4,474 4 3,183 3 2,409 4 66 5 3,931 0 2,031 4 1,718 0 66 5 180 4 254 5 176 0 363 0 897 0 515 4 11 13 10 .. Total of Order 2,576 160 1,775 4 2,736 195 835 1,080 9,916 11,572 1,997 10,134 4 7,747 3 611 3 34 Independent Order of Rechabites — New Zealand District New Zealand Central District Star of Hope Tent 41 212 12 M 53 246 8 7 1 10 19 30 119 43 145 1 499 1,578 13 509 1,679 12 109 290 4 817 4 2,079 1 81 2 431 3 1,536 3 31 2 26 2 221 0 2 0 359 5 321 4 48 0 3 4 1 J Total of Order 253 40 299 11 149 189 2,090 2,200 403 I 2,978 1 1,999 2 249 2 729 3 Sons and Daughters of Temperance — National Division of New Zealand Divisions separately registered 34 ■21 3 27 21 a 4 3 10 17 16 21 405 329 416 329 Gl 80 648 0 771 0 407 2 415 0 58 2 60 0 182 2 296 0 1 8 Total of Order 734 1,419 0 I 45 18 27 37 745 141 822 2 118 2 478 2 Hibernian Australasian Catholic Benefit Society — New Zealand District 206 M 230 10 30 176 216 1,309 1,323 249 1,900 1 976 5 140 5 782 3 Protestant Alliance Friendly Society of Australasia — Grand Council of New Zealand 72 5 77 36 46 853 884 180 1,655 1 816 4 139 5 698 4 Railway Employees' Benefit Societies — Total R.E.B.S. 1 • * 6 4(i 1,003 1 241 1 137 0 625 0 Grand Total 385 7,690 418 8,108 447 3,265 4,097 52,806 56,817 110,896 81,199 2 47,254 2 6,113 1 27,831 5 217

H.—l.

TABLE III.—Sick and Funeral Funds.—Receipts and Expenditure for the Year 1907.

41

Namk op Society and Branch. a !H m - ieoelpte. O « { 2 I?! III o S ; hi ll ill 1*1 £| Ml Expenditure. i 11 X H I f 1 k •Be; si o a> ac o> <:q M.U.I.O.O.F. N.Z. Branch, Central Body .. Auckland District Hawke's Bay „ New Plymouth Wanganui Wellington Nelson Motueka Hokitika Ashley Ashburton £ £ £ £ £ £ £ £ £ £ £ £ 6,381 2,372 1,314 1,605 2,8(13 1,405 730 227 1,660 885! 3,374 1,504 757] 758i 2,423 1,162 456 253 860! 474 J 756 100 260 I 60 i 425 163 3 5,446 682 24 1,106 l'JO 256 831 260 167 991 80| 91 2,282 440 521 1,477 .. 82] 801 54 S3 345 60 206 1,380 120 256 469 50 1:11 807 j ■.17 12 10,511 6,959 4,139 1,552 2,334 1,305 2,423 1,174 I 5,884 3,243 ' 2,776 1,798 1,204 884 692 611 2,877 1,756 1,489 650 73,034 31,573 19,250 17,464 54,880 26,520 11,171 5,561 21,210 11,292 148 209; "2 I 1 ie i 180 1 110 I 80 30 247' 50 7 Total N.Z. Branches .. 19,472 2 12,021 1,989 845 15,128 1.93C. L.998 878 34,329 19,932 271,955 DIVISIONS SEPARATELY REGISTERED. Marlborough District North Westland North Canterbury „ Lyttelton South Canterbury . Otago Southland , 195 569 2,846 935 793 6,332 2,Hi' 13,844 1 - : : -i 2 248 383 751 1,48L 786 315! 4,324 971 10 54 430 220 80 720 260 116 16 344 .. 64 614 54 2,111 470 431 926 220 210 ' 588 851 37 4,973 710 910 1,349 260 331 10,905 1,799 1,983 26,033 3,735 8,978 54 470 220 ! 85 710; 260 85 51 125 1 43 588 1,490 4,773 1,912 1,198 11,897 4,075 493 722 3,137 1,867 753 6,652 1,940 15,054 7,862 11,478 35,60(i 14,878 7,383 103,386 24,461 205,054 8 273 666 Total separately registered I 255 B,98l| [1,774 3,763 1,079 1,924 1,799 367 25,933 Total of Order 33,316 257 21,002 3,735 1,240 00,262 34,986 477,009 I.O.O.F. Grand Lodge of New Zealand 5,160 2,242 560 871 2,464 560 1,205 560 8,833 4,229 85,699 N.I.O.O.F. Auckland Provincial District.. £40 126 196 710 196 90 196 128 862 1,124 4,226 B.U.O.O.F. Aorangi Lodge 165 4 105 136 12 .. 12 274 148 2,086 A.O.F. Auckland District Hawke's Bay Taranaki Wellington Nelson Canterbury United „ South Canterbury United Otago Court Coromandel 2,753 1,531 1,457 5,578 1,213 1,601 902 4,274 65 2 17 6 22 1,390 1,381 914 2,836 957 1,458 569 2,567 27 330 230 150 1,585 320 365 172 855 1,180 156 76 544 4 5 IOC 32 2,755 330 a>7 1,333 270 444 <J31 125' 222 4,012 1,595 1,544 1,310 365' 203: 1,268 365 366| 651 242 1 137 3,151 855 782 55 330 270 125| 1,595! 365' 365 242 1 855 171 60 11 2 104 15 36 81 5,653 3,298 2,597 10,545 ■2,511 3,435 1,765 7,728 93 3,463 2,107 1,289 7,153 1,982 2,044 1,066 4,869 55 36,144 28,181 19,796 65,403 20,551 32,001 11,528 54,418 1,218 1 Total of Order 19,374 48 12,099 4,007 2,097 15,466 4,147 8,908 4,147 510 37,625 24,028 269,235 A.O.S. Total A.O.S. 103 51 8 117 157 117 1,207 ■ U.A.O.D. Grand Lodge of the North Island Grand Lodge of Canterbury .. Grand Lodge of Otago and Southland Lodges separately registered .. 8,327 3,142 3,134 2 52 3 1,681 1,586 959 375 520 350 1,042 176 372 3,887 375 1,545 2,369 500 696 1,'J24 370 546 375 500' 370 12,027 5,476 4,818 5,807 3,565 2,840 39,518 34,232 22,214 201 59 67 35 260 102 1,385 Total of Order 14,804 57 4,285 1,245; 2,190 8,247 1,245 2,822 1,245 22,581 12,3L 97,349 I.O.B. New Zealand District New Zealand Central District Star of Hope Tent .. 763 1,933 19 794 1,975 18 62 230i 52 95 I 489 542 98 123 1,683 230 :tll 44 52 6 96 230 52 482 1,704 4,627 84 76; 2,70! 10: 16,479 36,545 213 Total of Order 2,715 2,782 334 584 2,269 380 443 380 482 6,415 3,574 53,237 S.D.T. National Division of New Zeal'd Divisions separately registered 629 433 "3 349 363 75 379 437 75 401 444 90 75 90 1,432 799 913 534 7,565 6,345 Total of Order 1,062 3 712 75 379 881 165 401 165 2,231 1,447 13,910 H.A.C.B.S. New Zealand District 1,625 37 589 176 21 1,232 190 333 190 2,448 1,755 13,924 P.A.F.S.A. Grand Council of New Zealand 1,329 11 652 815 1,030 315 313 315 1,658 14,734 SS 2,395 R.E.B.S. Total of R.E.B. Societies 159 354 140 140 111 159 605 2,468 Grand Total 80,352 417 44,645 10671 8,157 58,93911,08513,490 11,085 2,471 14424! 85,985 1005084

H.—l.

TABLE IV.—Medical and Management Expenses Funds.—Receipts and Expenditure for the Year 1907.

42

Name of Society and Branch. Cβ teceipte. § - « a I« B 1-4 5'S O ® Expenditure. |I S Si ft j d *s M 3 0 ti a s M Ed I •a a h ii =>• % a M.U.I.O.O.F. N.Z. Branch, Central Body .. Auckland District Hawke'e Bay New Plymouth Wanganui. Wellington Nelson Motueka Hokitika „ Ashley „ Ashburton , £ 4,509 1,848 1,481 1,351 2,626 1,004 595 381 1,139 580 £ 201 131 228 105 1 £ 26 94 52 63 64 28 47 £ 2,755 1,401 978 999 1,830 597 434 203 715 337 £ 1,258 560 315 490 712 296 111 112 254 149 £ 382 146 174 160 176 127 68 23 141 60 £ 219 1 663 67 21 4 9 6 1 £ 26 4,804 2,031 1,544 1,643 2,759 1,052 595 382 1,152 615 £ 4,614 2,107 1,468 2,312 2,785 1,041 617 347 1,110 547 £ 303 5,641 506 286 5,210 1,553 203 164 107 343 203 "8 18 1 5 22 Total N.Z. Branohes 10,249 4,257 1,457 991 16,603 16,954 14,519 15,514 687 402 DIVISIONS SEPARATELY EEQISTEBED. Marlborough District North Westland North Canterbury „ Lyttelton South Canterbury „ Otago Southland 325 693 2,306 537 761 6,366 2,212 iil 8 211 7 2 75 41 7 188 386 1,659 320 619 4,204 1,577 90 279 565 172 185 1,669 375 26 57 227 68 6 217 171 4 42 14 5 107 21 327 768 2,488 545 769 6,637 2,258 304 726 2,493 574 815 6,197 2,144 18,268 4 71 3,695 94 183 6,946 603 60 39 Total separately registered 772 193 13,792 11,596 13,200 368 224 8,953 3,335 Total of Order 28,714 1,055 626 19,202 7,592 2,229 1,184 30,395 30,207 26,115 I.O.O.F. Grand Lodge of New Zealand 5,178 SS 254 3,184 1,381 593 138 5,520 5,296 2,338 N.I.O.O.P. Auckland Provincial District.. 348 561 146 ■2-2 1() 561 ;V20 374 B.U.O.O.P. Aorangi Lodge 59 195 124 195 186 A.O.F. Auckland District Hawke's Bay „ Taranaki Wellington Nelson „ Canterbury United „ South Canterbury „ United Otago Court Coromandel 2,994 1,833 1,455 6,022 1,313 1,510 'J94 4,715 61 32 1 15 15 12 45 36 29 107 6 49 13 76 1,876 1,319 982 3,948 918 1,090 731 3,159 31 847 420 357 1,768 342 357 173 1,252 26 252 99 108 276 68 99 71 313 38 68 9 344 47 6 146 74 7 3,071 1,870 1,484 6,144 1,334 1,571 1,007 4,921 74 3,013 1,906 1,456 6,336 1,375 1,552 1,121 4,798 64 1,140 117 297 2,264 730 633 356 2,527 159 130 13 Total of Order 20,897 218 361 14,054 5,542 1,286 739 21,476 8,223 21,621 A.O.S. Total A.O.S. 31 35 32 86 'J U.A.O.D. Grand Lodge of the North Island Grand Lodge of Canterbury .. Grand Lodge of Otago and Southland Lodges separately registered .. 8,923 8,868 3,928 80 89 50 111 26 101 5,134 2,458 2,427 2,533 1,110 966 530 255 263 463 45 195 9,064 3,923 4,079 8,660 3,868 3,851 2,887 1,033 1,014 229 4 156 66 15 1 233 238 88 Total of Order 16,938 119 242 10,175 4,675 1,063 704 17,299 16,617 5,022 I.O.R. New Zealand District New Zealand Central District Star of Hopo Tent 764 2,343 15 6 L9 3 21 414 1,323 229 645 12 91 341 1 42 101 773 2,376 15 776 2,410 13 209 469 23 Total of Order 3,122 18 U 1,737 886 433 143 3,164 3,199 701 S.D.T. National Division of New Zeal'd Divisions separately registered 530 344 5 319 224 122 91 77 8 535 344 526 315 80 427 Total of Order 874 543 213 77 879 841 507 H.A.C.B.S. New Zealand District 1,934 Lβ 77 1,246 588 152 68 2,026 2,039 1,480 P.A.F.S.A. Grand Council of New Zealand 1,315 11 10 782 343 179 39 1,336 1,333 338 R.E.B.S. Total R.E.B. Societies 84 133 50 133 134 ■2i Grand Total 51,479 79,892 1, r>24 1,600 21,511 6,035 3,009 83,016 82.034 45,190

H.—l.

TABLE V.—Disposition of Funds as on the 31st December, 1907.

43

Name op Society and Bbanch. Total. Investment,, I ™™ d °' Interest. , Buifdlngs Cash not bearing Interest. Value of Goods, Furniture, and Regalia. Other Assets. M.U.I.O.O.P. N.Z. Branch, Central Body Auckland District Hawke's Bay New Plymouth Wanganui Wellington „ Nelson » Motueka Hokitika Ashley , Ashburton £ 303 81,781 36,314 19,811 23,310 61,070 33,296 14,592 5,684 22,574 11,662 £ 303 81,781 36,314 19,811 23,310 61,070 33,296 14,592 5,684 22,574 11,662 £ £ 250 50,131 27,465 28,084 6,288 17,368 1,765 11,471 11,102 35,615 23,431 31,676 1,096 13,096 975 5,036 569 19,138 ! 2,858 8,458 ! 2,455 £ 53 2,582 1,762 610 231 1,709 394 351 58 352 651 £ £ 895 79 50 429 232 76 43 15 177 78 708 101 18 77 83 54 127 6 49 20 Total New Zealand Branches .. 310,397 220,323 78,004 8,753 2,074 1,243 DIVISIONS SEPARATELY REGISTERED. Marlborough District North Westland North Canterbury Lyttelton „ South Canterbury Otago , Southland 10,220 12,067 40,123 16,417 7,592 121,239 26,869 9,610 10,169 33,423 14,633 5,196 109,340 24,195 290 1,050 4,560 1,100 1,642 7,302 915 235 777 1,514 440 638 3,008 1,048 47 14 308 66 38 57 318 178 116 1,083 340 506 371 Total separately registered 234,527 206,566 16,859 7,660 1,312 2,130 Total of Order 544,924 426,889 94,863 16,413 3,386 3,373 I.O.O.F. Grand Lodge of New Zealand 63,149 52,620 5,156 2,735 779 1,859 N.I.O.O.P. Auckland Provincial District 4,701 4,069 392 122 118 B.U.O.O.P. Aorangi Lodge 2,214 2,166 L8 10 A.O.P. Auckland District Hawke's Bay „ Taranaki „ Wellington Nelson Canterbury United „ South Canterbury United Otago Court Coromandel 38,422 28,932 20,358 72,512 21,405 33,949 11,982 61,684 1,377 30,762 23,560 18,446 55,429 18,982 30,361 9,954 56,252 538 5,765 2,921 1,275 12,155 775 1,450 1,667 2,031 670 988 1,513 498 2,996 1,535 1,557 136 2,579 21 852 232 122 1,394 113 325 225 557 148 55 706 17 538 256 265 Total of Order 290,621 244,284 28,709 11,823 3,968 1,837 A.O.S. Total A.O.S. 1,247 1,196 35 Iβ U.A.O.D. Grand Lodge of the North Island Grand Lodge of Canterbury Grand Lodge of Otago and Southland Lodges separately registered 43,861 36,073 24,552 1,555 33,033 33,432 20,257 875 5,568 1,241 1,892 598 4,255 784 1,209 739 430 867 82 266 186 327 Total of Order 106,041 87,597 9,299 6,248 2,118 779 I.O.R. New Zealand District .. ... New Zealand Central District Star of Hope Tent 16,950 38,104 243 16,516 34,254 236 2,191 339 1,535 81 28 7 34 101 Total of Order 55,297 51,006 2,191 1,874 '.)] 135 S.D.T. National Division of New Zealand Divisions separately registered 7,873 6,805 6,482 6,508 804 377 272 134 76 25 Total of Order 101 14,678 12,990 804 649 134 H.A.C.B.S. New Zealand District 16,898 13,169 1,782 1,033 553 361 P.A.P.S.A. Grand Council of New Zealand 337 15,945 14,184 723 579 122 R.E.B.S. Total of R.E.B. Societies.. 2,502 2,484 in Grand Total.. 1,118,217 912,654 143,527 41,807 11,524 8,705

44

H.—l

TABLE VI.—Investments at Interest as on the 31st December, 1907.

Deposited with Government and Municipal Debentures. Name of Society and Branch. Total. PoetOffice Bavins* Hank. Other Hunks. Mortgages on Freehold Property. Other Investments. M.U.I.O.O.F. New Zealand Branch, Central Body Auckland District Hawko's Bay » New Plymouth Wanganui , Wellington Nelson „ Motueka Hokitika Ashley „ Ashburton £ 250 .. 50,131 28,084 .. 17,368 .. 11,471 .. 35,615 .. 31,676 .. 13,096 5,036 19,138 8,458 £ 250 50,131 28,084 17,368 11,471 35,615 31,676 13,096 5,036 19,138 8,458 £ 250 4,298 637 684 1,392 1,657 1,152 90 705 1,871 678 £ 2,190 65 £ 42,593 26,947 15,969 10,079 30,555 19,624 12,106 3,178 16,917 5,920 £ 1,050 500 650 10i900 £ 3^403 900 1,153 350 "30 l^830 Total New Zealand Branches .. 220,323 220,323 13,414 6,138 183,888 13,450 3,433 DIVISIONS SEPARATELY REGISTKBED. Marlborough District North Westland North Canterbury „ Lyttelton South Canterbury . Otago Southland „ 9,610 10,169 .. 33,423 .. 14,633 5,196 •• 109,340 . 24,195 9,610 10,169 33,423 14,633 5,196 109,340 24,195 738 1,138 3,583 654 136 5,900 2,090 *372 8,872 9,031 28,990 12,789 5,060 96,379 12,902 850 818 403 2,054 8,800 *393 Total separately registered ■ 206,566 11,704 1,211 206,566 14,239 5,389 174,023 Total of Order ■■ 426,889 426,889 27,653 11,527 357,911 25,154 4,644 I.O.O.F. Grand Lodge of New Zealand 52,620 163 52,620 3,540 1,490 47,427 N.I.O.O.F. Auckland Provincial District 4,069 4,069 440 1,448 2,181 B.U.O.O.P. Aorangi Lodge .. 2,166 2,166 2,165 A.O.P. Auckland District Hawke's Bay „ Taranaki Wellington Nelson „ Canterbury United » South Canterbury United Otago Court Coromandel ■ • 30,762 23,560 18,446 •. 55,429 18,982 30,361 9,954 ■• 56,252 538 1,114 279 1,668 4,923 606 1,704 397 1,159 45 5,035 443 796 444 331 802 535 25 21,295 23,061 16,135 4H,5C1 12,932 27,494 8,755 53,828 468 3,318 220 200 700 4,900 449 100 832 400 330 Total of Order .. 244,284 11,895 8,411 212,529 9,738 1,711 A.O.S. Total A.O.S. 1,196 290 900 U.A.O.D. Grand Lodge of the North Island Grand Lodge of Canterbury Grand Lodge of Otago and Southland Lodges separately registered 33,033 33,432 20,257 875 4,115 3,361 2,043 1 3,407 221 137 23,346 29,693 15,879 874 2,100 1,800 65 157 398 Total of Order .. 87,597 9,520 3,765 69,792 3,900 620 I.O.R. New Zealand District New Zealand Central District Star of Hope Tent .. 16,516 .. 34,254 236 380 2,255 56 500 476 15,636 27,947 180 3,500 "76 Total of Order 51,006 2,691 976 43,763 3,500 Tli S.D.T. National Division of New Zealand Divisions separately registered 6,482 6,508 167 71 6,315 5,990 410 37 ; Total of Order .. ! 12,990 238 410 12,305 :s7 H.A.C.B.S. New Zealand District 13,169 1,120 790 10,967 292 P.A.P.S.A. Grand Council of New Zealand.. 14,184 37 995 1,500 11,632 ■>() R.E.B.S. Total of R.E.B. Societies 2,484 178 2,306 Grand Total .. 912,654 i 7,580 58,567 30,317 773,878 42,312

45

H.—l

TABLE VII. Isolated Friendly Societies.

Approximate Com of Paper. -Preparation not given ; printing, (2,500 copies), £51 Oβ. 6d.

Authority : John Mackay, Government Printer, Wellington.—l9oB.

Price, 2s.]

Beg. No. Name of Society. Place of Establishment. Year of Establishment. Number of Members on 31 Dec, 1907. Amount of Funds at End of Year. i i Wellington Brunnerton Denniston 1849 1881 1891 24 183 277 279 293 307 310 818 816 319 322 323 324 24 183 277 Wellington Distriot M.U. Widow and Orphan Society Grey Valley Accident Relief Fund Denniston Collieries' Medical and Accident Relief Association United Fire-brigades' Accident Assurance Society of New Zealand Blackball Colliery Accident Relief Fund Sooiety Millerton Colliery Medical and Accident Relief Association New Zealand Collieries, Railway, and Oil Syndicate Employees' Benefit Society Auckland United Friendly Sooieties' Dispensary Auckland United Friendly Societies' Medical Institute Christchurch United Friendly Societies' Dispensary Auckland Tramways Sick and Accident Friendly Sooiety Point Elizabeth Acoident Relief Fund Waihi United Friendly Societies' Hospital Conference 64 210 £ s. d. 2,486 2 6 183 12 5 1,703 1 1 279 Napier .. 1891 1,344 1,323 16 1 293 307 Blackball Millerton 1894 1899 128 442 1,072 15 3 456 8 2 310 Kaitangata Auckland Auckland Christchurch Auckland 1887 1903 1903 1904 1905 220 264 4 2 313 316 319 322 3,125 947 5 9 738 15 5 1,527 18 7 219 9 3 3,147 239 323 324 Runanga Waihi .. 1904 1904 314 283 182 11 8 42 17 10 Total .. 9,516 11,148 18 2 Juvenile Frien: >ly Societies. 188 I Court Pride of the Forest, A.O.F. 190 Court Pride of Invercargill, A.O.F. 103 Kaiapoi Lodge, M.U.I.O.O.F. 114 Court Pride of Napier, A.O.F. Total .. Dunedin Invercargill Kaiapoi .. I Napier .. 1893 1894 1897 1903 74 24 27 £ s. d. 25 9 6 29 15 4 59 7 3 467 13 2 158 582 5 3 WOHKING-ME ;'s Clubs. L86 South Wairarapa Working-men's Club !02 Club Garibaldi .. i09 Sydenham and Addington Working-men's Club and Mutual School of Arts 116 Auckland Working-men's Club and Mechanics' Institute 181 Kaiapoi Working-men's Club !38 Petone Working-men's Club and Literary Institute .. !64 Richmond Working-men's Club .. !67 Palmerston North Working men's Club and Literary Institute !72 Blenheim Working-men's Club !05 Oxford Working-men's Club !09 Napier Working-men's Club 118 North Island Brass Bands Association 186 KM) ill!) I Greytown Wellington .. | Sydenham 1878 1882 1884 250 53 297 £ s. d. 1,264 3 2 157 13 5 2,378 6 7 US Auckland 1879 362 4,650 18 2 181 138 MM !G7 Kaiapoi Petone Richmond Palmerston N. .. 1885 1887 1889 1899 460 428 204 712 1,737 6 11 2,961 8 4 1,638 18 10 2,810 16 1 '.1-1 id.". ton )1S Blenheim East Oxford .. i Napier Palmerston N. .. 1888 1887 1877 1902 301 206 1,139 72 388 19 6 882 17 2 7,364 3 5 127 13 3 Total .. 4,484 26,363 5 1 " Specially Authorised Societies. !23 Invercargill United Friendly Societies' Dispensary .. Invercargill !29 Sydenham and Suburban Co-operative Money Club .. Sydenham !41 New Zealand Friendly Societies' Guarantee Associa- Wellington tion !42 Dunedin United Friendly Societies' Dispensary .. Dunedin !46 Lyttelton United Friendly Societies' Dispensary .. Lyttelton 101 New Zealand Foresters' Guarantee Association .. Christchurch 168 Stanmore Brass Band .. .. .. .. Richmond !75 Ivy of Linwood Co-operative Money Club .. .. Christchurch !83 Hawke's Bay United Friendly Societies' Dispensary Napier 184 Christchurch and St. Albans Co-operative Money Clu: Chrictchurch !85 Westport City Band Society .. .. .. Westport !!I4 Wellington United Friendly Societies'Dispensary .. Wellington 1884 1885 1889 1887 1886 1886 1883 1889 1892 1892 1893 1901 £ s. d. 2,283 17 3 1,594 45,639 15 0 1,347 14 5 5,091 8,920 17 2 335 344 12 5 836 3 11 29 355 17 6 307 6,064 13 7 823 663 18 1 704 25,177 17 7 65 331 2 5 3,152 1,759 10 5 Total 12,100 i 93,725 19 9

This report text was automatically generated and may include errors. View the full page to see report in its original form.I whakaputaina aunoatia ēnei kuputuhi pūrongo, e kitea ai pea ētahi hapa i roto. Tirohia te whārangi katoa kia kitea te āhuatanga taketake o te pūrongo.
Permanent link to this item
Hononga pūmau ki tēnei tūemi

https://paperspast.natlib.govt.nz/parliamentary/AJHR1908-I.2.5.2.1/1

Bibliographic details
Ngā taipitopito pukapuka

FRIENDLY SOCIETIES, TRADE UNIONS, AND UNCLASSIFIED SOCIETIES. (THIRTY-FIRST ANNUAL REPORT BY THE REGISTRAR OF FRIENDLY SOCIETIES, FOR THE YEAR ENDING 31st DECEMBER, 1907.), Appendix to the Journals of the House of Representatives, 1908 Session I, H-01

Word count
Tapeke kupu
33,658

FRIENDLY SOCIETIES, TRADE UNIONS, AND UNCLASSIFIED SOCIETIES. (THIRTY-FIRST ANNUAL REPORT BY THE REGISTRAR OF FRIENDLY SOCIETIES, FOR THE YEAR ENDING 31st DECEMBER, 1907.) Appendix to the Journals of the House of Representatives, 1908 Session I, H-01

FRIENDLY SOCIETIES, TRADE UNIONS, AND UNCLASSIFIED SOCIETIES. (THIRTY-FIRST ANNUAL REPORT BY THE REGISTRAR OF FRIENDLY SOCIETIES, FOR THE YEAR ENDING 31st DECEMBER, 1907.) Appendix to the Journals of the House of Representatives, 1908 Session I, H-01

Log in or create a Papers Past website account

Use your Papers Past website account to correct newspaper text.

By creating and using this account you agree to our terms of use.

Log in with RealMe®

If you’ve used a RealMe login somewhere else, you can use it here too. If you don’t already have a username and password, just click Log in and you can choose to create one.


Log in again to continue your work

Your session has expired.

Log in again with RealMe®


Alert