Page image
Page image
Page image
Page image
Page image
Page image
Page image
Page image
Page image
Page image
Page image
Page image
Page image
Page image
Page image
Page image
Page image
Page image
Page image
Page image

Pages 1-20 of 71

Pages 1-20 of 71

Page image
Page image
Page image
Page image
Page image
Page image
Page image
Page image
Page image
Page image
Page image
Page image
Page image
Page image
Page image
Page image
Page image
Page image
Page image
Page image

Pages 1-20 of 71

Pages 1-20 of 71

G— 2;

MINES STATEMENT. CONTENTS. PAGE Mines Statement .. .. .. .. ~ ~ I_7 Mineral-production .. .. .. .. ~ , 1 Gold and Silver Mining .. .. .. .. .. . . 1 Coal-mining .. .. .. .. .. .. .. .. ~ 2 Persons employed in or about Mines and Stone-quarries . . .. . . . , 2 Mining and Quarry Accidents .. .. .. .. .. .. .. 2 Dobson Colliery Explosion .. .. .. .. .. .. .. 2 Social Amenities at Mining Townships .. . . . . .. 3 Geological Survey .. .. .. .. .. .. .. 3 Mining Privileges .. .. .. .. .. .. .. .. 4 State Aid to Mining .. .. .. . . .. ~ 4 Government Prospecting-drills .. . 4 Subsidized Prospecting .. .. . . .. . . . 4 ■Roads and Tracks .. .. .. .. .. .. , 4 Schools of Mines .. .. . . . . . . 4 School of : Scholarships .. .. .. .. .. ' .. 4 Miner's Phthisis Act .. .. .... .. .. .. . . 5 Investigations, New Zealand coals .. .. .. .. .. 5 Coal-miners' Relief Fund .. .. .. .. .. .. .. 5 State Collieries .. .. .. .. .. .. .. ..... 6, 7 Housing .. .. .. .. .. .. .. .. .. 5 Output and Sales .. .. .... .. . . .. . . 6 Items from Balance-sheet .. .. .. .. .. . . 7 Tables to accompany Mines Statement .. .. .. .. .. .. 8-13 No. 1. Export of Minerals and Coal-output . . . . . . . . . . 8 No. 2. Gold—Quantity and Value exported .. .. .. .. .. 9 No. 3. Coal—Output from different Fields .. .. . . . . . . . 10 No. 4. Coal—Output of different Classes .. .. .. .. .. 10 No. 5. Coal and Oil-shale —Annual Production; Coal imported ' . 11 No. 6. Coal —Imports .. .. .. .. .. 12 Exports: Bunkers .. . . .. .. . . 12 Exports: Cargo .. .. .. .. .. 12 No. 7. Number of Persons employed in Mining . . .. . . 13 Appendices to the Mines Statement .. .. .. .. 14-69 Appendix A. —Reports relating to Metalliferous Mines and Stone-quarries . . . 14-35 Report by Inspecting Engineer .. . . .. .. . . 14-20 I. Minerals : Produced .. .. .. .. .. .. 14 Exported .. .. .. .. .. .. 15 11. Persons employed .. .. .. .. .. .. . . 15 111. Accidents .. .. .. .. .. .. .. .. 15 IV. Gold-mining : Bullion-production; Dividends declared; Persons employed; Number of Mines and Dredges .. .. .. .. 16 (1.) Quartz-mining .. .. .. .. .. .. 16 (2.) Dredge Mining .. .. .. .. .. .. 16 (3.) Alluvial Mining .. .. .. . . .. . . 17 V. Minerals other than Gold .. .. .. .. 17 Iron . . .. .. .. . . .. .. 17 Sulphur .. » . . . . .. .. . . 17 Petroleum . . .. . . . . . . .. . . 17 VI. Stone-quarries . . .. .. .. . 17 Quarrying Operations . . .. . . .. . . 18 Quarry Accidents . . . . . . . 18

i—C. 2.

o—2

II

Appendices to the Mines Statement —continued. Appendix A —continued. Report by Inspecting Engineer—continued. page VIL State Aid to Mining .. .. .. .. .. .. 18-20 (1.) Subsidized Prospecting .. .. .. .. .. 18 (2.) Government Prospecting-drills .. .. .. .. 20 (3.) Subsidized Roads on Goldfields .. .. .. .. 20 (4.) Government Water-races .. .. .. .. .. 20 (5.) Schools of Mines ~ ~ .. .. .. .. 20 Annexure A-*—Summary of Reports by Inspectors of Mines .. . . .. 21-28 Northern Inspection District .. .. .. . . .. .. 21-23 Quartz-mining .. .. .. .. .. .. ..21,22 Copper-mining .. .. .. .. .. .. .. 22 Quicksilver-mining .. .. . . .. .. .. .. 23 Oil-wells .. .. .. .. .. .. .. .. 23 Sulphur .. .. .. . . .. .. .. .. 23 Accidents .. .. .. .. .. .. .. .. 23 Marlborough, Nelson, and West Coast District . . .. .. .. 23-27 Quartz-mining .. .. .. .. .. .. .. 23-25 Dredging .. .. .. . . . . .. .. .. 25 Alluvial Mining .. .. . . . . .. .. .. 26 Iron .. .. .. .. .. .. .. ~ 26 Petroleum .. .. .. .. .. .. .. .. 26 Quarries .. .. .. .. .. .. .. .. 26 Prospecting .. .. .. .. .. .. .. 27 Accidents .. .. .. . . .. .. .. .. 27 Southern Inspection District .. . . .. .. .. .. 27, 28 Quartz and Alluvial Mining .. .. .. .. .. .. 27 Dredging .. .. .. .. .. .. .. ... 28 Scheelite, Platinum .. .. .. .. .. .. .. 28 Accidents .. .. .. . . .. .. .. .. 28 Annexure B —Summary of Report of Government Water-race Manager .. .. 29 Waimea-Kumara Water-races .. .. .. ... .. .. 29 Annexure C—Report on Stone-quarries .. .. .. .. .. 30 Annexure D —Mining Statistics .. .. .. .. .. .. 31-35 (1.) Quantity of Quartz crushed and Gold obtained .. .. ~ ~ 31, 32 Northern District .. .. .. .. .. .. 31 West Coast District .. .. .. . . .. .. 32 Southern District .. .. .. .. .. .. 32 (2.) Statements of Affairs of Mining Companies .. . . , . . . 33-35 Appendix B —Reports relating to the Inspection of Coal-mines . . . . . . 36-58 Report by Inspecting Engineer and Chief Inspector .. . . .. . . 36-42 Section I. Coal Output and Imports .. .. .. .. .. 36 Section 11. Persons employed .. .. .. .. .. .. 37 Section 111. Accidents .. .. .. .. .. .. .. 38 Section IV. Working of the Coal-mines Act .. .. .. .. 40-42 (a.) Permitted Explosives .. .. .. .. .. .. 40 (b.) List of Mines required by Law to use Permitted Explosives .. .. 40 (c.) List of Mines required by Law to use Safety Lamps .. . 41 (d.) Dangerous Occurrences .. .. .. .. . . .. 41 (■e.) Electricity at Collieries .. .. .. . . . . .. 42 (/.) Prosecutions .. .. .. .. .. .. .. 42 Section V. Legislation affecting Coal-mining .. .. .. .. 42 Annexure A—Summary of Reports by Inspectors of Mines .. . . .. 43-54 Northern District .. .. .. .. .. .. . . 43-46 Sampling of Dust .. .. .. .. .. .. . . 43 Electricity .. .. .. .. .. .. . . .. 43 Size of Coal Pillars .. .. .. .. .. . . . . 43 Dangerous Occurrences .. .. .. . . .. 45 Prosecutions .. .. .. .. .. .. .. 45 Accidents .. .. .. .. .. .. .. .. 43,45 West Coast District .. .. .. .. ~ .. .. 46-50 Accidents ~ .. .. .. .. .. .. .. 49 Dangerous Occurrences .. .. .. .. .. .. 50 Prosecutions .. .. .. .. .. .. .. 50 Southern District .. .. .. .. .. .. .. 50-54 Output .. .. .. .. .. .. .. .. 50 Accidents .. .. .. .. ~ .. .. .. 54 Dangerous Occurrences .. .. .. .. .. .. 54 Prosecutions .. .. .. .. ~ ~ 54 Annexure B —Colliery Statistics .. .. ~ .. .. .. 55-58 Appendix C —Report of Boards of Examiners .. .. .. .. 59-69 Lists of Persons holding Certificates under the Mining Acts .. .. .. 60-63 Lists of Persons holding Certificates under the Coal-mines Acts .. .. 64-69

e.—2

1927. NEW ZEALAND.

MINES STATEMENT BY THE HON. G. J. ANDERSON, MINISTER OF MINES.

Mr. Speaker,— I have the honour to present to Parliament my seventh annual statement on the mining industry of the Dominion for the year ended the 31st December, 1926. The following statement shows the quantity and value of the production of metalliferous mines, stone-quarries under the Stone-quarries Act, and of coal-mines during 1926 and 1925 :—

The value of minerals, including kauri-gum, exported and of the coal used in the Dominion, which is shown in table No. 1 accompanying this statement, amounted to £3,254,372, as compared with £3,170,828 during 1925. The total value of such minerals exported to the end of 1926 amounted to £162,930,715. GOLD AND SILVER MINING. The following statement shows the quantity and value of bullion-production, the dividends paid by registered companies, and the number of productive claims and gold-dredges during 1926 and 1925 : —

I—C. 2.

1926. 1925. Mineral. Quantity. j Value. ! Quantity. Value. £ £ Gold and silver* .. .. .. 554,529 oz. 539,302 625,626 oz. 546,026 Platinum .. .. .. .. 31 ,, 313 Tungsten-ore.. .. .. .. tons 475 1-i-J tons 64 Sulphur .. .. .. .. 594 5,217 269 ,. 1,154 Iron .. .. .. .. 3,997 „ 19,585 1,289 „ 8,701 Stone .. .. .. .. .. 516,075 .. 463,667 Pumice .. .. .. .. 2,358 „ 8,081 2,532 „ 7,672 Coal .. .. .. .. 2,239,999 „ 2,239,999 2,114,995 „ 2,114,995 Totals .. .. .. .. £3,329,047 .. £3,142,279 * The gold-silver bullion is generally exported unseparated.

Dividends Number of ProducProduction of Bullion. paid by Registered tive Claims and I Companies. Dredges. Class of Gold-mining. J I ' I " I 1926. 1925. 1926. 1925. 1926. | 1925. Oz. £ Oz. £ £ £ Quartz .. .. 530,087 442,674 604,044 460,042 55,841 62,390 21 22 Alluvial .. 11,338 43,659 11,545 44,990 3,725 1,950 288 248 Dredging .. 13,104 52,969 10,037 40,994 .. 3,283 5 5 Totals .. 554,529 539,302 625,626 | 546,026 59,566 67,623 314 275

a.—2

2

COAL-MINING. The output of several classes of coal mined in each inspection district is summarized as follows :—

PERSONS EMPLOYED IN OR ABOUT MINES AND STONE-QUARRIES. The following table shows the number of persons employed in each inspection district during 1926 and 1925 : —

MINING AND QUARRY ACCIDENTS. In metalliferous mines, at which 1,770 men were ordinarily employed, there were three fatal accidents. At stone-quarries under the Stone-quarries Act, employing 2,243 men, there were three persons killed and eight persons met with serious injuries. There were 5,159 persons ordinarily employed about the coal-mines, and there were fifteen persons killed and twenty-two persons seriously injured. It is with sincere regret that I have to record the fact that an explosion or explosions occurred at the Dobson Colliery on the 3rd December, 1926, resulting in the loss of nine lives. As soon as possible after the last body was recovered from the mine a Royal Commission was appointed to investigate and report as to the cause of the disaster, &c. The report of such Commission, which is already known to honourable members, states that the closest investigation has failed to disclose with certainty the origin of the explosion.

Output of Coal during 1926. , : " '• ~ Total Output Class of Coal. , Northern West Coast Southern I „ J° District District District J Total. Jjna 01 (North Island) (South Island). (South Island). Tons. Tons. Tons. Tons. Tons. Bituminous and sub-bitu- 111,918 1,084,470 .. 1,196,388 39,179,785 minous Brown .. .. .. 541,931 37,450 326,444 905,825 20,807,277 Lignite.. .. .. .. 256 137,530 137,786 3,972,280 Totals for 1926 .. 653,849 1,122,176 463,974 2,239,999 63,959,342 Totals for 1925 .. 672,403 951,396 491,196 2,114,995 61,719,343

Inspection District. Totals. Classification. ,, i Northern West Coast (of , ° u , <? rn ,, 1Q0 „ ]ri0K ! I ncrease (North Island). South Island).. («>st°f South 1926. 1923. or ' ' i Island). j Decrease. Gold, silver, and tungsten ore 850 490 366 1,706 1,666 Inc 40 Ironstone .. .. .. .. 64 .. 64 83 Dec. 19 Sulphur .. .. .. 12 .. . . 12 Inc. 12 Coal .. .. .. 1,342 2,780 1,037 5,159 4,777 „ 382 Stone-quarries under the Stone- 1,608 263 372 2,243 1,972 ,, 271 quarries Act Oil .. .. .. 20 3 .. 23 „ 23 I i Totals .. ..I 3,832 3,600 j 1,775 9,207 8,498 Inc. 709 I | !

3

e.—2.

As iong ago as April, 1925, I wrote to the Under-Secretary for Mines pointing out that I had reasons for believing that gas would be met in considerable quantity in this mine, and directed that a close watch should be kept on the operations, and that every precaution should be taken in the interests of the safety of the men. Pursuant to this direction, and in consequence of his own observations, the Inspector of Mines for the district gave special attention to the mine. On two occasions lie prosecuted with success the manager of the mine for failure to comply with the law as to the ventilation, and on other occasions he caused the men to be withdrawn from the mine until certain dangerous defects were remedied. The Commission found that the Inspector of Mines had been thorough and efficient throughout. Since holding the portfolio of Minister of Mines I have laid it down from time to time to my staff that safety must come first, and that the safety provisions of the law must be rigidly enforced ; and as long as I have the honour to hold such portfolio it is my firm intention to continue to insist upon the safety-first principle being adhered to and observed. Although not stated in the report by the Commission, it was shown in the evidence adduced at the inquiry that under the regulations existing at the time of the explosion the Dobson Mine did not require to be stone-dusted. It was also shown at the inquiry that subsequently the regulations were drastically amended so as to ensure that not only the Dobson Mine but other mines on the West Coast would require to be stone-dusted in future. The amended regulation goes much further than the corresponding British regulation. A leaflet repeating specially the law dealing with the prevention of the inflammation of coal-dust has been published by the Department for the information and guidance of all colliery officials. The attention of officials has also been called in such leaflet to their responsibilities under the law, and to the fact that, by request of the Minister of Mines, the Inspectors of Mines have been instructed to insist upon rigid compliance with the law regarding stone-dusting in coal-mines. SOCIAL AMENITIES AT MINING TOWNSHIPS. In my statement last year I referred to the facilities provided for athletic sports, &c., in mining towns. During the past year two additional tennis-courts were in course of construction at Pukemiro, where a bowling-green is also projected for construction in the near future. The Pukemiro Collieries Co. is financially assisting very largely in both of these amenities. At Waipa a standard-size bowling-green has been formed, and is now in use. Half the means has been provided by the Waipa Railway and Collieries Co., Ltd. In addition, the Company has promised further means for constructing a pavilion on the bowling-green. At Glen Afton, the Glen Afton Collieries Co., Ltd., has financed and constructed a commodious hall, which is let upon a rental basis to the public and miners' organizations. At Runanga another tennis-court and croquet-lawn are proposed. It is intended that these will be constructed by the clubs, with some assistance from the State Mines staff. It is pleasing to record that the play areas provided in the various mining townships are extensively used and patronized by the miners and public. GEOLOGICAL SURVEY. During the 1926-27 field season the Geological Survey began detailed examinations (1) of a large area in central Nelson, of which Murchison is the centre ; (2) of the district extending southward from Poverty Bay to the northern part of Hawke's Bay ; and (3) of the volcanic, region of the North Island (Rotorua and adjoining districts). The soil-survey of Central Otago, undertaken last year on behalf of the Public Works Department, was continued. As in former years, a large amount of useful work was done by the palseontological branch of the Survey. Many fossil collections, some of which were received from outside workers in geology, were thoroughly examined.

C.—2

4

The other office-work of the Survey comprised the preparation of detailed reports, the drawing of geological maps, thejfgiving of general information to members of the public, the identification of mineral specimens submitted, &c. During the year ended 31st March last the following publications were issued: Bulletin No. 28 (" Geology of the Huntly-Kawhia Subdivision "), Paleeontological Bulletin No. 12 (" Cretaceous and Tertiary Foraminifera of New Zealand," by F. Chapman), and the Twentieth Annual Report. In addition several papers by members of the Survey were published in the " Transactions of the New Zealand Institute " and elsewhere. At the end of the period under review Bulletin No. 29 (" Geology of the Egmont Subdivision, Taranaki"), was ready for issue, and several other reports were in course of publication. An important change during the year was the transference of the Geological Survey Branch of the Mines Department, in accordance with a direction given by Cabinet, to the newly organized Department of Scientific and Industrial Research. The Geological Survey was transferred from the Colonial Secretary's Department to the Mines Department on the Ist January, 1886, and therefore its connection with the latter lasted over forty years. During that time, and in earlier years, the Geological Survey, in addition to purely geological work, examined and reported upon practically all the known mineral deposits of this Dominion. As in past years, officers of the Geological Survey will continue to examine mineral areas and to make such reports as may be required for the Mines Department. In his letter of transmittal, dated 23rd September, 1926, submitting Bulletin No. 29 (New Series) on " The Geology of the Egmont Subdivision, Taranaki," Mr. P. G. Morgan, Director of Geological Survey, stated that such bulletin would be the last one of the Geological Survey issued under the auspices of the Mines Department, and that he thought it fitting to state also that he should acknowledge the many courtesies he had received from the Minister of Mines and the officers of the Mines Department, the assistance given on numerous occasions, and the keen desire evinced that the work of the Geological Survey should be carried out to the permanent benefit of the Dominion. MINING PRIVILEGES. During the year ended 31st March, 1927, 709 licenses for mining privileges were granted under the provisions of the Mining Act, 1926. Out of this number 102 were licenses for claims authorizing the holders to mine for gold. For the same period 407 mining privileges, including 48 licenses for claims, were struck off the registers under the provisions of section 188 of the said Act. STATE AID TO MINING. As in previous years, considerable use was made of the Government prospectingdrills. They were hired by seven parties, and a total of 3,726 ft. was drilled. For the year a total of £9,098 Bs. Bd. was expended in subsidies for prospecting, and 155 persons were employed in connection therewith. £3,612 9s. Id. was expended by way of direct grants and subsidies for roads and tracks. The expenditure on schools of mines amounted to £3,885 16s. 5d., against £4,004 during the previous year. SCHOOL OP MINES SCHOLARSHIPS. Ten scholarship candidates sat at the annual Schools of Mines Examinations, held in November and December of last year, for the six scholarships which are offered annually for competition by students attending the schools of mines within the Dominion. Four candidates (three from Otago School and one from Thames School) were successful in gaining scholarships, which are tenable for three years at the University of Otago.

5

C.—2

MINERS' PHTHISIS ACT, 1915. The benefits under this Act are administered by the Pensions Department, and the following is a statement supplied by the Commissioner of Pensions showing the amount and the number of pensions payable, in force, and granted to the 31st March, 1927 : — Amounts paid since inception until 31st March, 1927 : — £ From Ist November, 1915, to 31st March, 1926 259,238 For year ended 31st March, 1927 .. .. 41,940 £301,178 Number of new grants for year 1926-27 .. .. 84 Annual value of new grants .. . . .. £5,733 Number of pensions in force at 31st March, 1927 . . 668 Annual value of pensions in force at 31st March, 1927 £42,084 Average pension payable per annum .. .. £63 Total number of pensions granted to 31st March, 1927 1,343 Total number of pensions granted to 31st March, 1927, includes the following : — To unmarried miners .. .. .. 253 To married miners .. .. .. 523 To widows of miners .. .. . . 567 1,343 INVESTIGATIONS, NEW ZEALAND COALS. No special investigations on New Zealand coals were carried out during the year in the Dominion Laboratory. The Department, however, deputed the Assistant Dominion Analyst (Mr. W. Donovan), who was abroad, to make inquiries in America and Great Britain re the determination of inflammability of coal-dust, and also the production of oil from coal by low-temperature carbonization and other methods. A visit was paid to the Experimental Station of the Bureau of Mines, U.S.A., at Pittsburgh, and some knowledge gained of the methods employed in determining the inflammability of coal-dust in the special mine developed for the purpose, and of the working of the ingenious instruments by which the velocity of the explosion-wave, the pressure attained, and the velocity and duration of the flame are determined. The British station, which had been transferred to Buxton from Eskmeals, was also inspected. At both places the inflammability of New Zealand sub-bituminous (or brown) coals was specially discussed with the principals. The Fuel Research Station at Greenwich afforded an insight into some thorough methods of research having as their object the better utilization of fuel, including low-temperature carbonization. A visit to some of the coalfields of C4ermany gave additional information. It is hoped to resume coal investigations at the Dominion Laboratory at an early date, when the knowledge thus acquired by Mr. Donovan will be of considerable value. COAL-MINERS' RELIEF FUND. Under the provisions of the Coal-mines Act, 1925, Miners' Sick and Accident Funds were abolished, and from the Ist April, 1926, all accident relief payments were made from the Coal-miners' Relief Fund, which is administered by the Public Trustee. Committees of miners called Coal-miners' Relief Fund Local Committees were established in some of the coal-mining centres to assist the Public Trustee in the administration of the fund. After allowing for the transfer of the various Sick and Accident Funds to the Coal-miners' Relief

C.—2

6

Fund, the Relief Fund shows a diminution of £203 14s. Id. as at the 31st March, 1927, as against a diminution of £1,306 9s. 9d. as at the 31st March, 1926, notwithstanding the fact that since the whole of the liquid assets of the Sick and Accident Funds were handed over to the Public Trustee a higher rate of interest was earned. The amounts pooled at the Ist April, 1926, were —Sick and Accident Funds, £14,603 4s. Id.; Coal-miners' Relief Fund, £12,469 Is. 3d.: a total of £27,072 ss. 4d. The interest earned for the twelvemonths ended 31st March, 1927, was £1,140 19s. 3d., while for the same period the income from the |d.-per-ton contribution and the total expenditure amounted respectively to £4,213 14s. lid. and £5,584 12s. lOd. In addition, the sum of £26 4s. 7d. was recredited to the fund on account of allowances overpaid and vouchers recredited, &c. STATE COLLIERIES. Housing. With the object of enabling reputable miners and other employees working at the State colleries to erect and own their own homes a housing scheme was introduced by the Government several years ago, but it was not until quite recently that the employees availed themselves of the opportunity thus offered. Fifteen loans for financing the cost of the erection of fifteen houses have been sanctioned during the past twelve months, the lowest advance being for £250 and the highest £300. Repayments are made at the rate of 3s. 4d. per week for each £100 loaned, and at the end of twenty years' time the loan is liquidated. Output and Sales. The operations of the State coal-mines and State coal-depots for the year ended 31st March, 1927, are briefly reviewed hereunder. Liverpool Colliery.—The gross output for the year was 151,180 tons, as compared with 107,277 tons for last year, an increase of 43,903 tons. James Colliery. —The gross output for the year was 34,505 tons, as compared with 26,781 tons for last year, an increase of 7,724 tons. A comparative statement for the two years is shown hereunder : —

Note. —The difference between the gross and the.net output is the allowance for mineconsumption and waste. In addition to the above 1,560 tons of coal were purchased for resale, of which 190 tons were purchased from co-operative parties on the West Coast. The disposal, inclusive of stock on hand at the beginning of the year, was as follows : Supplied to —Depots, 46,083 tons ; railways, 23,542 tons ; other Government Departments, 6,246 tons; shipping, 25,867 tons; gasworks, 61,173 tons; other consumers, 11,843 tons: total, 174,754 tons. The total sales of State coal from the Liverpool Mine for the year amounted to 144,581 tons, value £197,175, as compared with 102,953 tons, value £149,978, for last year —an increase of 41,628 tons, with an increase in value of £47,197. The* average price realized by the mine on the total sales for the year was £1 7s. 3-3 d., a decrease of Is. 10-32 d. on last year's average. The total sales of State coal from the James Mine for the year amounted to 30,173 tons, value £43,457, giving an average of £l Bs. 9-66 d. per ton, a decrease of Is. 6-69 d. on last year's average. The sales of coal, &c., through the medium of the depots totalled 115,881 tons, value £228,347, as against 98,326 tons, value £198,745, for last year. The profits at the mines were £20,054, and at the depots, &c., £2, 615, making a net profit of £22,669. £4,552 was applied to the Sinking Fund Account. From a financial point of view the year's business may be regarded as very satisfactory, due in a large measure to the collieries losing very little time on account of strikes.

Output in Tons, 1926-27. Output in Tons, 1925-26. Mine. P Gross. Net. Gross. Net. Liverpool .. .. I 151,180 141,970 107,277 102,400 James .. .. 34,505 30,147 26,781 24,735 . | I : .. • . . -

C.—2

7

Items from Balance-sheet. The following items taken from the balance-sheet, which has been audited, will prove of interest as indicating the more important items of expenditure, and for reference in respect to the position of Capital Account, reserve funds, and other accounts shown therein : — £ The amount written off for depreciation for the year was .. 13,831 The payments for interest totalled .. . . . . .. 9,177 The payments for sea carriage of coal amounted to .. .. 56,885 The cost of railway haulage amounted to .. . . . . 44, 357 The total wages paid for coal-winning were .. .. .. 98,289 The amount paid for management and office salaries (Head Office and mines) totalled .. .. .. .. .. 3,797 The gross capital expenditure on the whole undertaking to the 31st March last was .. .. .. .. .. .. 612,909 The total depreciation written off to date (equal to 59 per cent, on the gross capital expenditure) amounts to . . . . . . 366, 309 The debenture and loan capital stands at .. .. .. 227,601 The net profits of the State Coal-mines Account from inception to the 31st March, 1927, are .. .. .. .. . .132,242 The net profit for the year ended 31st March, 1927, was .. 22,669 The sinking fund is in credit .. .. .. .. .. 55,105 General reserve stands at .. .. .. .. .. 63,855 The amount at credit of Profit and Loss is .. .. .. 18,117 The cash in hand and in the Public Account at the 31st March last was (last year £2,115) .. .. .. .. .. 10,566 The present net book value of permanent or fixed assets is .. 246,600

8

0.—2

TABLES TO ACCOMPANY MINES STATEMENT.

No. 1. Table showing the Quantity and Value of Gold and other Minerals exported during the Years ended the 31st December, 1926 and 1925, and the Total Value since the 1st January, 1853. The Coaloutput is also included.

For Year ended the For Year ended the ! ,, the 31st December, 1926. 31st December, 1925. 31st December, 1926. Name of Metal or Mineral. Quantity. Value. Quantity. Value. i Quantity. Value. «. . . . - _ —-j Precious metals— Oz. £ Oz. £ Oz. £ Gold* .. .. .. 125,777 516,207 114,696 472,364 23,416,564 92,403,399 Silver .. .. .. 425,287 51,236 495,268 60,773 25,553,463 3,016,660 Total gold and silver .. 551,064 567,443 609,964 533,137 48,970,027 95,420,059 Mineral produce, including kauri- Tons. £ Tons. £ Tons. £ gum— Copper-ore .. .. .. .. .. .. 1,504 19,390 Chrome-ore .. .. .. .. 5,869 38,002 Antimony-ore .. .. .. .. .. .. 3,781 55,045 Manganese-ore .. .. .. .. .. .. 19,380 61,994 Heematite ore .. .. .. .. .. .. 77 469 Tungsten-ore .. .. 13 ¥ 8 ff 998 2,255 305,123 Quicksilver .. .. .. .. .. .. 16-JH 8,336 Sulphur (crude) .. .. .. .. .. .. 4,927 13,241 Mixed minerals! .. .. 2,382,1« 9,761 2,566 8,419 324,987 Coal (New Zealand) exported 183, 285,909 138,083 235,047 5,790,751 6,206,055 Coke exported .. .. .230 505 50 157 17,584 27,514 Coal, output of mines in Do- 2,056,991 2,056,991 1,976,912 1,976,912 58,168,591 38,587,513 minion (less exports) Oil-shale .. .. .. .. .. .. 14,444 7,236 Kauri-gum .. .. 4,877 332,765 5,370 414,901 399,299 21,855,751 Total quantity and value of 2,686,929 2,123,012,% 2,637,691 67,510,656 minerals Value of gold and silver, as above .. 567,443 .. 533,137 .. 95,420,059 Total value of minerals, including .. 3,254,372 .. 3,170,828 .. 162,930,715 gold and silver * In respect of gold, ounces of the fineness of 20 carats and upwards. f Including pumice-sand, 2,358 tons; also marble of weight unspecified by the Customs Department.

9

C.—2

No. 2. Table showing the Quantity and Value of Gold exported from New Zealand for the Years ended the 31st December, 1926 and 1925, and the Total Quantity and Value from 1857 to the 31st December, 1926.

2—C. 2.

Year ended Year ended 31st December, 1926. 31st December, 1925. Total Quantity and Value District and County or Borough. from January, 1857, to 31st December, 1926. Quantity. Value. Quantity. Value. t Auckland — Oz. £ Oz. £ Oz. £ County of Coromandel .. I .. .. 191 559 County of Ohinemuri .. 865 3,200 2,212 8,564 Borough of Thames .. I . . .. 339 1,251 Borough of Waihi .. .. j 80,487 336,288 69,350 291,003 81,352 339,488 72,092 301,377 7,317,461 28,413,590 Wellington .. .. .. .. .. .. 188 706 Marlborough— County of Marlborough .. 660 2,520 569 2,138 106,708 415,412 Nelson—• County of Collingwood .. 1 .. .. 84 310 County of Murchison .. 39 159 21 88 County of Waimea .. 4 16 43 1 175 105 398 1,741,249 6,903,936 West Coast — — — — —— ■ — County of Buller .. .. 380 1,523 184 735 County of Inangahua .. 23,772 93,165 27,736 110,862 County of Grey .. .. . . .. 53 201 County of Westland .. 12,935 52,650 9,449 38,420 Borough of Greymouth .. . . . . 94 381 37,087 | 147,338 37,516 ; 150,599 6,483,519 25,736,296 Canterbury— _ — — County of Selwyn .. .. .. .. 20 79 County of Ashburton .. 2 9 2 9 20 79 157 620 Otago— — ---■ — County of Tuapeka .. 660 2,681 250 991 County of Vincent .. .. 1,161 4,606 646 2,635 County of Maniototo .. 988 4,063 503 2,005 County of Waihemo .. . . .. 2 9 County of Waitaki .. .. 34 138 61 237 County of Lake .. .. 88 355 34 140 County of Wallace .. .. 881 3,485 922 3,662 County of Southland .. 2,241 9,116 1,191 4,926 County of St. Bathan's .. 18 73 6,071 1 24,517 3,609 14,605 j 7,758,190 30,895,944 Unknown .. .. .. 562 2,160 785 ! 3,168 | 9,092 36,895 Totals .. .. 125,777 516,207 i 114,696 j 472,364 23,416,564 92,403,399

0.—2

10

No. 3. Table showing the Output of Coal from the various Coalfields, and the Comparative Increase and Decrease, for the Years 1926 and 1925, together with the Total Approximate Quantity of Coal produced since the Mines were opened.

No. 4. Table showing the Output of Different Classes of Coal.

Output. Approximate Total Output Name of Coalfield. Increase. Decrease. up to inoi! 31st December, 1926. 1925. 1026 _ Tons. Tons. Tons. Tons. Tons. North Auckland .. .. 111,918 131,540 .. 19,622 4,629,897 Waikato (including Mokau) .. 541,931 540,863 1,068 .. 9,091,163 Nelson .. .. .. 9,136 9,718 .. 582 426,559 Buller .. .. .. 667,464 576,252 91,212 .. 20,035,585 Inangahua .. .. .. 36,600 37,276 .. 676 571,536 Grey .. .. .. 408,976 328,150 80,826 .. 12,066,300 Canterbury .. .. .. 12,504 12,165 339 .. 934,171 Otago .. .. .. 209,253 229,633 .. 20,380 11,477,555 Southland .. .. .. 242,217 249,398 .. 7,181 4,726,576 Totals .. .. 2,239,999* 2,114,995 .. .. 63,959,342 * Increase, 125,004 tons.

Approximate Output. Total Output Clasa of Coal. Increase. Decrease. to the __ 31st December, 1926. 1925. 1926. Tons. Tons. Tons. Tons. Tons. Bituminous and semi-bituminous.. 1,196,388 1,044,726 151,662 .. 39,179,785 Brown .. .. .. 905.825 911,425 .. 5,600 20,807,277 Lignite .. .. .. 137,786 158,844 .. 21,058 3,972,280 Totals .. .. 2,239,999* 2,114,995 .. .. 63,959,342 * Increase, 125,004 tons.

11

C. -2

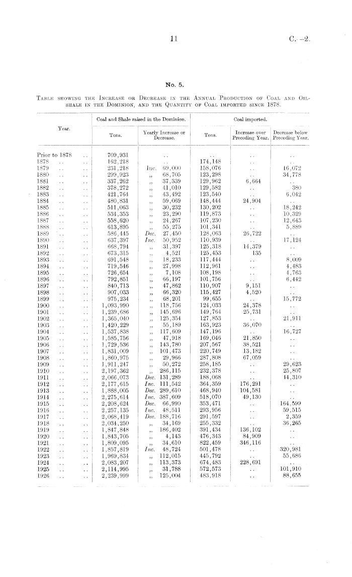
No. 5. Table showing the Increase or Decrease in the Annual Production of Coal and Oilshale in the Dominion, and the Quantity of Coal imported since 1878.

Coal and Shale raised in the Dominion. Coal imported. Year. m Yearly Increase or T Increase over Decrease below Decrease. n ' Preceding Year. Preceding Year. Prior to 1878 .. 709,931 1878 .. .. 162,218 .. 174,148 1879 .. .. 231,218 Inc. 69,000 158,076 .. 16,072 1880 .. .. 299,923 „ 68,705 123,298 .. 34,778 1881 .. .. 337,262 „ 37,339 129,962 6,664 1882 .. .. 378,272 „ 41,010 129,582 .. 380 1883 .. .. 421,764 „ 43,492 123,540 .. 6,042 1884 .. .. 480,831 „ 59,069 148,444 24,904 1885 .. .. 511,063 „ 30,232 130,202 .. 18,242 1886 .. .. 534,353 „ 23,290 119,873 .. 10,329 1887 .. .. 558,620 „ 24,267 107,230 .. 12,643 1888 .. .. 613,895 „ 55,275 101,341 .. 5,889 1889 '.. .. 586,445 Dec. 27,450 128,063 26,722 1890 .. .. 637,397 Inc. 50,952 110,939 .. 17,124 1891 .. .. 668,794 „ 31,397 125,318 14,379 1892 .. .. 673,315 „ 4,521 125,453 135 1893 .. .. 691,548 „ 18,233 117,444 .. 8,009 1894 .. .. 719,546 „ 27,998 112,961 .. 4,483 1895 .. .. 726,654 „ 7,108 108,198 .. 4,763 1896 .. .. 792,851 „ 66,197 101,756 .. 6,442 1897 .. .. 840,713 „ 47,862 110,907 9,151 1898 .. .. 907,033 „ 66,320 115,427 4,520 1899 .. .. 975,234 „ 68,201 99,655 .. 15,772 1900 .. .. 1,093,990 „ 118,756 124,033 24,378 1901 .. .. 1,239,686 „ 145,696 149,764 25,731 1902 .. .. 1,365,040 „ 125,354 127,853 .. 21,911 1903 .. .. 1,420,229 „ 55,189 163,923 36,070 1904 .. .. 1,537,838 „ 117,609 147,196 .. 16,727 1905 .. .. 1,585,756 „ 47,918 169,046 21.850 1906 .. .. 1,729,536 „ 143,780 207,567 38,521 1907 .. .. 1,831,009 „ 101,473 220,749 13,182 1908 .. .. 1,860,975 „ 29,966 287,808 67,059 1909 .. .. 1,911,247 „ 50,272 258,185 .. 29,623 1910 .. .. 2.197,362 „ 286,115 232,378 .. 25,807 1911 .. .. 2,066,073 Dec. 131,289 188,068 .. 44,310 1912 .. .. 2,177,615 Inc. 111,542 364,359 176,291 1913 .. .. 1,888,005 Dec. 289,610 468,940 104,581 1914 .. .. 2,275,614 Inc. 387,609 518,070 49,130 1915 .. .. 2,208,624 Dec. 66,990 353,471 .. 164,599 1916 .. .. 2,257,135 Inc. 48,511 293,956 .. 59,515 1917 .. .. 2,068,419 Dec. 188,716 291,597 .. 2,359 1918 .. .. 2,034,250 „ 34,169 255,332 .. 36,265 1919 .. .. 1,847,848 „ 186,402 391,434 136,102 1920 .. .. 1,843,705 „ 4,143 476,343 84,909 1921 .. .. 1,809,095 „ 34,610 822,459 346,116 1922 .. .. 1,857,819 Inc. 48,724 501,478 .. 320,981 1923 .. .. 1,969,834 „ 112,015 445,792 .. 55,686 1924 .. .. 2,083,207 „ 113,373 674,483 228,691 1925 .. .. 2,114,995 , „ 31,788 572,573 .. 101,910 1926 .. .. 2,239,999 „ 125,004 483,918 .. 88,655

0.—2

12

No. 6. Table showing the Total Quantity and Value of Coal imported into and exported from New Zealand from and to each Country during the Calendar Year 1926.

Imports.

Exports: Bunkers.

Exports: Cargo.

Country whence imported. Tons. Value. £ United Kingdom .. .. .. 190 303 Australia .. .. .. .. 482,721 618,677 United States of America, via West Coast 1,007 1,414 Totals .. .. .. 483,918 620,394 The values shown are the current domestic values in country of export plus 10 per cent.

Produce of New Zealand. Produce of other Countries. Country to which exported. Tons. Value. Tons. Value. £ £ United Kingdom .. .. 83,636 167,615 Tonga .. .. .. .. • • 1 Brazil .. .. .. .. 667 1,368 Chile 1,306 1,501 Australia .. .. .. 48,552 58,262 Fiji .. .. .. .. 2,857 3,664 Nauru Island .. .. .. 6,880 6,960 Gilbert and Ellice Islands.. .. 1,112 1,223 Western Samoa .. .. .. 5 11 Tutuila.. .. .. .. 1,132 1,230 France .. .. • • 1,654 2,068 Argentina .. .. .. 4,262 7,846 Society Islands .. .. .. 4,350 4,350 United States of America, via East 910 910 Coast United States of America, via West 4,159 4,280 Coast Tuamotu Archipelago .. .. 3,050 3,050 Totals .. .. 164,532 264,339

Produce of New Zealand. Produce of other Countries. Country to which exported. Tons. Value. Tons. Value. £ £ United Kingdom .. .. 11 22 Australia .. .. 591 576 Fiji .. ' .. .. .. 3,095 4,122 Tonga .. .. .■ ■ • 1 6 Western Samoa .. .. .. 5 24 Societv Islands .. .. .. 2,712 2,712 Tutuila.. .. .. •• 3,162 4,271 Gilbert and Ellice Islands.. .. 3,202 3,574 Nauru Island .. .. .. 1,467 1,578 Belgium .. .. .. 76 116 Brazil 4,154 4,569 Totals .. .. | 13,476 21,570 . I

C.—2

No. 7. Number of Persons ordinarily employed at or about Mines other than Coal-mines during the Year ended 31st December, 1926.

Summary of Persons ordinarily employed in or about New Zealand Mines during 1926 and 1925.

13

Number of Persons ordinarily employed at Total. County or Borough. | Gold ~Z7, Mines other ~~ °M Alluvial , Go d " than Gold 1926. 1925. Mmes ' | Mines. dred g es - and Coal. ' I Northern Inspection District. County of Thames .. .. 21 .. . . .. 21 13 „ Ohinemuri .. . . 84 .. .. .. 84 64 ,, Coromandel .. .. 37 .. .. .. 37 19 ,, Piako .. .. .. 3 .. .. .. 3 Borough of Thames .. .. 62 .. .. . . 62 40 „ Waihi .. .. 639 .. .. . . 639 623 County of Inglewood .. .. .. .. .. 5 5 „ Taranaki .. .. .. .. .. 5 5 „ Waiapu .. .. . . .. .. 10 10 ,, Tauranga . . . . 4 .. .. . . 4 29 White Island .. . . .. . . .. . . 12 12 West Coast Inspection District. County of Marlborough ... 9 18 .. . . 27 30 „ Collingwood .. .. 8 .. .. 64 72 92 ., Murchison .. .. .. 25 .. 3 28 24 Buller .. .. .. 2 11 .. .. 13 18 „ Inangahua . . .. 259 5 .. .. 264 284 Grey .. .. .. .. 18 30 .. 48 22 „ Westland .. .. .. 57 48 .. 105 149 Southern Inspection District. County of Taieri .. .. .. .. . . .. .. . . 1 „ Tuapeka .. .. .. 56 .. .. 56 55 „ Vincent .. .. 3 54 7 .. 64 51 „ Maniototo .. .. .. 51 .. .. 51 59 „ Waihemo .. .. 6 .. .. .. 6 2 ,, Waitaki .. .. .. 8 .. .. 8 8 Lake .. .. .. 2 79 6 2 89 82 „ Wallace .. .. .. 40 .. .. 40 28 „ Southland .. .. .. 49 2 .. 51 56 „ Ashburton .. .. .. 1 .. .. 1 Totals .. ..1,139 472 93 101* 1,805 1,749 * Includes 12 persons employed in sulphur-mining, and 23 in oil-boring operations.

: 1926. 1925. Increase or Decrease. Gold, silver, and tungsten mines .. 1,706 1,666 Inc. 40 Other metalliferous mines .. .. 99* 83 Inc. 16 Coal-mines .. .. .. 5,159 4,777 Inc. 382 Totals .. .. 6,964 6,526 Inc. 438 * Includes 12 persons employed in sulphur-mining, and 23 in oil-boring operations.

C.—2,

14

APPENDICES TO THE MINES STATEMENT. APPENDIX A. REPORTS RELATING TO METALLIFEROUS MINES AND STONE-QUARRIES. The Inspecting Engineer of Mines to the Under-Secretary op Mines. Sir, — Wellington, Bth July, 1927. I have the honour to present my report on metalliferous mines and stone-quarries, together with statistical information, for the year ended 31st December, 1926. In accordance with the usual practice, the tables showing expenditure on roads, bridges, tracks, prospecting operations, &c., are for the period covered by the financial year —viz., from the Ist April, 1926, to the 31st March, 1927. The reports, &c., are divided into the following sections : — I. Minerals produced and exported. 11. Persons employed. 111. Accidents. IV. Gold-mining. (1) Quartz-mining. (2) Dredge Mining. (3) Alluvial Mining. V. Minerals other than Gold, VI. Stone-quarry Inspection and Statistics. VII. State Aid to Mining. (1) Subsidized Prospecting. (2) Government Prospecting-drills. (3) Subsidized Roads on Goldfields. (4) Government Water-races. (5) Schools of Mines. Annexures :— (A) Summary of Reports by Inspectors of Mines. (B) Summary of Report by Water-race Manager. (0) Summary of Report by Inspector of Quarries. (D) Mining Statistics. I. MINERALS PRODUCED AND EXPORTED. The following statement shows the quantity and value of the production of metal-mines and of stone-quarries under the Stone-quarries Act during 1926 and 1925 : —

1926. 1925. Mineral. Quantity. Value. Quantity. Value. Oz. £ Oz. £ Gold and silver (estimated) .. .. .. 554,529 539,302 625,626 546,026 Platinum .. .. .. .. • • 31 313 Tons cwt. Tons cwt. Tungsten-ore .. .. •. • • 9 1 475 1 15 64 Iron .. .. •• .. 3,997 0 19,585 1,289 0 8,701 Stone .. .. •• •• •• •• 516,075 .. 463,667 Pumice .. .. .. .. •• 2,358 0 8,081 2,532 0 7,672 Sulphur .. •• •• •• •• 594 0 5,217 269 0 1,154 Totals .. .. .. .. .. 1,089,048 .. 1,027,284

15

0.—2

The following statement shows the value of New Zealand minerals (other than coal) exported from the Ist January, 1853, to the 31st December, 1926 : —

11. PERSONS EMPLOYED. The following statement shows the number of persons ordinarily employed in or about the metalliferous mines* of the Dominion during the year : —

III. ACCIDENTS. During 1926 three fatal accidents occurred in or about metalliferous mines, at which 1,770 persons were ordinarily employed.

The following is a short description of the fatal accidents : — William Brown, cyanide foreman at the Blackwater Mines battery, on the 23rd March was treating with sulphuric-acid slimes from concentrates which had been roasted in the Edwards furnace. He became ill the same day, and was later taken to hospital, where he died on the 31st March. A postmortem disclosed the fact that death was due to arsenic poisoning, and that when treating the slimes deceased had inhaled fumes containing arseniuretted hydrogen generated by the action of the acid on the slimes. Leonard McClure, a miner employed in the Waihi Mine, on the 18th May had gone down the travelling-way to run the pass, which had hung up. A piece of stone fell from the stope above, rolled down the pass, and struck deceased on the head. He died in Waihi Hospital on the 20th May. On the 16th December Thomas Harris Harrison, manager of the Golden Bar Mine, Wakamarina, was examining the face of No. 1 level when a fall of mullock from the back took place and struck deceased, killing him instantaneously.

Total from the 1st 1926. 1926. Increase or Decrease. tStVecem'^r, 1920. £ £ £ £ Gold .. .. .. .. 516,207 472,364 Inc. 43,843 92,403,399 Silver .. .. .. .. 51,236 60,773 Dec. 9,537 3,016,660 Tungsten-ore .. .. .. 998 2,255 „ 1,257 305,123 Kauri-gum .. .. .. 332,765 414,901 „ 82,136 21,855,751 Sand, lime, and building-atone .. .8,294 7,968 Inc. 326\ Kql Other minerals .. .. .. 1,467 451 „ 1,016/ 5-41,464 Totals .. .. 910,967 958,712 Dec. 47,745 118,102,397

Inspection District. Classification. — Total, 1926. J Northern. West Coast. Southern. Gold, silver, and tungsten .. .. .. .. 850 490 366 1,706 Ironstone .. .. .. . . .. .. . . 64 .. 64 Totals for 1926 .. .. .. .. I 850 554 366 1,770 Totals for 1925 .. .. .. ..I 788 619 342 1,749 * In addition, 12 persons were employed in sulphur-mining, and 23 persons in oil-boring operations.

Fatal Accidents. Serious Non-fatal Accidents. Ca,use ' Number of Snmtipr n( i Number of Number of Separate T,?h,° Separate Persons Accidents. ' ' | Accidents. injured. Falls of ground .. .. .. .. .. 2 2 Explosives Miscellaneous, on surface .. .. .. .. 1 1 Miscellaneous, underground Totals .. .. .. .. .. 3 3

C.—2

16

IV. GOLD-MINING. The following statement shows the value of the bullion-production, also the dividends declared, number of persons employed, and the number of gold-mines and dredges :—

The value of gold produced during 1926 was less by £6,724 than during 1925. Gold from quartzmining decreased by £17,368, from alluvial mining the decreased value was £1,331, but the increased value of gold from dredging was £11,975.

(1) Quartz-mining.

The average value per ton of ore treated during 1926 amounted to £1 17s. 2d., as compared with £1 17s. 3d. during 1925. At the Waihi Mine 185,787 tons of ore were crushed for a return of 498,101 oz. of bullion, a decrease of 6,550 tons of ore and a decrease of 67,996 oz. of bullion. The total development and deadwork footage for the year amounted to 15,939 ft., and in addition 1,770 ft. was bored by diamond drill. No large body of ore was disclosed, the result of the development work in the lower levels being particularly disappointing. The Waihi Grand Junction Mine has been leased to the Waihi Gold-mining Co., Ltd., for a period of ten years on a profit-sharing basis. During the year under review 3,079 tons of ore were mined, and gave a return of 4,188 oz. of bullion. At Muir's Gold-reefs Mine no work, other than repair work and work in connection with the installation of the new pumping plant, was done during the year. At the Blackwater Mine 40,044 tons of quartz were mined, and gave a return of 18,032 oz. of bullion, valued at £70,232. The total footage for the year amounted to 2,115 ft. against 1,037 ft. for the previous year. Most of the development work was in the direction of the North Blackwater Mine, which was recently purchased by the Blackwater Mines, Ltd. At the New Big River Mine 1,799 tons of ore were mined, and yielded 1,727 oz. of bullion, valued at £6,608, against 3,976 tons of ore and 3,432 oz. of bullion, valued at £13,479, for the previous year. Comparatively little development work was carried out during the year, and what was done gave disappointing results. (2) Dbedge Mining. The following is a statement showing the capacity, production, and profits of bucket gold-dredges during 1926. (Note.—-The profits made by privately owned dredges are not obtainable for publication.)

Production of Bullion, 1926.* (All Mines.) Number of Persons Number of Dividends paid, 1926, ° ,T_. Productive Quartz- - ( s y Registered Com- °S " ' mines, Alluvial panies only.)f Unproductive IVOnoa Mines, and Quantity. Value. Unproductive Minos. D re dgea. 1926. Oz. £ £ Quartz-mining .. 530,087 442,674 55,840 1,139 21 Dredge mining .. 13,104 52,969 .. 93 5 Alluvial mining J. .. 11,338 43,659 3,725 472 288 Totals, 1926 .. 554,529 539,302 59,565 1,704 314 Totals, 1925 „ 625,626 546,026 67,623 1,666 275 * In addition to the gold produced from the gold-mines, silver was obtained from them, hence the word "bullion" is used in preference to " gold." t The profits of privately owned dredges and mines are unobtainable, which renders this statement incomplete. j The bullion-production is from 288 alluvial claims, but the dividends are only ascertainable from those few that are the property of registered companies.

Statute Tons of Ore treated. Value of Bullion. D tIre™CompiUVo?ly?. 8 ' Inspection District. , 1926. 1925. 1926. 1925. 1926. 1925. £ £ £ £ Northern .. .. 190,638 193,907 349,196 348,703 49,591 49,591 West Coast .. .. 47,395 53,254 93,062 111,210 6,250 12,799 Southern .. . . 135 40 416 129 Totals .. 238,168 247,201 442,674 460,042 55,841 62,390

qjO tn m , w : flbC "Sft mS °« 2.2 tv. , , V. & .3 . -J sac 2*c Dividends declared. £© § M d 0.3 A .2 W j§ ; _••! Name of Dredge. Locality. ©j» o£?a> o cs o «<-<« >>o ns3+= 73m <u,® os= ° C . Mua .2? Mpq rt'o During T . . ill a© „„ || 1926. lotaI - © fc fc ! a>H < > Otago and Southland. j Ft. £ £ I £ Nevis Crossing .. .. Nevis River .. 3£ 10 12 S 10 2,072 .. ! McGeorge's Freehold No. 2 Waikaka Valley . . I 6,§ 9 20 S 35 728 . . ! Shotover* .. .. Maori Point .... .. 300 E 20 40 West Coast. Rimu .. •• .. Rimu .. .. 10 19 325 E 55 47,900 .. j 13,132 New River .. .. Dunganville .. 7 18 155 E 35 2,229 Totals, 1926 .. .. 52,969 .. j Unknown, _ Totals^! 925 .. .. 40,994 3,283 1 Unknown, * Suction cutter dredge.

17

C.— 2

The Rimu Flat dredge gave better results than in the previous year, the gold won being 11,800 oz., valued at £47,900, an increase of 3,086 oz. of gold and of £12,180 in value. The company operating the dredge is still prospecting other areas in the district. The New River dredge commenced operations on an area near Dunganville, in Grey County, in June. Considerable difficulties were encountered, but towards the end of the year better results were being obtained. The gold won to the end of the year amounted to 567 oz., valued at £2,229. (3) Alluvial Mining. The following is a statement showing the value of production and dividends declared from alluvial gold-mines during 1926 : —

V. MINERALS OTHER THAN GOLD. Iron. The blast furnace at Onakaka, belonging to the Onakaka Iron and Steel Co., was in operation for part of the year, and smelted 7,994 tons of ore for a production of 3,997 tons of pig iron. Several alterations were made to the plant, which enabled the cost of production to be lowered, and the company is now able to put iron on the market at a price which enables it to compete with imported iron in New Zealand, and even to ship pig iron to Australia. Sulphur. The White Island Products, Ltd., has taken over from the former company the works at White Island and Tauranga. Operations on the island comprised the installation of plant to facilitate loading, and prospecting and opening up the sulphur deposits. Up till the end of the year 1,783 tons of crude sulphur had been shipped. The product after treatment was put on the market as a fertilizer. Petroleum. The Taranaki Oilfields, Ltd., continued its operations in the Taranaki and Gisborne districts. The Tarata well was drilled to a depth of 5,010 ft., but- 110 oil was struck. The Moturoa well was sunk to a depth of 4,360 ft. without striking payable oil or gas. Waipu No. 1 well was sunk to a depth of 2,540 ft., but got no oil. Another well, Waipu No. 2, was started near Tokoinaru Bay late in the year, and preparations were made for still another well, Waipu No. 3, on a site in the Waitara Survey District. Field-work by oil-geologists was carried on continuously in Taranaki and Gisborne districts with a view to locating favourable oil structures. The Murchison Oil Co. started drilling a well near the Mangles River, and by the end of the year a depth of 1,763 ft. had been reached, without, however, striking more than slight showings of oil. VI. STONE-QUARRY INSPECTION AND STATISTICS. By section 2 of the Stone-quarries Amendment Act, 1920, the application of the Act was extended to include every place, not being a mine, in which persons work in quarrying stone and any part of which has a face more than 15 ft. deep, and also in any tunnel in the construction of which explosives are used. The Act, however, does not apply to any Government operations, or any road or railway cutting, or excavations for buildings.

3—C. '2,

Dividends declared. Name of finmranv ' Estimated Value of I L company. Gold produced. i Burina 192H. Total to End of 1926. £ £ £ Scandinavian Water-race Co. .. .. .. ... 1,857 Lawrence Sluicing Co. .. .. .. .. .. 3,487 1,000 3,000 Gabriel's Gully Sluicing Co. .. .. .. .. 4,262 l.OOlt 18,615 W.R.Smyth'.. .. .. .. .. .. 1,344 Golden Crescent Sluicing Co. .. .. .. .. 2,278 350 14,000 Sailor's Gully Sluicing Co. .. .. .. .. 2,42.0 1,050 8,570 Graham and party .. . . . . .. .. 932 325 4,388 Nokomai Hydraulic Sluicing Co. .. .. .. 1.578 .. 54,684 Round Hill Mining Co. .. .. .. .. 2,276 Hohonu Gold Sluicing Co. .. .. .. .. 1,773 .. Stubbs and Steel .. . • . . .. 1.101 All other claims .. .. . .. .. 20,351 Totals .. .. .. .. ,, 43.659 3.725 Unknown.

C.—2

18

The following is a table showing the number of quarries under the Stone-quarries Act, also the number of persons ordinarily employed thereat, and the annual output and value of crude stone during 192f>: —

There were 271 more men employed than during the previous year, and the value of the stone produced was greater by £52,408. Quarry Accidents. The following is a summary of serious accidents during 1926 at quarries under the Stone-quarries Act:—

Of the fatal accidents the following is a short description:— Kawahere Matn, a workman employed on the Arapuni diversion tunnel, died 011 the 25th February from the results of an electric shock received from coming in contact with the neutral wire used in connection with the lighting of the tunnel. The neutral was of uninsulated wire, and had broken a short distance back from where deceased was working. The voltage was 230 volts. Robert Henry Thompson, a workman employed at Waiorongomai quarry, was crushed between full trucks on the 21st June, and died shortly after the accident. He was engaged taking two trucks of stone from the quarry to the crusher, when he was overtaken by two other trucks, the brakes of which he had released but had afterwards omitted to put down again. Samuel Thomas Silcock, foreman at Paeroa quarry, was struck by a fall of stone on the 31st August, and died in hospital on the same day. An examination after the accident showed that the stone had slipped from between two greasy heads, the presence of which could not have been noticed prior to the accident. VII. STATE AID TO MINING. (1) Subsidized Prospecting. Upon subsidized prospecting operations 155 persons were intermittently employed during the year. The following is a statement showing the results of prospecting operations as reported by the Inspectors of Mines,

| J2 s -d Output of Stone. || |I !! 3 g I S ! 3 f 8 .2 O O aj 1 S M PmvinniftT Name and Address of § § $3 -g a j a> ® ® © off £ District Government Inspector of -g g gl;SI §° : «| ' § » Stone-quarries. .2 B g|S £ • 2,-a °l a is.- il !i jrl si s|- -l I ! d3o So 2 2 cj fee a § & ota) g 2 ion II |.gg |i= ia in if""! ? A A on xn i_} j w J5j j ►> Tons. Tons. Tons. Tons. Tons. Tons. Tons. £ Auckland .. James "Newton, Mines 161 999 524,790 80,700 51,400 26,163 252,215 .. .. 222,260 Dept., Auckland M. Paul, Mines Dept., 26 206 132,666 15,571 906 .. .. .. .. 57,771 W a i h i (Hauraki Mining District only) Hawke's Bay James Newton, Mines 18 118 16,170 7,824 .. .. 16,368 .. .. 12,839 Dept., Auckland Taranaki .. Ditto .. .. 16 73 31,496 11,669 .. .. .. .. .. 12,991 Wellington „ .. .. 29 j 212 111,816 14,270 .. 9,469 .. .. .. 52,760 Canterbury J. F. Downey, Mines 14 106 94,503 1,224 5,661 2,530 .. .. .. 35,695 Dept., Reefton .. Nelson 1 Westland Ditto .. .. 12 157 5,310 19,068 260 2,257 36,838 .. 10,584 15,425 Marlborough J Otago \ A. Whitley, Mines 37 372 154,633 6,073 14,691 81.762 51,597 .. .. 106,334 Southland f Dept., Dunedin Totals 1926 .. 313 2,243 1,071,393162,399 72,918 122,181 357,018 .. 10,584 516,075 Totals 1925 .. 289 1,972 958,122 52,249 26,623 134,689 305,482 .. 5,645 463,667

Number of Accidents. Number of Sufferers. n I Cause. ; Fatal. | Serious-. I Killed. j Electricity .. .. .. .. ,. .. ] ' .. 1 Explosives . . . . . . .. . , . . .. 1 .. 1 Falls of ground .. . . . . . . . . .. 1 3 1 3 Haulage .. . . . . .. .. .. .. 1 .. 1 Miscellaneous .. . . .. .. . . . . .. 4 .. 4 Totals .. .. .. .. .. 3 8 3 8

19

C.—2

Number ; Amount of Amount of ! Distance Name of Prospecting Party. of Pro- j Local 5tv of Operations. , Subsidy i driven Nature of Claim Character of Operations. Remarks. | spectors. i ' feuosiaj granted. , expe nded. I or sunk. l ' I I ' I I i | ( I Northern Inspection Distsict. £ s. d. £ s. d. Caledonia - Kuranui - Moanataiari Gold- 7 Thames .. 357 10 0 305 15 0 452 Quartz .. Driving .. .. Testing reef-system on western side of main fault; mining Co. ' reef intersected; gold freely seen. Majestic Gold-mining Co. .. .. 13 Maratoto .. 1,598 13 0 1,423 17 1 1,117 ,, .. ,, .. .. £1 for £3. Work still in progress in low-grade ore. Ohinemuri Gold and Silver Mines 14 „ .. 143 0 0 143 0 0 300 „ .. „ .. .. Driving on large lode; bands of ore carrying high. values met with. Alburnia Gold-mining Co. .. .. 14 Thames .. 216 13 4 I 151 13 4 350 „ .. „ .. .. Encouraging prospects met with. Four-in-hand Gold-mining Co. .. .. .. Waikoromiko .. 86 13 4 I .. .. .. .. No work done. Imperial Gold-mining Co. .. .. 2 Karangahake .. 189 6 5 ■ 177 3 9 122 Quartz .. Driving .. .. Several reefs of low value intersected. Rocky Point (New Discovery) .. .. .. Thames .. 21 13 4 .. .. .. .. No work done. Rising Sun Gold-mining Co. .. .. 35 Owharoa .. 75 0 0 75 0 0 100 Quartz .. Driving .. .. Intersected No. 3 reef; hanging-wall portion carrying payable values. Prescott and mate .. .. .. 2 Mahakirau .. 50 14 0 50 14 0 .. .. Encouraging prospects met with. Hauraki Prospecting Syndicate .. .. Coromandel . . 50 14 0 .. .. .. .. No work done. C. J. Hobbs .. .. .. 2 Hukerunui .. 21 13 4 21 13 4 50 Quartz .. Driving .. .. Assay results nil. Muir's Gold Reefs .. .. .. 4 Te Puke .. 10,607 12 4 4,048 10 4 .. .. Awaiting arrival of pump. West Coast Inspection District. Wealth of Nations Mine, Ltd. .. .. 16 Reefton .. 763 7 9 763 7 9 .. Quartz .. .. Reopened collapsed shaft and resumed active mining. Blackwater Miner's Association .. 2 .. 50 14 0 27 6 0 .. .. Prospecting .. .. Party reports finding small gold-bearing reef. Britannia Mine (Fry's) .. .. 2 Mokihinui .. 53 6 8 53 6 8 100 Quartz .. Driving .. .. Small shoot of gold-bearing quartz located. H. F. Chaffey .. .. .. 1 Takaka .. 28 6 0 28 6 0 .. .. Prospecting .. .. Nothing of value discovered. Hart and Ahern .. .. .. 2 Wakamarina .. 35 2 0 .. .. .. .. No work reported. Lmkwater Prospecting Syndicate .. 2 Mahakipawa .. 62 8 0 62 8 0 .. Alluvial .. Prospecting .. .. Nothing of value found. Murray Creek (G. Kremmer) .. .. 4 Reefton .. 39 3 0 39 3 0 50 Quartz .. Driving .. .. Shoot of gold-bearing quartz developed. J. McQuillan .. .. 87 1 8 .. H. Neilson .. .. .. .. Seddonville 50 14 0 New Keep-it-dark Mine .. .. 4 Reefton .. 200 0 0 164 12 1 260 Quartz .. Driving .. .. Several small shoots of gold-bearing quartz found. O'Keefe and Grigg .. .. .. ., Wakamarina .. 25 0 0 .. .. .. .. No work reported. Rasmussen and Davey .. .. 2 Moonlight .. 53 6 8 53 6 8 100 .. Driving .. .. Nothing of value found. Rice, Browning, and party .. .. 2 Ngakawau .. 39 0 0 22 2 0 .. .. Prospecting .. E. W. Spencer (Hobo Syndicate) .. 2 Alexander River .. 40 15 0 40 15 0 .. „ .. .. „ South Big River Mines, Ltd. .. .. 4 Big River .. 393 5 5 393 5 5 200 Quartz .. Driving H. R. Young (Strathconor Reefs Syndicate) 2 Seddonville .. 43 6 8 43 6 8 100 ,, .. „ .. .. ,, Southern Inspection District. Mount Moore Gold-mining Syndicate .. 4 Stoneburn .. 203 13 4 174 10 0 205 Quartz .. Sinking and driving .. Reef located, but not payable. Reid and Lynch .. .. .. 2 Skippers .. 128 16 8 91 16 5 209 „ .. Driving .. .. Developing reef; fair prospects. E. Oxenbridge .. ,. _ 2 Twelve - mile, Lake 202 2 2 202 2 2 1,000 Alluvial .. ,, .. .. Nothing of value found. Wakatipu H. and E. Barker .. .. ., 2 Mount Pisa .. 101 8 0 101 8 0 . - „ .. Prospecting .. .. Nothing payable discovered, Cornish Point Mining Syndicate .. 4 I Cromwell .. 200 0 0 200 0 0 . - „ .. Sinking and driving .. No payable lead located. Clutha Development, Ltd. .. .. 3 Clutha Valley .. 240 0 0 240 0 0 .. „ .. Drilling .. .. Satisfactory results. 155 16,460 0 1 19,098 S 8 \

C.—2

20

(2) Government Prospecting Drills. The following table gives details of the drilling done and the resxdts obtained for twelve months ended 31st December, 1926 :—

Drill Superintendents: W. H. Warburton, E. A. Wilson, D. Blackadder, R. Pengally, and W. Hughes. Drills used: Schram-Harker diamond, Keystone and placer drills.

* Testing dam-sites. f In addition, two further holes were drilled hut were not bottomed. J Hirer unable to supply accurate costs. (3) Subsidized Roads on Goldfields. The expenditure in the form of subsidies and direct grants upon roads on goldfields amounted to £3,612, as compared with £6,033 during the previous year. (4) Government Water-races. The Waimea-Kumara water-races, constructed by the Government for the purpose of assisting alluvial gold-mining in the district of Kumara (Westland), showed a loss for the vear ended 31st March, 1927, of £135 19s. lOd. Water was supplied to claims employing in all an average of 2 persons, and gold to the value of £274 15s. was obtained. The following is a statement showing the cash received by the Government for water sold, and the expenditure on the upkeep of the races, together with the average number of miners supplied with water, and the approximate quantity and value of gold received for the year ended 31st March, 1927 '

The amount outstanding on tlie Waimea-Kumara water-races on the 31st March, 1927, was £654 2s. 2d., a decrease of .127!) Os. Id. on tlie previous year. (5) School of Mines. The expenditure on schools of mines for the year ended the 31st March, .1927, was £3,885 16s. 5d., against £4.004 during the previous year. This included a grant of £750 to the University of Otago for the Otago School of Mines. The schools of mines continue to do useful and necessary work ; but at the schools on the goldfields the students who attend the classes are mostly from industries other than mining, so that these schools are technical schools rather than schools of mines. 1 desire to acknowledge the efficient help and co-operation which I have received from the Inspectors during the past year. I have, &c., J. A. C. Bayne, Inspecting Engineer of Mines.

nf'wnlps ilpnfh j Diameter Mineral Character of Rocks ! T , . Co8fc per Cost per Foot/of ,, ,, of Holes Depth, f „ , „ nI]( ,u t wriiiod fhmiiah I 10 whom lent. Foot of ; Foot of ,,. a liesults. drilled, in Feet. ! Hole, sought. drilled through. | Drilling. Transport.! ° 8 | Ft. In. s. d. s. d. s. d. 2 j 08 3 Ocal Gravel.. .. D. Blackaddder 17 4 0 7 .. Satisfactory. 1 518 2| ,, Sandstones, mud- Hunter and party 7 5 2 0 12 N o workable coal. stone, shales, and grits 1 300 If „ Shaly mudstones Hillside Co - op- 5 4£ 2 10 0 4J Four small coal and sandstones erative party | seams located. 2 1,184 3 & 2J „ Mudstones, sand- State Coal-mines, 3 2 I 4 7 18 Unsatisfactory. stone conglomer- Rapahoe ates and shales 4f 96 4£ Gold Shingle, silt, &c. R. M. Aitken .. J | J .. „ 19 960 (3 „ Graveldrift .. Clutha Develop- 6 8 .. .. Satisfactory. ment, Ltd. 15 564 6 * Shingle, sand, clay, Public Works Do- 82 11 6 1 &c. partmcnt, Kurow | 3,726

j Average "K promt* Number of Approximate Quantity /«,i 00 j w.,Lr\ Expenditure. Debit Balance. Miners and Value of Gold (Sales ol Water.) j supplied with obtained. * Water. I i r~ ~i f £ s. d. £ s. d. £ s. d. i Oz. £ s. d. Waimea-Kumara Water-races .. 1,129 10 0* j 1,265 9 10 135 19 10 2 70 274 15 0 * including royalty on timber, <fec.

21

C.—2

ANNEXURE A. SUMMARY OF REPORTS BY INSPECTORS OF MINES. NORTHERN INSPECTION DISTRICT (Mr. M. Paul, Inspector of Mines). Quartz-mining. Waihi Gold-mining Co., Ltd. (J. L. Gilmour, Manager).—No. 15 Level (l,BBoJft.). —West drive : This lias reached a distance of 885 ft. At 524 ft. crosscutting was done to the south for 106 ft. The Martha and Royal lodes were intersected in this crosscut, being 17 ft. and 7 ft. wide respectively. The assay value in both cases is low. From 704 ft. the west drive was diverted 45° to the south-west to intersect the Edward lode. At 809 ft. there is a section of Edward lode 6 ft. wide ; assay value Is. per ton. At 838 ft, the main section was intersected, width 8 ft., and assaying a trace of bullion; course, 267° (true); dip 1 in 3, south-east. At 868 ft. there is a vein of quartz 14 in. wide, assaying £1 Is. per ton. At 878 ft. there is another vein, 18 in. wide ; assay value, £1 ss. sd. per ton. Edward lode : Driving south-west was commenced on the main portion and continued to 27J ft. The average assay value for this distance is 10s. 9d. per ton. No. 14 level. —Martha lode (north section) : The east drive was continued to 550 ft. At 547 ft. a south crosscut traversed quartz for 58 ft. ; the assay value was low. This is the main portion of Martha lode. At 188 ft. a winze has been sunk 58 ft. on the north section in payable ore. Dunlop south-east crosscut was extended to 294 ft. and the following veins intersected : At 68| ft., quartz 4 ft. wide, assay value lis. 2d. per ton ; at 784- ft., quartz 3 ft. wide, assay value 7s. 4d. per ton ;at 138£ ft., quartz ft. wide (including a horse of country ft. wide), assay value 9s/ 2d. per ton. This is the Empire lode. At 249 ft. the Royal lode was met; width 10 ft. and assay value 14s. lOd. per ton. Some driving east and west was done on the two latter veins, but no improvement in value was shown. Edward lode : The total distance driven south is now 398 ft. Payable ore for a distance of 177 ft. was exposed. At 163 ft. south a winze was sunk 65 ft. At 38 ft. down there is evidence of a fault crossing the reef. With the object of testing the Edward lode below No. 15 level diamond drilling was commenced from the south end of Dunlop crosscut. At an angle of 63£° from horizontal and direction 290° (true) the lode was met at a depth of 316J ft., or, calculating vertically, 155 ft. below No. 15 level. The drill has proved a large body of quartz, but assay results disclosed no payable ore. No. 13 level. —Empire lode : This was intersected at 90 ft. in Trout south-east crosscut. The width is 12 ft. and mixed with country ; assay value, £1 os. Id. per ton. Driving east was done for 12 ft. and westward 224 ft. Some payable ore has been exposed in the latter direction, and at 84 ft. the width is 14 ft. and average assay value £2 6s. 9d. per ton. Martha lode : At 50 ft. down Pascoe winze, an intermediate level, was driven 130 ft. west and 33 ft. east. This work has opened up some payable ore. No. 12 Level. —The principal work at this level during the year was confined to prospecting with the diamond drill, but no payable ore was disclosed. No. 11 Level. —Martha lode, north section East of Kauri crosscut the drive was continued to 326 ft., where it connected to old level on the north section of lode. Salmon north-west crosscut: Diamond drilling was done horizontally from the end of this crosscut for a length of 405J ft. ; several small veins were intersected, but all of low value. No. 10 Level.—Edward cross-lode : The south drive has reached a distance of 1,940 ft., or about 100 ft. from the west boundary. Assay results were very low. The width of reef in the present face is about 12 in. Shark North-west crosscut: This was continued to 474 ft. At 401 ft. a formation of quartz and country mixed, 33 ft. wide, was intersected, of very little value. At 460 ft. there is another lode formation, 13 ft. wide, of very low value. Driving south-west on the formation met at 401 ft. was commenced and carried to 125 ft. This drive is now stopped. No. 9 Level. —Royal lode west of Edward junction : Driving was resumed and carried to 269| ft. The width of quartz was small and value low. Work is stopped. Royal lode in Crocodile north crosscut: This was driven on east 891 ft. and westward 13 ft. in Grand Junction area. No. 8 Level.—The north, leader was intersected at 80 ft. in Bulls north crosscut. The first 20 ft. is a mixture of quartz, and country and (last sft.) solid quartz, the assay value being £2 13s. lOd. per ton. A total of 383 ft. was driven north-west on the course of this lode. The average width over this length is about 12 in. No. 7 Level. The east face of Royal lode was resumed and carried to 1,206 ft., where the lode is cut off by the old surface. The last 44 ft. of driving is in the Grand Junction area. Surface : On the west side of the Martha Hill a considerable amount of stoping and development work was carried out. No. 2 shaft was sunk 32 ft., making a total distance of ft. from the surface. The chamber at No. 14 level was opened at 169 ft. below No. 13 level. A total of 211,530 short tons of ore was crushed and treated, and was obtained in the following quantities from the undermentioned reefs : Martha, 70,875 tons ; Edward, 33,726 tons ; Royal, 28,239 tons ; Martha, north branch, 21,437 tons ; Surprise, 8,776 tons ; Empire, 8,689 tons ; Alexandra, 7,319 tons ; Jellicoe, 5,532 tons ; No. 2 reef, 5,696 tons ; North, 4,841 tons ; Empire, north section, 3, 785 tons ; Bell, 1,797 tons ; Welcome, south branch, 1,770 tons ; Victoria, 1,245 tons ; Martha, south branch, 1,215 tons ; -North Leader, 516 tons ; Welcome, north branch, 451 tons ; Cross, 384 tons ; Albert, 241 tons ; Regina, 143 tons ; Welcome, 120 tons ; London, 104 tons; Princess, 63 tons; Dreadnought, south branch, 57 tons ; Salmon, 54 tons ; Bates, 7 tons : total of 208,082 tons from Waihi Company's area. From Grand Junction area: Empire, 2,430 tons; Mary, 489 tons; Royal, 529 tons: Total of 3,448 tons from Grand Junction area. Grand total, 211,530 short tons. Total footage, 15,939 A-; 1,770 ft. also bored with diamond drilling-machines. Water pumped to the surface from No. 15 level was 514,590,200 gallons. Waihi Grand Junction Gold Co., Ltd. —The mine has been leased to the Waihi Gold-mining Co., Ltd., for a period of ten years on a profit-sharing basis. Rising Sun Gold-mining Co., Ltd., Oivharoa (A. McGruer, Manager).—During the year 1,561 tons of ore won from Nos. I and 3 reefs above the low level yielded gold valued at £5,720 19s. 3d. Owing to stoppages due to water-supply being cut off this did not pay working-expenses. Six months' protection has been applied for and granted with the object of endeavouring to raise capital in order to open up a greater length of stoping-ground and also to do some urgent repairs to the battery. New Zealand Crown Mines, Karangahalce (G. N. McGruer, Manager).—No work has been done in this mine during the year, and with the exception of the Earl of Glasgow section the whole of the area formerly held by this company has been abandoned. Talisman Dubbo Claim, Karangahalce (Williams and Party).—A considerable amount of trenching and prospecting work has been done, with encouraging results. Imperial Gold-mining Co., Ltd., Kaftingahake.—The crosscut eastward from Howard's level has been driven a total distance of 563 ft. and eleven reefs and veins intersected ; unfortunately, all are of low value. Maoriland Gold-mining Co., Ltd., Waitelcauri.—No. 4 level has been cleaned up and retimbered for a distance of 1,012 ft., leaving 280 ft. to reach the reef, which it is said contained payable values when work was discontinued. The battery is also being put in repair.

C,—2

22

Majestic Gold-mining Co., Ltd., Maratoto (J. A. J. McLaren, Manager).—During the year the drive south on the United lode has been extended (exclusive of crosscutting) 949 ft., making the total distance 2,233 ft., tho reef varying from 4 ft. to 16 ft. in width. The face is now reaching tho point where low values were obtained in the level above, and it is fully anticipated that the ore at this level will contain higher values. Ohinemuri Gold and Silver Mines, Ltd., Maratoto (J. W. O'Sullivan, Manager). —The drive south on the Camoola lode has been extended on the hanging-wall portion a distance of 2,074 ft. At 1,792 ft. a crosscut was put into the reef for a distance of 32 ft. without exposing the foot-wall. The drive was continued for a distance of 228 ft. on the hanging-wall, and for the greater portion of this distance a vein 2 ft. 6 in. in width in the centre portion of the reef gave highly payable assay values. No. 1 rise was put up for a distance of 16 ft. in payable values, and No. 2 rise, which is now in progress to connect with level above in order to provide adequate ventilation, was, on my last visit to the mine, up a distance of 45 ft. in payable values, and the future prospects of this mine are encouraging. Driving on the north side of the main crosscut is also in progress. New Waiotahi Gold-mining Co., Ltd., Thames. —Work has been confined chiefly to developing the Waiotahi Cambria reef, which has been followed hillward for about 300 ft. from the crosscut. The reef is from 15 ft. to 20 ft. wide where cut, and blotches of gold have been seen in places, but nothing of a- payable nature has been met with. A winze has been sunk 50 ft. below this level to test the footwall leader and the main reef —general indications favourable. Alburnia Gold-mining Co., Thames (Thomas Gillon, Manager). —Work is being continued on the Orlando lode from the Norwegian level. At different points strong colours of gold have been seen, and occasionally small parcels of picked stone selected. Driving is being continued to intersect the junctions of the Star of the South and Success reefs. An electric motor and compressor have been installed to speed up this work. Nonpareil Gold-mining Co., Ltd., Thames.—Work in this mine is still confined to driving on the Shamrock lode from the bottom of a winze sunk 50 ft. below the adit level. The results so far have proved disappointing. Caledonia-Kuranui-Moanatairi Gold-mining Co., Ltd., Thames (S. G. Baker, Manager).—The principal work has been confined to extending the crosscut for the purpose of intersecting the Cambria reef on the seaward side of the main fault. At 670 ft. a reef formation 6 ft. in width, composed of quartz stringers showing gold freely, was intersected, and driven on seaward for 15 ft. In order to provide adequate ventilation, and also a means of escape for the men should a fall occur in the main tunnel, a rise has been put up and connected with a shaft sunk from the surface. This will enable the vigorous development of this lode to be proceeded with. Kuranui Gold-mining Co., Thames (J. H. Benny, Manager).—A total distance of 291 ft. has been driven on the Ross reef without disclosing anything of a payable character. Work is now confined to testing Barry's lode from the battery level. Occidental Una United Gold-mining Co., Ltd. —A company was recently formed to work this claim. Four men are employed cleaning up and repairing the low level. Joker Claim, Thames (George Fisher). —2 tons of ore obtained from fossicking over the surface and treated produced gold valued at £8 18s. 6d. Lucky Shot Gold-mining Co., Ltd. (A. Christie, Manager).—The principal work carried out in this mine during the year has been driving hillward on the Ruban Parr and other reefs from Christie's level; the results recently met with are encouraging, as gold has been freely seen in the ore broken out. New Cambria Mine, Thames (R. McGregor).—44 tons of ore treated, won from the mullock-tips, and fossicking on small leaders produced gold valued at £203 15s. lid. Golden Age Gold-mining Co., Ltd., Thames.—ln what is known as the Gladstone level 55 ft. has been driven on the footwall portion of the Golden Age reef. The ore won is heavily mineralized, and strong colours of gold have been seen. Ballarat Gold-mining Co., Ltd., Thames.—Three men have been employed cleaning out and repairing the road level ;50 ft. has also been driven on a 9 in. leader —a little gold'was seen, but nothing payable met with. Sylvia Gold-mining Co., Thames (H. H. Adams, Manager).—Work confined to cleaning out and retimbering the Missouri level in order to reach a winze where it is stated highly payable ore was left in the early days. Zeehan Consolidated, Ltd., Puhoi Creek (W. H. Burton, Manager). —The principal work carried out in this mine consisted of taking along a leading stope for a distance of 250 ft., timbering and putting in passes ready to commence stoping operations. A power-house has also been built, and a 120 horse-power suction-gas engine installed. Early in September a start was made with the re-erection of the battery blown down during a heavy gale, but the available funds became exhausted, and all work was suspended pending an attempt to raise further capital. Egmont Gold-mining Co., Sluicing Claim, Tapu.—This company was formed in New Plymouth, most of the shareholders being local residents. A water-race and dam-site have been applied for and granted. It is proposed to sluice the hill on the north side on the Tapu Creek, where it is said encouraging prospects have been met with. Hauraki Mines Consolidated, Ltd., Coromandel (H. F. Shepherd, Manager).—This company was recently formed to take over the Old Hauraki group of mines and Hauraki Reefs freehold property, with the object of sinking the Hauraki shaft 200 ft. below the present lowest level, and crosscut east and west to test the value of the reefs, which have produced in the vicinity of £500,000 worth of gold from the 400 ft. level to the surafce. It is also proposed to continue the crosscut from the 400 ft. level, driven to within 30 ft. of the boundary-line of the Hauraki Reefs section, towards the Hauraki north shaft to prospect the reef system at a depth of 200 ft. below the lowest workings in this section. The preliminary work prior to unwatering the shaft is well under way. Two boilers have been procured, and one weighing 22J tons installed ; and to take the greatest possible advantage of the steam-pressure a high-pressure cylinder is being added to the pumping-engine. A more powerful winding-engine has been removed from the Union Beach shaft, electric-lighting plant installed, and the balance-bob renewed and enlarged to enable it with safety to carry the main rod in the new lift. Mount Welcome Gold-mining Co., Ltd. (J. Vickerstaff, Manager).—Four men employed. No. 2 and No. 3 levels have been cleaned up and repaired, and a rise connected with No. 1 level. Stoping is now in progress on what is known as the Puketutu reef, and the results met with are said to be most encouraging, as gold has been freely seen through the ore broken out. Your-in-Hand Gold-mining Co., Ltd., Coromandel.—This mine was let on tribute to Patterson and party (three men), who crushed 120 tons of ore for 82 oz. of gold valued at £229 16s. 6d. Iris Gold-mining Co., Mataivai.—A small three-stamp battery has been erected, and connected with the mine by means of aerial trams, and it is expected that there is sufficient ore developed in the mine to keep it going at least one shift. Handsworth Mine, Kuaotunu (Samuel James, Owner). —Work in this mine has been confined to prospecting in the old levels. Peter Maxwell Gold-mining Co., Te Aroha (G. E. Hyde).—A low-level crosscut to intersect the Pick and Dish and other veins exposed on the surface is now in progress for the purpose of testing these lodes at a greater depth. Muir's Gold-reejs, Ltd., Te Puke (W. M. McConachie, Manager).—As the pumping plant in use proved quite inadequate to deal with the water, it was decided to purchase a new pumping plant. This plant when supplied will consist of (a) Worthington sinking-pump, electrically operated, having a capacity of 1,200 gallons per minute under a head of 500 ft. ; (6) a squirrel-cage motor, 400 volts ; (c) all necessary valves, columns, ropes, spare parts, &c. ; (d) flexible armoured cable ; (e) single-drum 28-ton winch, also cable, capstan, and winch. Delivery of this plant has been delayed by the coal strike in England. As everything is in readiness for its installation, no time will be lost in starting to unwater the mine on its arrival. Copper-mining. No work has been done by the Ruahine Prospecting Syndicate during the year.

C,—2

23

Quicksilver-mines. Great British Mercury-mine, Puhipuhi (T. A. Black in charge).—Three men employed open-cutting, from which about 300 tons of ore now under treatment was won; some alterations were also made to the plant, but no mercury has been won during the year. Mount Mitchell Cinnabar-mine, Puhipuhi.—Further prospecting has been done by Mitchell and party, but nothing of importance has been discovered. Oil-wells. Taranaki Oilfields, Ltd. —No. 1 well, Tarata, was sunk to a depth of 5,010 ft.; at several points gas was met with, but no oil. No. 2 well, Moturoa, sunk to a depth of 4,360 ft. ; no gas or oil was met with below 2,300 ft. ; full description of results met above this point in 1925 annual report. Waiapu No. 1 well, Ruatorea, sunk to a depth of 2,540 ft. ; result nil. Waiapu No. 2 well now in progress, situated in an elevated position on Mr. Jefford's farm, about nine miles from Tokomaru Bay ; at 270 ft. the water has been shut off. Taranaki No. 3 well : Site chosen on the Piko Road, Waitara Survey District. The plant formerly in use at the Tarata well is being removed to this site, and the first oil-sand is expected at a depth of approximately 3,600 ft. In each case the abandoned wells are filled and plugged in accordance with the regulations. During the year the old wells Nos. 3 and 5 at Moturoa, formerly belonging to the Taranaki Oil Co., produced 992 gallons of petroleum. The Blenheim oil-well also discharged some petroleum, which ran into the tanks, and no record was taken. Sulphur. White Island Products, Ltd. (B; Basset, Manager).—This company recently took over the assets of the White Island and Agricultural Co., Ltd. During the first half of the year operations by the old company were confined mainly to construction work, such as landing-stages, buttress and slipway, laying down moorings, erecting engine-house and plant at Crater Bay, opening up quarry-face, laying tramways, prospecting, &c. Small shipments of fertilizer were first made in May, and up to the 31st December 1.783 tons had been shipped, of which 558 tons of raw material remain to be treated; the balance, 1,225 tons, have been crushed, and 865 tons sold. The value at the average net price of £3 10s. per ton ex works makes the total value of the product treated by the old and new companies £4,287 10s. An average of twelve men employed during the year. Accidents. One fatal accident occurred during the year, at the Waihi Mine. Leonard McClure, married man, aged thirty-six years, died in the local hospital on the 20th May, 1926, as the result of being struck on the head by a falling stone on the 18th May. Just prior to the accident deceased and his mate, W. Stansbury, were engaged barring down the loose ground after a shot in a stope on the Empire lode, between Nos. 9 and 10 levels (mine). When they had, as they considered, made it reasonably safe, deceased said to his mate, " I will go down and run the pass," which had hung up. Alongside of this pass is a travelling-road, which had not been used for this purpose for some time. They uncovered this travelling-road by lifting one slab, and with difficulty deceased got through, Stansbury remaining on top. The first stage in this travelling-way is down 24 ft. Deceased had reached this stage, and, with one foot on the ladder and his arm around the bearer carrying the stage, was about to push the bar through the cribbing to run the pass when a fall occurred in the stope : a piece of quartz weighing about 8 lb. rolled down the hill, grazing Stansbury's leg, and dropped into the pass s striking deceased on the head. His mate sang out, but got no reply; he then went down the pass and found deceased unconscious, with his arm around the bearer. Stansbury then got his head between deceased's legs and lifted him to release his hold, and in this way carried him down the ladder to the level 72 ft. below. At an inquiry the jury returned the following verdict: " That the deceased Leonard McClure died at the Waihi Hospital on the 20th May, 1926, from pressure on the brain caused by a stone falling on his head while working in a stope in the Waihi Gold-mining Co.'s mine. The evidence showed the happening was purely accidental, no blame being attachable to any one." A rider was added as follows : " The jury wishes to commend and place on record the action of deceased's mate, Mr. W. Stansbury, in immediately going to his (the deceased's) assistance, and carrying him down the ladderway, a distance of 72 ft., to the level below, where he was attended to without delay." WEST COAST INSPECTION DISTRICT (J. F. Downey, Inspector of Mines). Quartz-mining. Marlborough District. Dominion Consolidated Mine.—Work was carried on steadily throughout the year by a syndicate which had taken this mine over from the liquidator. The No. 1 level, Golden Bar, was extended through the fault that separated the workings of that mine from the Empire City Mine, and in a few feet picked up the reef formerly worked in the latter some years back down to an intermediate level between Nos. 2 and 3 levels. The extension of No. 1 Golden Bar adit cut the reef about 40 ft. below this intermediate. When first met with in this adit the stone was about 8 ft. wide, but in a few feet of driving it widened to 18 ft. of solid quartz, which width is maintained for about 30 ft. A horse of mullock then came in, which in another 30 ft. of driving to the present face widened to 10 ft. in width, with reef 4 ft. wide on one wall and 7 ft. on the other. The footwall reef carries good gold, but the values in the hanging-wall reef are not so good, but are considered payable. This hanging-wall split was apparently not worked in the higher levels of the Empire City Mine. Work was confined mainly to extending the adit- referred to and taking off a leading-stope. In carrying this out some 1,287 tons of quartz were mined, which on treatment yielded by amalgamation 651 or.. 17 dwt. of gold, valued at £2,411 Is. 3d. This return was equal to £1 19s. per ton, which is a considerably better recovery than any previously experienced in the history of the mine. For the whole period during which the mine had been worked prior to this the average yield was only worth about 13s. Id. per ton in gold values, and the best year only gave a return equal to £1 7s. 9d. per ton. If the present values are maintained, the mine seems to have a future more encouraging than its past. The reef now being worked could be readily picked up from No. 2 Golden Bar adit, and it is possible that a still lower adit than the last-mentioned could be put in to reach it. Beefton District. Blackwater Mine.—During the year this mine continued active work with an average of 152 men. A good deal more development work was carried out than in 1925, the total footage being 2.115J ft., of which 1,617 ft. was on reef averaging 13-58 dwt. over 23 in. Of this 1,6.17 ft., 1,241 ft. was on payable reef averaging 15-45 dwt. over 25-3 in. and 376 ft. on reef averaging 3-32 dwt. over 15 in. The remaining footage was off reef. The remainder of the development consisted of 247 ft. of rising, 244 ft. of winzing,\and 22 ft. crosscutting. The following are the details of the work: No. 6 level north extended 286J ft., all on reef averaging 15-65 dwt. over 22-7 in. No. 7 level north advanced 180J ft., of which 159 ft. was on reef averaging 17-6 dwt. over 48 in. No. 7 level north (small branch) extended 9| ft., all on reef averaging 17-6 dwt. over 40 in. No. 8 level north extended 120J ft., 32J ft on reef averaging 18-2 dwt. over 16 in. No. 9 level north extended 290J ft., 282Jft. on reef averaging 7-65 dwt. over 18-4 in. No. 10 level north was advanced 345J ft., 338J ft. on reef averaging 10-47 dwt. over 19 in. No, 10 level south advanced 263J ft., 19 ft. on reef averaging

0.—2

24

8-6 dwt. over 9 in. No. 10 level intermediate, south of rise 360 ft. south, advanced 106 ft., all on reef averaging 15*5 dwt. over 18 in. No. 7 level rise, 1,800 ft. north, risen on reef averaging 15-67 dwt. over 40 in. No. 9 level rise, 1,370 ft. north, risen 82 ft . on reef averaging 11-86 dwt. over 18| in. No. 10 level rise, 880 ft. north, risen 83 ft. on reef averaging 16 dwt. over 24 in. No. 10 level rise. 465 ft. north, risen li ft, off reef. No. 6 level winze, 1,800 ft. north, sunk 60 ft., of which 40 ft. was on reef averaging 12*4 dwt. over 23-5 in.. No. 8 level winze, 1,180 ft. north, sunk 62 ft., of which 49 ft. was on reef averaging 5-97 dwt. over 16 in. No. 8 level winze, 1,370 ft. north, sunk 58|-ft., all on reef averaging 11-5 dwt. over 17 in. No. 9 level winze, 880 ft. north, sunk ■63J ft., all on reef. No. 8 level crosscut, 1,800 ft. north, advanced 4 ft. west of level, oft' reef. No. 10 level crosscut at 465 ft. north advanced IS ft. east of level in country. At the treatment plant 40,044 tons of quartz was crushed for a recovery of 18,031 oz. 19 dwt. gold, of which 13,732 oz. 4 dwt. was recovered by amalgamation, 2,979 oz. 13 dwt. by cyanidation, and 1,320 oz. 2 dwt. from concentrates. The total value of the gold was £70,232 10s. Bd. Although the quantity crushed exceeded that of the previous year by 2,105 tons, the gross value of the yield fell oft by £4,682. This was due mainly to an unexpected fall in values in some of the stopes over No. 10 level, from which a considerable portion of the tonnage for the year was drawn. The appearance of zones of poor value has been a common feature of the mines of this district, but this is the first time such an occurrence has been noted in this mine. Seeing that the values in No. 10 level itself were good, there seems every probability that the value of the stone in this particular part of the workings will improve when No. 11 level is opened. The shaft has been sunk for several years, and a chamber opened at No. 11, but no drives have yet been put out. It will be noted that practically all the development of the year has been carried out in the extreme north of the mine—that is, in the direction of the North Black water Mine, which has now been purchased by the Blackwater Mines, Ltd. This is accounted for by the steep northerly pitch of the known ore-shoots carrying them in this direction. North Blackwater Mine. —During the year the company that previously operated this mine found itself unable to further carry on, and disposed of its property to the Blackwater Mines, Ltd., holders of the adjacent ground to the south. The latter company has since extended its Nos. 6 and 7 levels, both of which by the end of the year had penetrated about 40 ft. into the North Blackwater ground. Accurate surveys have not yet been made, but it is considered that the former level will be about 50 ft. above the North Blackwater No. 7 level (the only one so far opened) and the latter 100 ft. below it. Both of the levels have been on fair-grade stone for some distance before and since crossing the boundary, and the faces were still in stone. The distance from the boundary to the North Blackwater shaft is approximately 500 ft. Murray Creek Mine. —The tribute party headed by G. Kremmer has, practically continuously during the year, carried on driving operations on the shoot of stone mentioned in last year's report as having been located below the old No. 1 surface level. A drive was put in on this shoot about 50 ft. under the level mentioned, and has been extended about 140 ft. The stone is in-and-out, and probably does not average more than about 18 in. in width. A little stoping was done over the back of the drive; and in all 161 tons of quartz was mined and treated for a return by amalgamation of 111 oz. 6 dwt. 4 gr. gold, valued at £425 2s. Bd., equal to a return of £2 12s. 9d. per ton. In the latter part of of the year a new company was formed to operate this and several other mines in the district, but its financial arrangements have not been sufficiently completed to permit of it yet making any definite move in this direction. New Big River Mine.—Comparatively little development work was carried out for the year, and this was confined to the north end of No. 12 level. A certain amount of driving, crosscut/ting, and rising was done in this part of the property, but the results were not satisfactory. A block of stone up to 8 ft. in width and of considerable length was developed in an intermediate about 80 ft. above No. 12 level, but it did not contain payable values. The appearance of the mine is therefore less promising than it has been since No. 6 level was opened. On this latter level the reef was badly shattered by faulting, and very little stone was located. Large bodies of quartz were, however, found again at greater depth, and between Nos. 8 and 11 levels its was more abundant than in any of the upper workings of the mine, a condition brought about, without doubt, by the serious faulting that had occurred. Between these levels the appearance of the mine was that of a lodechannel several hundred feet in width containing blocks of ore scattered throughout it, and dipping and striking at all angles and directions. Between Nos. 11 and 12 levels this wide ore-channel has disappeared, and the reef has been confined to what may be described as mere fissure in which stone only appears in occasional small boulders. It is possible that further extension of No. 12 level to the north may reveal more important bodies of quartz, so some little further prospecting in this direction seems justified. During the year twenty - four men on an average were employed, and 1,799 tons of stone mined and treated, for a return of 1,156 oz. 12 dwt. gold by amalgamation, 93 oz. 19 dwt. from cyanide treatment, and 476 oz. 6 dwt. from treatment of concentrates, or a total of 1,726 oz. 17 dwt., valued at £6,607 17s. 7d. New Keep-it-Darlc Mine.- —Work in this mine was limited to the old Golden Ledge section, and mainly to the extension of the Golden Ledge No. 2 adit. This adit was advanced a further 265 ft., making the total distance of 630 ft. from the crosscut; of this distance 390 ft. represented new work done since operations were resumed in this part of the mine. During the driving operations in 1926, scattered small boulders were met with practically all the way, and in three places short continuous makes of stone were met with. One of these was about 50 ft. long, another 20 ft., and the third 17 ft. All of these apparently carried fair gold-contents. From the first-mentioned several stopes were taken off, and in this short distance the shoot lengthened to 90 ft., with stone still making at both ends. The reef was about 3 ft. in width. In the stoping operations referred to some 245 tons of stone was mined, which on treatment by amalgamation yielded 108 oz. 6 dwt., and by cyanidation 24 oz. 14 dwt. gold, or a total of 133 oz., valued at £504 ss. 7d., equal to £2 Is. 2d. per ton. No work was done on the other shoots, but when provision is made for better ventilation of the workings, as is intened shortly, these will be further tested. I understand that a company has been formed to provide the necessary funds to enable the possibilities of this part of the mine to be fully investigated. It may be noted that in extending the Golden Ledge No. 2 adit the work met an old vertical shaft at about 630 ft. in from the crosscut. For a time the management was completely puzzled as to the identity of this working, but a search of the old plans showed that a shaft had been sunk for a few feet in this position from what is known as the " old dark tunnel." Evidently this shaft was subsequently carried on down to the old battery level (No. 4 surface adit), but the working was not posted on the plans. North Big River Mine.—At this property four men were employed throughout the year in prospecting operations. Some further crosscutting and driving was done in the north end of No. 3 adit, and in the same adit, from a point about 100 ft. from its mouth, a crosscut was run out to the east for 400 ft., where it met the dolerite. No evidence of the existence of reef was met with in any of the work done. New Millerton Mine.—Nothing was done during the year at this mine in the workings leading from the main shaft, but a certain amount of prospecting was carried out from surface on the southern end of the company's claim, south of Snowy Creek. Here an adit was put in for 208 ft., and a crosscut driven from it for 20 ft. in the hope of picking up the downward continuation of an outcrop of quartz located some years ago. Nothing but a track carrying fragments of quartz was, however, found. South Blackwater Mine.—The principal work carried on here was the continuation of the sinking of the main shaft, which had been started at a point between 6,000 and 7,000 ft. south of the Blackwater shaft, the idea of sinking it being to try and pick up the southern continuation of the Birthday reef worked so successfully by the Blackwater Mines, Ltd. For the year the shaft was sunk a further 217 ft., making a total from surface of 316 ft. The work was not continuous, there having been a long delay owing to difficulty in getting a party of men to take on the work at a suitable price. Apart from the shaft-sinking, some prospecting-work was done on several of the lines of reef that outcrop on the

C.—2

25

company's property. On what is known as the Kathleen reef a shaft was sunk 22 ft. on stone about 4 ft. wide, but only very poor values were found. On what is known as the Snowy reef, about 6 chains east of the main shaft, a tunnel was put in for 28 ft., and a winze put down from it for 56 ft., from which at a depth of 50 ft. some 29 ft. of driving was carried out. This work revealed the presence of a small reef, about 18 in. wide, carrying a little gold. An average of fifteen men were employed. South Big River Mine.—Six men were employed throughout the year, and a considerable amount of prospectingwork was carried out. No. 3 adit was extended north a further 130 ft., making a total of about 890 ft. from mouth. A crosscut east from this adit at a point about 740 ft. from the mouth was extended 247 ft., making a total of 435 ft. In this crosscut, at about 280 ft. from the main adit, a reef—or, rather, stockwork—was intersected, and this was driven on north for 73 ft. and south for 49 ft. None of the work revealed payable values. A little crushed quartz was found in the northern extension of the adit, but it carried no values. The stockwork referred to as having been driven on from the east crosscut carried about 4 dwt. gold per ton. Progress Mine.—No mining-work was done, but a retreatment of the old sands at the battery was continued, 186 oz. 3 dwt. gold being recovered, which was valued at £573 Is. lOd. Wealth oj Nations Mine.—'The year was not a very satisfactory one for the company operating this mine. The renewal of the upper section of the Energetic shaft, which, as mentioned in last year's report, had collapsed in the previous October, took longer than had been anticipated, and it was not until May that more active mining and crushing operations could be resumed. The shaft had to be entirely retimbered for about 180 ft., to the old No. 1 level. Since resuming stoping, some 3,507 tons of ore was broken and treated, for a yield of 1,692 oz. 8 dwt. by amalgamation, and 639 oz. 16 dwt. by cyanidation, or a total of 2,332 oz. 4 dwt. altogether, valued at £9,204 6s. 3d. Very little development work of any kind was carried out, operations being practically confined to the stoping of the No. 13 level south block, which is being rapidly worked out. On an average, twenty-five men were employed. Alexander River Reefs. —In March the newly formed Alexander Mines, Ltd., took over this property and started operations on the 27th of that month. Since then the following development work was carried out up to the end of the year : —No. 1 level north : This was extended 30 ft. in stone of an average width of 20 in., making a total distance on reef of 152 ft., with the face still showing reef 15 in. wide. No. 2 level north : This was advanced 86 ft. on stone averaging 4 ft. to 5 ft. in width, making a total distance on reef of 142 ft., with stone 3 ft. in width still showing in the face. No. 2 level winze : This was started at the end of No. 2 level, and was sunk 48 ft., the whole of which was on stone which, towards the bottom, gradually narrowed till it was only about 18 in. in width. The country in the winze was going away much flatter than in the upper portion of the mine. No. 2 level crosscut: This was put out for 14 ft. in an easterly direction without disclosing anything of value. No. 3 level crosscut: This adit, which is about 100 ft. lower than No. 2, was put in hand with the intention of cutting the lode worked in the upper levels. It was extended in a south-easterly direction for 255 ft. without meeting reef, but two reef-tracks were cut, one at 142 ft. in and the other at 210 ft. The first of these was driven on north for 18 ft. and the other in the same direction for 20 ft. without striking stone, but both look promising for making stone. The small electric plant which had been used by the prospectors for generating power for driving the battery was found to give such unsatisfactory service that a 12 horse-power oil-engine was installed in its place, enabling crushing to be carried on more continuously. The great cost of getting supplies of oil to the mine made this method of driving the plant very costly. A small cyanide plant was also erected. During the period 352 tons of quartz was mined and treated for a return by amalgamation of 675 oz. 5 dwt. gold, and by cyanidation 131 oz. 11 dwt., or 806 oz. 16 dwt. in all, valued at £3,003 ss. 9d. Of this yield, some 21 oz. gold, valued at £70, was recovered from tailings that had been stacked by the Alexander Reefs Syndicate, the previous holders of the property. In view of the fact that these is no road to the mine, and that such a road cannot well be provided until such time as there is definite proof of the reef living down, it is to be regretted that the development at No. 3 level has not been more satisfactory, but it is confidently expected that future work will shortly yield better results. On an average, fourteen men were employed. Westport District. Britannia Mine.—A little further prospecting-work was done at this mine with a view to picking up a continuation of the shoot of stone located in the Stony Creek adit last year, but no further reef was met with. Strathconor Reef. —In the vicinity of Rough and Tumble Creek, a tributary of the Mokihinui River, a small party carried out some work on a formation to which the above name was given. It was claimed by the prospectors that a lode formation occurred here up to 75 ft. in width, carrying good gold values. An inspection of the formation showed it, however, to be merely a wide band of metamorphosed greywacke, highly impregnated with iron-pyrites. A number of samples were taken from various parts of it, but only one of them, which came from a small vein of clean quartz, carried any trace of gold. A crosscut adit was subsequently put in across the formation for 100 ft, with the aid of Government subsidy, but failed to reveal any values. Dredges. Rimu Flat Dredge.—This big American-type dredge continued operations throughout the year with considerably better results than in 1925. The gold-recovery amounted to 11,800 oz. gold, valued at £47,900, as against 8,714 oz., valued at £35,720, for the previous year. The ground turned over for the period amounted to 1,757,505 cubic yards. This year's recovery brings the total value of gold won by the dredge since it started to £237,970. No dividend was paid during the year, the total dividends remaining at £13,132. Towards the end of the year the recoveries were very good, some 1,100 oz. being recovered just prior to the end of the period from eleven days' dredging. Close check boring of the ground ahead of the dredge was carried out continuously, and it is now estimated that there is in sight at least two years' work on ground as good as that recently worked. The wooden pontoon showed signs of becoming waterlogged, and had gone down astern till practically no freeboard was showing, but two small pontoons, 30 ft. long, 10 ft. 6 in. wide, and 10 ft. deep, were prepared, and bolted to the main pontoon astern, one at each side, with the result that the boat was lifted considerably and is now showing normal freeboard. A number of inspections of the main pontoon were made, but there were no indications that it was making any water. New River Dredge.—This dredge was put into commission in June on an area at Dunganville, in Grey County. The dredge was formerly in the Ahaura River. On removal to Dunganville it was lengthened, and the old steam plant was replaced by electric equipment, power being supplied by the Grey District Power Board. The dredge appears to have been floated in a rather unsuitable position, at the top or higher side of the dredging area, and close to the hillside. A fair amount of gold was got immediately after work was started, but the ground in the locality had been worked from tunnels in the old days of the Dunganville field, and in order to avoid any trouble, such as loss of water from the paddock, by breaking into the old workings, the dredge had to be turned in towards the high ground into an area in which clays and immense boulders predominated and very little gold had been deposited. Towards the end of the year, having got past danger area, the plant was turned outwards towards the flat again, and better results were obtained. The total recovery for the period the dredge was operated amounted to 567 oz. 2 dwt. gold, valued at £2,229 10s. On the average, twenty-five men were employed. It is anticipated that much better values will be got when the dredge gets farther out into the clean gravels, and it is proposed to test the ground ahead of it by Keystone drilling. Ngahere Dredging Co. —This company has continued prospecting operations on its area on the south bank of the Grey River near Blackball. A number of shafts were sunk, with, I understand, satisfactory results, and it is now proposed to put a dredge to work there. Five men were employed throughout the year at the prospecting-work.

4—C. 2.

C.—2

26

Allttvtal Mining. This branch of mining remained much the same as during last. year. There was a slight falling-off in the output and value of gold recovered, hut it was only slight, being 2,643 oz. 15 dvt. 13 gr., valued at £9,996 155., as against 2,799 oz. 2 dwt. 15 gr. valued at £10,908 7s. 6d. There was also a small falling-off in the number of men employed.— from 152 to 142. Mahalcipau-a.—The Mahakipawa Goldfields, Ltd. completed the erection of its poppet-head and winding plant, and a start was made to sink the shaft. After going down 31 ft. the heavy water in the ground beat the plant, owing partly to the unsuitability of the air-compressing plant to work the pump, partly to the pumps themselves not having sufficient capacity to meet the demand on them, and partly to the shaft not being large enough to work the pumps in to the best advantage, and it became necessary to alter the scheme of working. The shaft was increased from the surface to about double its future size, the pumps were completely overhauled, and steam was employed to drive them in place of compressed air. These alterations brought about some better measure of success, as they enabled the shaft to be carried down to its increased size to 43 ft., and timbered and cemented to 38 ft. At 43 ft. it was found that, in spite of every effort, the pumps, while holding the water, could not gain on it, and a cessation of work was once more made compulsory. It is to be regretted that the company have experienced so much difficulty in carrying on its operations, as little doubt is entertained as to the success of the work once the gutter is reached, and it is equally regrettable that, the inflow of water should have proved so serious at this stage, as it is believed that another 6 ft. or 7 ft. of sinking would have got past the trouble. At £0 ft. down the Keystone-drill holeß that were previously put down to test the ground showed that a stratum of clay occurred below which there was no water, so if this could have been reached the sinking of the rest of the shaft would apparently have offered no difficulty. As things turned out there was nothing to do but cease work until more powerful pumping plant was installed, and the company is now endeavouring to secure suitable plant. Howard Diggings.—The returns to hand show that twelve men were employed, recovering 127 oz. 18 dwt. gold, valued at £495 Bs. lOd. Murchison (including Lyett, MataMtaM, and Newton Flat). —Thirteen men were employed, winning 203 oz. 1 dwt. 2 gr., valued at £791 4s. 10d. Grey Valley (including Ahaura, Nelson Creel, Blackball, Totara Flat, Moonlight, Stillwater, Ac.). —Some thirteen men were employed in these fields, winning 109 oz. 15 dwt. Bgr., valued at £405 6s. lid. Barrytown and Twelve-Mile.-—Three men were employed, winning 140 oz. 4 dwt. 3gr., valued at £555 16s. id., all of which came from beach leads. Greymouth (including Rutherglen, Cobden, and Dunganville).—Three men were employed, winning 74 oz. 10 dwt. 12 gr. gold, valued at £294 7s. Collivgwood (including Rockville, Slate River, and Parapara).—On these fields eight men were employed, winning 191 oz. 5 dwt. 14 gr., valued at £688 lis. Bd. Kuwara (including Stafford, Greenstone, and Callaghans).—ln these localities twenty men were employed, winning 1,044 oz. 12 dwt. 12 gr., valued at £3,850 lis. 4d. The principal producers were the Hohonu Sluicing 00. at Greenstone, with 451 oz. 15 dwt. 8 gr., valued at £1,773 os. 9d., and Stubbs and Steel, at Maori Point, with 336 oz. 7 dwt., valued at £1,100 19s. Id. Reefton (including Capleston, Soldiers, Merrijigs, and Blackwater). —Five men were employed, winning 53 oz. 15 dwt. 9 gr., valued at £199 lis. 2d. Tlokitika (including Rimu, Seddon's Terrace, Arahura, and Blue Spur).—On these fields twenty-three men were employed, winning 361 oz. 5 dwt. 12 gr. gold, valued at £1,412 6s. lOd. Ross (including Waitaha). —Gold to the extent of 53 oz. 8 dwt. 23 gr,. valued at £209 10s. 4d. was recovered, three men being employed. Olearito (including Waiho, Gillespie's Beach, and Bruce Bay).—On these fields ten men were employed, winning 122 oz. 14 dwt. 9 gr. gold, valued at £482 16s. Bd., all from sea-beaches. Westport (including Charleston, Waimangaroa, Fairdown, and Bradshaws). —Six men were employed, winning 130 oz. 0 dwt. 16 gr. gold, valued at £519 7s. lOd. Minerals other than Gold. Petroleum.—The only work carried out by way of prospecting for mineral-oil or gas was that carried out by the Murchison Oil Co. at. the Mangles Biver, about seven miles from Murchison Township, where a well is being drilled. Drilling operations were started in March, and to the end of the year the bore had been carried down to 1,763 ft. through alternating beds of mudstone and sandstone. Casing was in to 1,518 ft., being 10 in. diameter to 385 ft., 8 in. to 731 ft., and 6 in. the remainder of the distance. A little gas came up when drilling was between the 1,010 ft. and 1,020 ft. marks, and at 1,172 ft. there was a very light showing of oil. From this depth to 1,400 ft. all the material brought up by the pumps had a slight smell of petroleum, but the well manager considered whatever oil there was came from about the 1,172 ft. mark, seeping down from there outside the casing. The show of oil was very slight indeed, not sufficient being present at any time to collect a sample. The drilling was carried out without any great difficulty, the only trouble that occurred being that with the well at about 1,300 ft. the casing slipped from the grips, necessitating the cutting out of the lowest section of the piping. Water was successfully cut off at 381 ft. and at 751 ft., after which the well was quite dry. Three men were employed. Iron.—The Onakaka Iron and Steel Co. carried out a considerable production of pig iron during the year, but from various causes operations were not continuous, work having to cease for a time in the winter. During the period worked some 7,994 tons of crude ore were mined and treated for a production of 3,997 tons of pig iron, valued at £19,585 6s. Economies effected at the plant enabled the cost of production to be still further materially reduced, and at the price at which the company is now able to put its product on Ihe market there seems no reason why, provided local ironfounders give a reasonable measure of support to the company, the works should not now continue in much more regular operation than has been possible in the past. In the plant an average of forty-one men have been employed, with an additional twenty-three in the quarries. General Remark 3. Mining.—ln the alluvial branch of the industry a further slight falling-off was noted, but this was not serious, and in the quartz-mining branch the position at the end of the year was not so healthy as might have been expected. The total production of gold from the latter was 23,980 oz. 12 dwt. 4 gr., valued at £93,061 lis. 7d., as against 27,586 oz. 11 dwt. 11 gr., valued at £111,210 os. 9d., for the previous year. The amount of quartz crushed fell also from 53,254 tons to 47,375 tens, while the number of men employed fell from 294 to 270. This falling-off was accounted for by various causes, amongst which were the lover grade of stone mined from No. 10 level of the Blackwater Mine, the loss of six months' mining-time at the Wealth of Nations Mine owing to the collapse of the upper portion of the main shaft, and the depletion of ore-reserves in the New Big Biver Mine. It is quite possible that the coming year will show an improvement in the position. The development of the Blackwater Mine towards and in the North Blackwater ground should bring about an improvement in values, End much better developments are hoped for at the Alexander Beefs. The only dividend paid for the year was by the Blackwater Mines, Ltd., which disbursed £6,249 16s. Quarries. —Throughout the district, including the Canterbury, there was a further increase in the number of men employed in or abcut the various quarries, the returns shewing that 263 men were engaged, as against 248 last year, The value of the output increased from £48,773 to £51,120,

0.-2

27

Prospecting.—-In this line of work not much activity has been noticeable. The Rimu Gold-dredging Co., which for some years previously had actively prospected various areas in Westland, confined its work to further testing its own ground ahead 4 of by putting down a considerable number of Keystone-drill bores, which served to show that there are at least two years' work immediately of the on highly payable ground. At the Five-mile Beach, south of Okarito, Mr. R. T. Stewart carried out a i good jJ deal.of prospecting by means of a privately owned power drill, and proved a considerable area tojbe payable. a ln the Golden Ledge adit, Keep-it-Dark Mine, Reefton, some 265 ft. of driving jWas out with the aid of Government with a view to proving the possibilities of the Hercules line of reef north of previous workings. The driving revealed two short shoots of stone carrying fair values. Prospecting by driving at the Murray Creek Mine by a tribute party, with Government assistance, served to develop a run of stone for about 140 ft. under the old No. 1 (surface) adit. At the Ngahere Gold-prospecting Syndicate's holding on the Grey River, near Blackball, a number of shafts have been pat down with, lam advised, satisfactory results. There has not been much field-prospecting, and such as there has been has not discovered anything of value. Accidents.—Two fatalities occurred in connection with quartz-mining. In one of these a man named William Brown, cyanide foreman at the Blackwater Mines battery, was on the 22nd March treating with sulphuric acid a parcel of slimes from concentrates that had been roasted in the new Edwards roaster plant and subsequently cyanided, when he became ill, and, after lingering for some days in the Waiuta and Reefton Hospitals, died at the latter on the 31st March. Analysis was made of the slimes, which showed that they contained arsenic, and it would appear that this, on treatmnf'by the sulphuric acid, liberated arseninretted hydrogen, which was inhaled by the deceased. An inquest was held and a verdict returned to the effect that deceased met with his death by being poisoned by fumes, there being no knowledge at the time that such dangerous fumes were present. Alterations were subsequently made at the treatment plant which ensured all fumes being carried quickly and safely out of the building, and the work of treating similar material has gone on ever since without any inconvenience to the workmen. In the other case a man named Thomas Harris Harrison, mine-manager of the Dominion Consolidated Mine, Wakamarina, was examining the face in No. 1 level, Golden Bar section of the mine, when a slab of rock fell from the backs, killing him instantaneously. An inquest was held, and a verdict of accidental death returned. SOUTHERN INSPECTION DISTRICT (Mr. A. Whitley, Inspector of Mines). Quabtz and Alluvial Mining. Waitaki County. Livingstone.—Searle and party prospected an area in Golden Gully with a percussion drill, but the results obtained were not considered sufficiently encouraging to warrant any expenditure in plant for working the ground. Eighteen holes were bored to an average depth of 30 ft. Maerewhenua.—Sluicing is carried on by small parties when water is available. The gold won amounted to 166 oz., valued at £650. Waihemo County. Mount Moore Gold-mining Co., Stoneburn. —The crosscut from the shaft at the 120 ft. level was driven 125 ft., at which point the Golden Bar reef was out. The reef was driven upon 27 ft. south and 12 ft. north, and a rise put through to the adit level. Samples taken from the reef over a width of 42 in. gave an average value of £1 2s. per ton, which is not payable. At the adit level 135 ft. of driving and 45 ft. of rising was done to prospect for the middle reef, but it was not found. The company ceased operations in October. Ounce Mine, Stoneburn. —Mr. E. B. Callery, owner of this mine, crushed 60 tons of ore for a return of 8 oz. 7 dwt. 18 gr. gold and 6 tons of scheelite. Maniototo County. St. Balkan's Gold-mining Co., St. Balkan's.—This company is having considerable difficulty in working the Kildare lead below the Scandinavian Water-race Co.'s elevating-paddock, owing to the presence of running sand and water. Work in the main shaft was suspended at a depth of 120 ft. from the surface, and a small shaft was sunk in the foot-wall of the lead from the paddock, where the lead was cut but could not be opened up. It was then exposed in the bottom of the paddock and an incline shaft sunk on it to a depth of 58 ft. The lead is 3 ft. wide in the incline shaft, and the gold won was equivalent to 14 dwt. per cubic yard. Scandinavian Water-race Co., St. Bathan's. —This company is working the United M. and E. Co.'s claim on tribute. Sluicing and elevating from a depth of 100 ft. has been in progress throughout the year. The gold won amounted to 466 oz., valued at £1,857. Vinegar Hill Sluicing Co., Cambrian. —A paddock was elevated from a depth of 80 ft. on Morgan's lead. This is the limit to which elevating can be carried on with the company's water-supply. The lead averages 2 ft. in width and is still going down, but the great depth of valueless overburden makes it unprofitable to work by sluicing and elevating. Morgan Bros, and Nicholson and Party, Cambrian.—These parties have been working their alluvial claims during the year. Patearoa. —Johnston and McLean recovered 109 oz. gold, valued at £429, from their claim at Linnburn. Naseby and Kyeburn.—Twenty men were employed at alluvial mining in these localities. The gold recovered amounted to 593 oz., valued at £2,248. Tuapeka County. Blue Spur.—The Gabriel's Gully Co. and Lawrence Sluicing Co. amalgamated for the purpose of working a block of auriferous cement on the boundary of their claims. Two elevators were in operation during the year, producing 1,967 oz. gold, valued at £7,749. The shareholders in each company received £1,000 in dividends. Golden Crescent and Golden Rise Claims, Weatherstone. —Sluicing operations have been carried on throughout the year on a block of ground at Ballarat Hill for a return of 931 oz. gold, valued at £3,623. The Golden Crescent Co. paid £350 in dividends. Treacy Bros., Evans Flat. —This party was working a deposit of clay and gravel on the east side of the Tuapeka River. The low pressure of the water-supply and hard nature of the clay made the work slow and unprofitable. Sailor's Gully Sluicing Co., Waitahuna.—Sluicing operations were carried on in the upper part of the Waitahuna cement deposit. The cement was weathered and easily worked with the company's high-pressure water. Returns show that 656 oz. gold, valued at £2,420, was recovered, and dividends amounting to £1,050 paid. Tallaburn Hydraulic Sluicing Co., Horseshoe Bend. —This company is working an old channel of the Clutha River. Water from the Tallaburn is delivered at the claim under a head of 400 ft., where it is used for breaking down and elevating the gravel. Gold valued at £627 was recovered. Murchiso/i Bros., Fourteen-mile Beach.—This party is working a beach in the Molyneux River by sluicing and elevating. The ground contains numerous large boulders, which are handled with a crane. Work can only be carried on when the river is low. The yield of gold amounted to 134 oz., valued at £523. Vincent County. Advance Mine, Old Man Range.—ln the north drive at the battery level White's reef was out ofi by a fault. 80 ft. of driving was done on the north side of the fault to prospect for it, but it was not found. 75 tons of quartz was crashed for a yield of 79 oz. of gold, valued at £323. 3 tons 11 cwt. of concentrates gave a return of £61.

C.—2.

28

Black's Gold-mining Co., Poolburn. — This company's prospecting-shaft was abandoned owing to difficulty in dealing with running sand and water, which was met between 50 ft. and 70 ft. from the surface. Efforts have been made to locate the auriferous lead known as Black's No. 3by boring. Seven holes, from 100 ft. to 195 ft. deep, were put down, but nothing payable was discovered. Alexandra Deep Lead Gold-mining Co., Alexandra. —This company was formed to work an auriferous lead, which was followed by a dredge into the bank of the Manuherikia River near the Town of Alexandra. Efforts were made to open up the old dredge-paddock and to commence driving therefrom. A 5 in. centrifugal pump driven by electricity was provided for lifting sand and water, but it was not powerful enough to deal with the incoming water. A larger pump is to be installed. Cornish Point Gold-mining Syndicate, Cromwell.—A shaft was sunk 42 ft. through gravel to bed-rock, and drives put out 30 ft. north and 35 ft. south. Cross-drives were also driven to the west from the north and south drives, but no payable wash was found. Clutha Development Co., Ltd., Lowburn. —Drilling operations were in progress in the early part of the year. About three miles of the river-bed have been bored for satisfactory results. Clutha Junction Consolidated Prosppxting and Gold-dredging Co., Ltd. —This company was formed to prospect the Clutha and Lindis Rivers near their confluence. One of the Government Keystone drills has been hired for the purpose. Kawarau High Levels Gold-mining Co., Waitiri. —A tunnel was driven 1,280 ft. through a spur to convey water from Doolan's Creek to the company's claim on the west bank of the Kawarau River. The claim will be worked by ground-sluicing. Barker Bros., Mount Pisa.—This party was engaged in sluicing out deep cuttings in a deposit of quartz drift at Fat Boys Diggings to prospect for an auriferous lead. Nothing payable was found. Nevis.—Returns show that twenty-three men were employed and gold amounting to 569 oz., valued at £2,222, was recovered. Preparations were being made to erect a bucket dredge on S. C. Fache's claim at Upper Nevis. Lake County. Kawarau Gold-mining Co.—The dam at Kawarau Falls was completed during the year. On the 30th August the gates were closed, but at no point along the river did the water fall low enough to expose any virgin ground, consequently the amount of gold recovered by claimholders was very small. The disappointing results are attributed to the lateness of the season and the fact that the tributaries of the river were carrying more water than in midwinter. Big Beach Gold-mining Co., Shotover River. —This company was formed to work a deposit of gravel, known as the Sugarloaf, on the south bank of the Shotover River at an elevation of 150 ft. above the present river-bed. The waterraces formerly owned by J. McMullen are being repaired and connected with a line of 18 in. pipe to deliver eight heads of water on the claim at a pressure of 150 ft. Sandhills Gold-mining Co., Upper Shotover.—Operations were confined to sluicing out an old channel for the purpose of diverting the Shotover River. Sluicing is carried on at both ends of the channel, which is 27 chains in length. Moonlight Mining Syndicate, Moonlight Creek.—This company is working the old bed of Moonlight Creek on a terrace to the west of the present creek-bed. Coarse gold is found in a layer of rough wash 6 ft. thick, which is resting on the schist bottom. The overlying gravel, 130 ft. in height, contains very little gold. Reid and Lynch, Sawyer's Creek.—This party is driving to prospect the Crystal reef at a depth of 170 ft. below their upper workings. Southland County. Nokomai Sluicing Co., Nokomai. —This company was formed to take over the assets of the- Nokomai Hydraulic Sluicing Co. and to work an area of ground in Nokomai Creek, about a mile below Victoria Gully, from which good results were obtained by boring. Nos. 1 and 2 water-races are being extended to the new claim. The claim in Victoria Gully, which was worked out during the year, yielded 420 oz. gold, valued at £1,578. Athol.—Three claims, employing five men, were in operation in this part of the district. The gold won amounted to 309 oz., valued at £1,235. King Solomon Gold-mines, Ltd., Waikaia.—An engine-room and blacksmith's shop were erected and a site excavated for the shaft-head frame. Electric power for pumping and winding is being supplied by the Southland Power Board. Wallace County. Round Hill Mining Co.—Sluicing and elevating were carried on throughout the year for a yield of 575 oz. gold, valued at £2,276. Orepuki.— Eleven men were employed on this field, recovering 197 oz. gold, valued at £773. New Zealand Platinum, Ltd., West Waiau.—This company has commenced to work an area on the foreshore west of the Waiau River. A 6 in. Thompson's gravel-pump, driven by a 25 horse-power oil-engine, has been installed for elevating the beach-sand, which is treated over tables lined with matting for saving gold and platinum. Dredging. Molyneux Electric Gold-dredging Co., Alexandra.—This dredge has been equipped with electric power supplied by the Otago Central Power Board. The current is conveyed on board under a pressure of 6,600 volts, and is there transformed and stepped down to 400 volts for use on the motors, of which there are three, one of 75 horse-power, to operate the buckets, one of 25 horse-power, for running the pump, and one of 15 horse-power, for the winches. Everything is in readiness to commence dredging in the winter season. Shotover Gold-dredging Co., Maori Point. —This company's suction cutter dredge commenced operations on the Shotover River in October, but, owing to a break in the race supplying water for generating electric power, and several stoppages through the dredge silting up, very little dredging was done. The yield of gold amounted to 10 J oz. Nevis Crossing Dredge, Nevis. —This dredge was idle during the winter season, and operations were suspended in November. New pontoons are required, also renewals and repairs to machinery before dredging can be resumed. Upper Nevis Gold-dredging Co., Nevis. —The company was formed to work S. C. Fache's claim at Upper Nevis by dredging. The Earnscleugh No. 3 dredge, at Alexandra, was purchased and is being removed and re-erected on the claim. McGeorge's Freehold dredge, at Waikaka Valley, ceased operations in March. The yield of gold from this branch of mining amounted to 728 oz., valued at £2,839. Minerals other than Gold. Tungsten.—3 tons of scheelite were produced by the Glenorchy Scheelite Co., Glenorchy, and 6 tons by E. B. Callery, Stoneburn. Platinum. —31 oz. of platinum were recovered with gold from alluvial and sea-beach claims at Orepuki and West Waiau. Accidents. No serious accidents occurred at metal-mines or dredges in this district during the year.

29

Gv—2

ANNEXURE B. SUMMARY OF REPORT OF GOVERNMENT WATER-RACE MANAGER. WAIMEA-KUMARA WATER-RACES (Mr. James Rocheord, Manager). Waimea Water-race. The cash received for sales of water from this race for the year ended 31st March, 1927, was £336 16s. Bd., and the expenditure on management, gauging, and repairs amounted to £776 Bs., showing a debit balance of £439 lis. 4d. on the year's transactions. The sales of water only amounted to £214 2s. 6d., the smallest recorded for the past thirty-eight years, and showed a decrease of £73 16s. 2d., as compared with the previous year. The falling-off in sales was due to the complete cessation of mining operations in the Stafford district, which took place at the end of April, 1926, the total value of water supplied for this purpose during the year only amounting to £8 2s. 6d., which fully bore out the opinion expressed in my last annual report, to the effect that practically all the payable sluicingground commanded by the water from this race was then worked away. The balance of the sales of water, amounting to £206, was supplied to Parker Bros., for the development of power to work their sawmill at Gillam's Gully, near Stafford. This sawmill, which employed about fourteen men, was efficiently managed, and worked regularly throughout the year until about the middle of March, when, owing to the lack of orders, operations were suspended indefinitely. No serious breaks occurred on this race, and, with the exception of three days during the year, a constant supply of water was available at the terminus of the race at Ballarat Hill, Stafford. A considerable amount of repair work was carried out by the staff on this race during the year, particularly on the upper section from the Kawhaka Creek to the intake of the Waimea inverted siphon. This portion of the race is now in excellent order, but some of the timbered tunnels in the vicinity of Fox's, Goldsborough, and Stafford are in a bad state, and constant supervision and occasional repairs will be essential to minimize the probability of serious breaks. Although the months of December, January, and February were exceptionally dry for the West Coast, the supply of water from this race was excellent, and the Waimea inverted siphon, which has a carrying capacity of 30 cubic feet per second, could have been kept running full all the year if the water had been required. The cash received was £136 14s. Bd. greater than during the previous year, and the expenditure showed a decrease of £18 12s. 6d. Branch Race to Callaghan's and Middle Beanoh Flat. The cash received from this race for sales of water for the year ended 31st March, 1927, only amounted to £28 155., and the expenditure on management, gauging, maintenance, and repairs amounted to £477 os. 3d., showing a debit balance of £448 ss. 3d. on the year's transactions. Havill's claim was worked intermittently for the first six months of the financial year, but the value of water purchased by the party during that period was considerably less than it should have been, and only amounted to £28 155., a reduction of £35 i6s. Bd. on that of the previous year. This party ceased sluicing operations on the 30th September, 1926, and from that date until 31st March, 1927, no water was supplied from the race for mining or other purposes. Certain urgent repairs were carried out by the staff during the year to some of the flumings on this race, but they are old structures, and the timber in most of them, particularly the boxing, is in a very decayed condition. The cash received was £35 16s. Bd. less than during the previous year, and the expenditure showed a decrease of £5 88. 3d. Kumara Water-raoe. The cash received for sales of water from this race amounted to £106 13s. 4d. ; for royalty on timber cut on the Reservoir Reserve, £627 ss. ; for sale of gauger's old hut, £3 ; and for first payment on account of contract for right to cut dry silver-pine, £27 ; making a total revenue of £763 18s. 4d. The expenditure on maintenance and repairs amounted to £12 Is. 7d., thus showing a profit of £751 16s. 9d. on the year's transactions No miners were supplied with water from this race during the year; the whole of the revenue derived from sales was received from the Okuku Sawmill Co. for water supplied for power development. During the year about sixty intermediate sets of timber and a number of lining-boards were placed in position in the Kumara head-race tunnel by the water-race staff, but a very considerable amount of repair work would have to be carried out before the original carrying-capacity of this tunnel would be restored. With the exception of certain sections of this tunnel the Kumara Water-race and the Nos. 1 and 2 Kapitea Reservoirs are in good order. Kumara Trans-Taramakau Water-race. Owing to the non-restoration of the serious break which took place in the trans-Taramakau pipe-line in November, 1925, this race was out of commission for the whole year. Wainihinihi and Waimea Additional Supply Water-races. During the year about thirty-two sets of hewn timber were prepared and placed in position in different tunnels by the water-race staff, and a further number will be required from time to time to insure safety, but generally speaking these races are in good order. Waimea-Kumara and Callaghan's Water-baces. The following is a summary of the revenue and expenditure of the above water-races for the financial year ended 31st March, 1927 : Sales of water, £349 10s. lOd. ; cash received, £1,129 10s. (including royalty on timber, &c.); expenditure, £1,265 9s. lOd. ; approximate value of gold obtained, £274 15s. The average number of miners employed for the first six months of the year was two. No mining operations were carried out during the last six months of the year. The sales of water show a decrease of £133 12s. 10d., and the cash received shows an increase of £215 3s. 9d. on that of the previous year. The total expenditure amounted to £1,265 9s. 10d., as against £1,298 15s. 5d., a decrease of £33 ss. 7d. Comparing the cash received with the expenditure, the combined races show a loss of £135 19s. lOd. for the year, but had the cash for the sale of iron and steel pipes been received before the close of the year the loss would have been reduced to £38 15s.

.—2,

ANNEXURE C. STONE-QUARRIES. SUMMARY OF REPORT BY INSPECTOR OP QUARRIES FOR THE NORTH ISLAND (ME. JAMES Newton). During the year as much time as possible has been given to actual inspection of the various operations in and about the quarries, and, broadly speaking, I have found that the operators have exercised reasonable care in operating same. In a majority of the quarries that have been operated the work has been undoubtedly of a hazardous and dangerous nature, owing to the disposition of the stone exploited, and its having been extensively shattered, in consequence of which it is found to be traversed by treacherous backs. In very few cases has the rock been found to be bedded in such manner that it would have been wise to demand that operations should be carried on by regular-sized benching on the face of the quarry, consequently I have preferred that the face should be operated on a substantial backward batter of sufficient inclination to allow of easy and reasonable access, and also to ensure a sufficient support to the underlying strata. Electricity has been much more extensively used for power purposes than formerly during the year under review, and is now being used at almost all quarries where it is available. During the year quite a number of operators have discarded the suction-gas, oil, and steam engines and replaced them with electric motors. Valuable and extensive installations have been put in in the Auckland Provincial District at places owing to the fact that it has been found necessary in order to supply a demand that has arisen for more varied grades of material for roadmaking purposes, &c. With regard to the operations of the Act and Regulations, in my opinion the remarks made by me in my last year's report still hold good. When compared with the year 1925 the output of stone for the present year shows a substantial increase. Each of the four provinces under my supervision has increased its output of stone, the increases being respectively— Auckland, 204,750 tons ; Hawke's Bay, 6,189 tons ; Taranaki, 14,939 tons; and Wellington, 12,915 tons ; or a total increase of 238,793 tons. Nineteen more quarries have been operated and 153 more men have been employed. I have found the year a very busy one, an increased amount of my time has been occupied clerically. A very great deal of clerical work has had to be attended to in connection with applications for quarry-managers' or foremen's permits. Mostly the applicants have been examined in their own districts, very few of them elect to travel to Auckland owing to the expense of doing so, and a considerable number are examined in the evenings on account of the same thing. The greater number of applicants have been granted a pass, One fatal and five serious non-fatal accidents occurred at quarries in my inspection district during the year. On the 25th February in the diversion tunnel at the Arapuni Hydro-electric works, a workman named Kawahene Mutu, a Maori, was electrocuted through coming into contact with a live wire carrying approximately a pressure of 230 volts for lighting purposes. At the time of the occurrence Mutu was employed shovelling concrete into the framework of the tunnel-lining. On the sth February in the diversion tunnel at the Arapuni hydro-electric works, George Bacon sustained a broken rib as the result of slipping and falling against a pipe whilst employed shovelling concrete on a platform. On the 7th September, in a sewerage tunnel at Ellerslie, a workman named James Grama received a broken leg and abrasions to his head and arms as the result of a premature explosion of gelignite whilst drilling a round of holes in the face of the tunnel. The previous round of holes had been fired the day before, and the debris cleared out from the tunnel, and apparently all was safe to warrant a commencement of the drilling for further blasting. Shortly after commencing drilling the drill struck through into an open space in the rock, probably a crevice, either natural or caused by the previous blast of holes shattering the stone. It was stated that the hole was then cleaned out and drilling recommenced, and immediately the explosion occurred. It is supposed that when the former round of holes was fired, one of the shots must have displaced a portion of a charge from another hole and driven it away into this particular crevice. On the 29th September, in the Gisborne Harbour Boards " Whareongaonga," a workman, Tui Rangi, received a broken leg as the result of slipping and falling on the floor of the quarry. On the sth November, in the Farmers' Mauriceville limestone-quarry, S. Riogard, whilst shovelling on the floor of the quarry, was struck by a rolling stone and had a leg broken. On the 4th December, in the Wellington City Council's Ngahauranga quarry a workman named John Parr ell over a 10 ft. face and sustained a fractured pelvis.

30

31

C, —2

ANNEXURE D.

MINING STATISTICS. Table 1. Statement showing the Quantity of Quartz crushed and Gold obtained in the Hauraki Mining District for the Year ended 31st December, 1926.

' T~j Average Gold obtained. Locality and Name of Mine. °' Quartz crushed. Value. employed. Amalgamation. Cyanidation Thames County and Borough. Tapu— Tons cwt. qr. lb. Oz. dwt. gr. Oz. dwt. gr. £ r s. dEgmont Gold-mining Co. .. 3 4000 450 .. 17 00 Tairua — New Monarch .. .. 1 .. 44 9 0 .. 102 13 0 Karaka Creek — Joker .. .. .. 1 2000 340 .. 8 18 6 Adelaide Tips .. .. 2 41 0 0 0 17 5 0 .. 44 13 6 Una HillNew Cambria .. .. 6 44 0 1 16 75 13 0 .. 203 15 11 Totals ' .. 13 91 0 1 16 | 144 16 0 .. 377 0 11 Waihi Borough. Waibi — i Waihi Gold-mining Co. .. 628 185,787 10 0 0 .. 498,101 12 0 336,995 14 10 Waihi Grand Junction .. 11 3,078 11 1 20 .. ; 4,188 10 0 4,354 0 7 Totals .. .. 639 Hl88,866 1 1 20 .. 502,290 2 0 341,349 15 5 j Ohinemuri County. Karangahake— Talisman Battery .. .. 4 .. 653 0 0 .. 1,419 17 0 Aitken's River Claim .. .. 2 .. 78 17 0 .. 98 10 0 Owharoa — Rising Sun Gold-mining Co. .. 35 1,561 0 0 0 1,824 15 0 930 1 0 5,720 19 3 Totals .. .. 41 1,561 0 0 0 2,556 12 0 930 1 0 7,239 6 3 Coromandel County. W aikoromiko — Four-in-hand .. .. I 3 120 0 0 0 82 0 0 .. 229 16 6 SUMMARY. Tons cwt. qr. lb. Oz. dwt. gr. Oz. dwt. gr. £ s. d. Thames County and Borough .. 13 91 0 1 16 144 16 0 .. 377 0 11 Waihi Borough .. .. 639 188,866 1 1 20 .. 502,290 2 0 341,349 15 5 Ohinemuri County .. .. 41 1,561 0 0 0 2,556 12 0 930 1 0 7.239 6 3 Coromandel County .. .. 3 120 0 0 0 82 0 0 .. 229 16 6 Totals, 1926 .. 696 190,638 1 3 8; 2,783 8 0 503,220 3 0 349,195 19 1 Totals, 1925 .. 677 193,906 11 0 gj 2,404 2 0 574,022 15 0 348,703 15 4

C.-2

32

Statement showing the Quantity of Quartz crushed and Gold obtained in the West Coast Inspection District for the Year ended 31st December, 1926.

Statement showing the Quantity of Quartz crushed and Gold obtained in the Southern Mining District for the Year ended 31st December, 1926.

Summary of Inspection Districts.

Average Gold obtained by Locality and Name of Mine Nu S?« r Quartz crushed. — Value. M , en , . , i Cyanide and employed. | Amalgamation. : 0 * ncentmtes . Nelson. Waiuta— Tons owt. qr. Oz. dwt. gr. Oz. dwt. gr. £ s. d. Blackwater Mines .. .. 152 40.044 0 0 13,732 4 0 4,299 15 0 70,232 10 8 Globe Hill— Progress Mines .. .. 3 .. .. 186 13 0 573 1 10 Reefton— Murray Creek .. .. 4 161 0 0 111 6 4 .. 425 2 8 Wealth of Nations .. .. 25 3,507 0 0 1,692 8 0 639 16 0 9,204 6 3 Crushington— New Keep-it-dark .. .. 5 245 0 0 108 6 0 24 14 0 504 5 7 Alexander River— Alexander Reefs .. .. 14 352 0 0 675 5 0 131 11 0 3,103 5 9 Big River— New Big River .. .. 24 1,799 0 0 1,156 12 0 570 5 0 6,607 17 7 Marlbobough. W akamarina— Dominion Consolidated .. .. 9 1,287 0 0 | 651 17 0 .. | 2,411 1 3 Totals, 1926 .. 236 47,395 0 0 18,127 18 4 5,852 14 0 j 93,061 11 7 Totals, 1925 .. 270 53,254 0 0 23,654 6 17 3,932 4 18 111,210 0 9

Average Gold obtained by Locality and Name of Mine. U *Me^ r ° enured. Value. employed. : Amalgamation. Concentrates. Waihemo County. Stoneburn— j Tons cwt. qr. Oz. dwt. gr. Oz. dwt. gr. £ s. dOunce .. .. •■ ! 2 60 0 0 8 7 18 .. 31 14 8 Vincent County. Old Man Range— I'll Advance .. .. .. 3 75 0 0 79 14 0 | 15 6 12 384 9 0 Totals, 1926 .. 5 135 0 0 88 1 18 15 6 12 416 3 8 Totals, 1925 .. 3 40 0 0 j 31 0 0 .. ! 129 0 0 j

Inspection District. Persons employed' J Quart* crushed. | Bullion obtained. Value. Statute Tons. Oz. dwt. gr. £ s. d. Northern (North Island) .. .. 696 190,638 506,003 11 0 349,195 19 1 West Coast (South Island) .. .. 236 47,395 23,980 12 4 93,061 11 7 Southern (Otago and Southland).. .. 5 135 103 8 6 416 3 8 Totals, 1926 .. . . 937 238,168 530,087 11 10 442,673 14 4 Totals, 1925 .. .. 950 247,201 604,044 8 11 j 460,042 16 1 __J In addition, 202 persons were employed at unproductive quartz-mining.

C.—'2

33

Table 2. Statement of Affairs of Mining Companies, as published in accordance with the Companies Act, 1908.

5—C. '2.

Amount ! Wmnh „ ' Number Number 1 r 9"^ t /^ Total Total Amount Name of Company Date of Subscribed of Capital | S Haiders of Shares Amount paid Arrears of Share- of i , inC e Registration Expenditure Amount of of Debts company. Registration. Capital, j actually S" h I per Share. of Calls, holders Menem- since Registration. since Dividends owing by ! paid up. 'f 1 hotted. | at present.! ployed. I 1 Registration. paid. Company. pam - | || Quantity, i Value. AUCKLAND DISTRICT. £ ; £ £ £ Oz. £ [ £ £ £ Peter Maxwell Gold-mining Co., Ltd. .. .. 14/9/26 i 2,500 j 1,250 Nil 10,000 5/- Nil 25 i 3 Nil Nil 742 Nil Nil Renown Gold-mining Co., Ltd. .. .. .. 27/2/25 9.125 1,487 7,000 1,826 £5 and £3 10/- Nil 69 ! Nil Nil Nil 1,053 Nil 212 Four-in-hand, Ltd. .. .. .. .. 31/7/23 18,700 7,C82 . 2,500 74.800 5/- and 2/7 \ \ Nil 55 Nil 285 789: 9,436 Nil 71 Alburnia Gold-mining Co., Ltd. .. .. .. 20/12/24 | 10,442 I 9,878 ! 528 104,421 2/- and 1/- 1 35 354 13 Nil Nil 5,544 Nil 199 Hauraki Mines Consolidated, Ltd. .. .. 28/11/25 46,356 9,347 20,000 185,426 5/-, 2/-, and 1/- 1,239 393 16 Nil Nil 901 Nil 2,907 Maoriland Consolidated, Ltd. .. .. .. 24/3/25 13,125 3,195 ! 5,000 ! 77,500 5/- and 1/- 55 75 ; 6 Nil Nil 2,426 Nil 43 Rising Sun Gold-mining Co., Ltd. .. .. 6/4/25 10,000 ! 8,683 1 Nil 40,000 5/- i 676 68 1 5,149 10,789 19,194 Nil 3,271 Kuranui Gold-mining Co. (No Liability) .. .. 5/6/2-5 8,026 2,480 21C 82,364 0/8 Nil 45 4 10 25 2,374 Nil 65 Owera Gold-mining Co., Ltd. .. .. .. 7''6/23 5,102 j 3.065 , 10.000 60,410 5/-and 3/- i 68 79 Nil Nil Nil 2,984 Nil 17 Mount Welcome. Gold-mining Co., Ltd. .. .. 21/10/20 3,600 1,909' 2,500 24,400 2/9 ! 27 62 4 Nil Nil 1,984 Nil 142 Tiki Talisman Gold-mines, Ltd. .. .. .. 22/5/25 5,125 1,578 6,250 45,500 Various 22 55 Nil Nil Nil 1,574 Nil 962 Caledonia-Kuranui-Moanataiari Consolidated Gold- 16/3/20 22,500 j 20,625 , 2,500 100,000 4/7 Nil 282 ! 9 Nil Nil , 23,097 Nil 1,076 mining Co., Ltd. Nonpareil Gold-mining Co. (No Liability) .. .. 14/9/20 13,374 3,709 2,625 88,496 Various Nil 67 3 Nil Nil 3,662 Nil 96 New Zeehan Consolidated, Ltd. .. .. .. 23 12/25 160,668, 3 160.665 321,337 10/- Nil 259 28 Nil Nil 202,494 Nil 42,820 Lucky Shot Gold-mines, Ltd. .. .. .. 9/4/26 10,000 6,942 2,000 100,000 1 3 Nil 240 | 6 Nil Nil 6,355 Nil Nil Golden Age Gold-mining Co., Ltd. .. .. 2/7/26 12,000 1,250 2,000 120,000 0/3 j 345 3 Nil Nil 1,157 Nil Nil Iris Gold-mining Co., Ltd. .. .. .. 17/4/24 2,500 2,500 j Nil 100 £25 Nil 40 j 5 Nil Nil 1,641 Nil 449 Ohinemuri Gold and Silver Mines, Ltd. .. .. 1/6/14 101,417 42.310 55,175 202,834 10 -, 5/-, and 132 216! 17 7,282 1.354 45,070 Nil 2,061 2/6 Majestic Gold-mining Co., Ltd. .. .. .. 14 12/22 41,506 33.151 8,301 166,025 2/3, 4/9, and j 12 221 14 Nil Nil 37,913 Nil 311 5/New Waiotahi Gold-mining Co. (No Liability) ..- j 31/8/22 | 31,272 7,685 4.000 125,090 1 6 and 1/5 ; 4 168 j 7 211 : 567 7,316 Nil 107 Argo Concentrates, Ltd. " .. .. ..I 2/8/24 12,000 4,789 5,000 12,000 13/6 and 12/6 22 205! Nil Nil Nil 1,236 Nil 165 Hauraki Reefs, Ltd. (in liquidation) .. .. 28/4/10' 12,416 j 11,681 5,083 175,000 Various Nil 414 Nil .. 9,175 21,969 Nil 33 Muir's Gold Reefs, Ltd... .. .. .. 14/5/20 ! 81,692 ; 81,692 Nil 81,754 | Various 61 206 13 .. i 164,776 326,802 Nil 58,294 NELSON DISTRICT (INCLUDING WEST COAST). Howard Sluicing Co., Ltd. .. .. .. 12/3/25 1,728 914 600! 6,914 5/-and 4/- Nil 40 Nil 50 209 739, Nil 15 Mount Greenland Gold Quartz-mining Co., Ltd. .. 21/11/14 5,000 3,918 885 10,000 10/- 30 75 Nil 2,031 7,792 10,887 499 170 Buller Gold-mining Co., Ltd. .. .. .. 30/5/23 10,000 5,227 2,001 10,000 20/- Nil 14 Nil 109 442 15,153 Nil 7,880 Ngahere Gold Prospecting Co., Ltd. .. .. 22/12/25 22,000 3,371 18,000 44,000 5/-, 8/-, and 9/- 228 33 5 Nil Nil 3,280 Nil Nil New River Gold-dredging Co., Ltd. .. .. 8/5/25 50,000 28,098 25,000 50,000 22/6 ' 1,174 57 20 472 2,190 28,442 Nil 4,239 Reefton Gold-mines, Ltd. .. .. .. 20 1019 107,935 69.586 20,000 107,935 Various 9,288 587 .. .. .. .. Nil 9,609 New Millerton Mines, Ltd. .. .. .. 1/3/20 50,000 17,425 29,500 50,000 20/- and 17/- Nil 124 4 872 3,626 26,530 Nil 7,888 New Discovery Mines, Ltd. .. .. .. 1/3/20 50,000 12,000 26,000 50,000 20/- and 10/- Nil 22 1 Nil Nil 8,197 Nil 5,510 South Blackwater Mines, Ltd. .. .. .. 1/3/20 75,000 9,600 43,000 75,000 20/- and 6/- Nil 164 22 Nil Nil 18,221 Nil 11,621 South Big River Mines, Ltd. .. .. ..15 12/23 25,000 1,000 20,000 25,000 20/- and 4/- Nil 39 6 Nil Nil 4,363 Nil 3,363 Rimu Gold-dredging Co., Ltd. .. .. .. 20 7 20 213,572 142,863 70,709 213,572 20/- Nil 35 48 55,560 238,160 172,503 13,098 291 Wealth of Nations Mine, Ltd. .. .. .. 15/7/22 20,000 14,991 5,000 20,000 20/-, 17/-, and 8 99 33 7,753 32,902 52,761 Nil 9,548 16/-

C.—2

34

Table 2—continued. Statement of Affairs of Mining Companines, as published in accordance with the Companies Act, 1908—continued.

Name of Company Date of Subscribed | otcapSaij o~s Amount paid Arrears 3bE£ j G °f|SSS" d | of rfWto -Name of Company. Registration. Capital. actually ® pj eh oiintfS per Share. of Calls, holders at Men em- since Registration. j S j nce Dividends owing by i paid up. wmc „ Lasil allottea - present, ployed. , Registration. paid. Company. ' Quantity. Value. NELSON DISTRICT (INCLUDING WEST COAST) —continued. | £ £ £ £ Oz. £££ £ Alexander Mines, Ltd. .. .. .. .. j 9/3/26 75,000 16,093 29,000 75,000 7/- 6 255 14 j 806 3,103 7,613 Nil j 2,125 Victory Mines Syndicate, Ltd. .. .. .. 20/2/18 15,000 8,869 3,750 15,000 Various Nil 149 2 12 49 9,112 Nil j 26 Taylor's Creek Gold-sluicing Co., Ltd. .. .. 26/8/14 2,500 2,500 6,250 35 £250 Nil 10 Nil .. 168 2,500 Nil 27 Mahakipawa Goldfields, Ltd. .. .. .. 12/10/23 8,515 8,515 15,025 384,563 Various Nil 347 .. Nil Nil 11,526 Nil 814 New Big River Gold-mining Co., Ltd. .. .. 19/8/07 6,000 600 Nil 24,000 6d. Nil 65 29 92,766 392,590 288,001 112,800 3,853 North Big River Gold-mines, Ltd. .. .. 29/10/19 48,251 12,769 34,000 48,251 15/3 and 14/9 1,050 79 2 Nil Nil 9,575 Nil Nil New Murray Creek Gold-mines, Ltd. .. .. 25/7/23 15,000 4,821 10,000 15,000 20/- and 10/- 75 64 j Nil 328 1,199 2,955 Nil 673 Southern Mines Development Corporation, Ltd. .. 1 27/7/26 20,260 3,569 Nil 20,260 Various 840 206 Nil Nil Nil .. Nil Nil OTAGO DISTRICT. Billy Creek Development Co., Ltd. .. .. 28/7/26 ! 21,600 160 j 20,000 1 21,600 20/- and 2/- Nil 5 Nil Nil Nil 94 Nil 12 > Blacks Gold-mining Co., Ltd. .. .. .. 2/10/25 34.000 3,990 i 14,000 34,000 20/-, 4/-, and 10 72 3 Nil Nil 3,322 Nil 53 3/Shotover Consolidated, Ltd. .. .. .. 19/2/26 j 56,950 20,050 i 30,000 56,950 Various Nil 93 1 ' Nil Nil 427 Nil 554 N.Z. Platinum, Ltd. .. .. .. .. 30/7/26 7,864 3,414 2,250 7,864 Various 94 111 4 Nil Nil 3,243 Nil 697 St. Bathan's Gold-mining Co., Ltd. .. .. 6/6/25 45.000 21,240 22,000 45,000 20/- and 13/- Nil 166 j 11 37 147 22,479 Nil 1,280 Shotover Gold Claims, Ltd. .. .. .. 28/1/26 7,131 1,749 3,000 7,131 Various 348 101 Nil Nil Nil 527 Nil Nil Kawarau High Level Mining Co., Ltd. .. .. 17/8/25 i 7,000 4,684 1,000 7,000 16/- and 14/- 28 54 8 Nil Nil 4,566 Nil 381 United M. and E. Water-race Co. (Registered) .. 23/4/72. 7,600 7,600 Nil 152 ' £50 Nil 9 16,909 69,138 74,696 3,868 Nil Golden Bed Mining Co., Ltd. .. .. .. 8/12/24 5,390 2,746 1,925 10,780 Various 9 133 Nil Nil Nil 2,629 Nil 47 Nokomai Sluicing Co., Ltd. .. .. .. 14/6/26 25,000 9,739 10,160 25,000 I 20/- and 15/- 1,390 65 30 98 i 365 4,897 j Nil 480 Golden River Mining Co., Ltd. .. .. .. 21/1/25 4,890 2,611 1,300 4,890 j 20/- and 15/- Nil 91 Nil Nil Nil 2,665: Nil Nil Hidden Treasure Gold-mining Co., Ltd. .. .. 16/6/25 2,400 2,400 Nil 2,400 I 20/- Nil 13 .. Nil Nil 2,384 Nil 40 Birthday Claims, Ltd. .. .. .. .. 8/12/24 4,500 2,500 2,000 4,500 20/- Nil 26 Nil Nil Nil 1,929 Nil 18 Akarana Claims, Ltd. .. .. .. .. 25/10/24 3,500 2,000: 1,500 3,500 20/- Nil 12 Nil Nil Nil 1,757 Nil 35 Golden Gorge Mining Co., Ltd. .. .. .. j 27/11/25 5,038 4,079 235 20,155 5/-, 4/-, and 3/- 59 277 Nil Nil Nil 2,506 Nil 201 Lady Ranfurly Gold-mining Co. (Kawarau), Ltd. .. 12/8/25 7,585 3,422 3.000 30,343 5/-, 2/-, and 1/- 212 I 43 1 Nil Nil 215 j Nil Nil Lucky Chance Kawarau Claims, Ltd. .. .. 29/11/24 8,000 6,000 I 2,000 32,000 5/- ; Nil j 312 I Nil Nil Nil 5,773 Nil 537 Upper Nevis Gold-dredging Co., Ltd. .. .. 20/9/26 25,000 10,275 5,000 30,000 • 10/- 2,225, 150 31 Nil Nil 9,918 j Nil 2,498 Another Chance Kawarau Gold, Ltd. .. .. 15/12/24 1 8,000 6,000, 2,000 32,000' 5/- Nil 367 Nil Nil Nil j 5,768 Nil 443 Wairarapa Gold Claims, Ltd. .. .. .. 18/11/24 I 10,200 6,322 | 500 10,200 13/- and 11/-' | Nil 138 Nil Nil Nil 6,213 Nil Nil Tallaburn Hydraulic Sluicing Co., Ltd. .. .. 3/12/04 1,200 1,200 Nil 12 £100 Nil 9 2 2.309 8,972 11,316 1 1,380 336 Molyneaux Electric Gold-dredging Co., Ltd. .. 23/7/25 9,000 6,500 2,500 9,000 20/- Nil 100 1 3 11 1,500 Nil 63 Temuka Gold-mining Co., Ltd. .. .. .. 11/12/24 2,000 1,160 Nil 2,000 12/'- Nil 10 1 Nil Nil 1,156 Nil Nil Golden Chance Mining Co., Ltd. .. .. .. 10/7/25 1.400! 1,183 600 8,000 4/3 6 : 28 Nil .. 1 1,018 Nil Nil Natural Bridge Gold-mining Co.. Ltd. .. .. 8/4/25 2.600 2,178 1,400 16,000 4 6 6 35 Nil 4 18 1,938 Nil Nil Nevis Junction Gold-mining Co., Ltd. .. ..! 23/6/26 3,477; 3,032 1,650 20,510 5/-and 3/3 405 74 Nil ! Nil Nil 2,658 Nil 20 Cromwell Gold-mining Co., Ltd. .. .. .. 6/2/25 1,325 1,057 600 1,925 17/- 68 ■ 34 Nil 1 5 992 j Nil 44 Broken Hill Mining Co., Ltd .. .. .. 1 2/8/26 1 2,357 : 1,597 1 1,200 14,230 5/-, 2/3, and 1/3 248 1 37 Nil Nil Nil .. Nil 345

35

C.—2.

FOREIGN COMPANIES.

King Solomon Gold-mines, Ltd. .. .. .. 23/12/25 8,033 | 6,310 2,700 8,033 16/- 303 153 5 : Nil Nil 6,068 Nil 295 King Solomon Consolidated Gold-mines, Ltd. .. 26/6/26 2,270 ' 2,135 3,000 100,000 1/- Nil 36 4 Nil Nil 1,985 Nil 500 Vogel's Vision Gold Co., Ltd. .. .. .. 19/11/24 16,020 12,855 Nil 100,000 4/-and 5/- Nil 244 1 1J 6 12,139 Nil 89 New Bra Gold-mining Co., Ltd. .. .. .. 4/3/25 7,000 4,387 1,500 7,000 Various 24 191 Nil Nil Nil 372 Nil 51 Clutha Junction Consolidated Prospecting and Gold- 6/8/26 2,350 : 850 .. 2,350 10/- 325 36 Nil Nil Nil 31] Nil Nil dredging Co.. Ltd. Sandhills Gold-mining Co., Ltd. .. .. .. 19/12/13 7,000 2,000 5,000 7,000 20/- Nil 20 4 1,192 4,562 17,001 Nil 5,438 Central Treasure Gold-mining Co., Ltd. .. .. 15/7/25 6,942 ; 4,221 1,500 13,884 Various 153 175 13 .. 1 484 Nil 66 Glenorchy Scheelite Mining Co., Ltd. .. .. 6/12/11 3,000 : Nil 3,000 3,000 20/- Nil 11 Nil .. 313* 84,712 7,125 765 Kawarau Gold-mining Co., Ltd. .. .. .. 8/4/24 14,984 , 4,984 9,999 299,683 Various Nil 1,037 23 Nil Nil 107,099 Nil 5,714 Skipper's Sluicing Co., Ltd. .. .. .. 20/11/11 3,450 345 3,105 3,450 20/- Nil 30 2,034 8,561 9,673 Nil 1,594 Good Fortune Gold-mining Co., Ltd. .. .. 13/5/25 1,800 .. 600 1,800 20/- Nil 12 Nil Nil Nil 721 Nil Nil MoGeorge Bros., Ltd. .. .. .. .. 27/3/12 11,400 11,400 Nil 11.400 20/- Nil 6 1 29,939 127,606 78,763 46,800 Nil Golden Kawarau Claim, Ltd. .. .. .. 27/5/25 2,958 2,871 300 32,580 2/- 86 285 Nil Nil Nil 572 Nil 939 Golden Crescent Sluicing Co., Ltd. .. .. 26/11/98 3,500 3,500 Nil 3,500 20/- Nil 20 6 13,224 52,876 43,531 1.400 169 Lawrence Sluicing Co., Ltd. .. .. .. 18/3/16 5,000 5,000 Nil 5,000 20/- Nil 23 6 5,307 ! 22,269 21,508 3,000 46 Gabriel's Gully Sluicing Co., Ltd. .. .. 2/5/07 600 600 Nil 600 20,/- Nil 9 14 18,611 ! 73,406 64,320 18,615 20 Sailor's Gully (Waitahuna) Gold-mining Co., Ltd. .. 3/6/96 8,400 200 8,200 8,400 I 20/- Nil 26 6 10,876 43,029 35,508 8,570 101 Lowburn and Bendigo Prospecting Co., Ltd. .. i 19/10/26 1,250 180 250 25 £10 10 15 2 Nil Nil 158 Nil 147 St. Bathan's Channel Co., Ltd. .. .. .. 4/1/82 4,590 4,590 Nil 81 Various Nil 4 Nil 1,507 5,817 11,113 Nil 725 Vinegar Hill Hydraulic Sluicing Co., Ltd.. . .. 23/9/00 6,000 6,000 Nil 6,000 20/- Nil 17 3 5,462 20,905 19,933 1,050 1,200 Colossus Gold-mining Development Co., Ltd. .. 28/8/14 30,473 12,473 18,000 30,473 20/- Nil 65 1 Nil Nil 34,772 Nil 4,649 Scandinavian Water-race Co... Ltd. .. . . 10/12/07 7 7 9,750 9,757 20/- Nil 20 7 11,107 i 43,870 47,360 Nil 1,624 * Also Scheelite, value £88,165.

Date of of CapSal Number ot ' Amount paid ' Arrears of "share- °§~f GoW nroduced ! Total Amount of Same of Company Begistration Subscribed 'tfwllv htSders on Shares on upper of Calls, holders S £-S Qol , 1 ™Expenditure fS?™ 1 *®* of Comcompany. of Office in Capital. D ®?d mta wWoh no Cash D ° m ™on Share, Dominion Dominion on fg&g " since Dmdends , Dominion. CS mid Register. Register. Register, i Dominion gis ftfl - SI Registration. J"".' New dominion. paict. I | Kegister Quantity. ; Value. Dominion. Zealand. £ £ £ £ Oz £ £ £ £ New Zealand Crown Mines Co., Ltd. .. .. 13/1/14 39,585 11,367 .. 116,529 4/-, 3/6, and 3/- 285 159 6 17,618 16,848 45,951 Nil I "74 Komata Reefs Gold-mining Co., Ltd. . . .. 16/10/00 40,000 .. .. 219,593 1/- Nil 367 Nil 77,797 \ 3f)3 782* rOl£)d\.Zi OOXj4:lv) / , 4rUU JNll Clutha Development, Ltd. .. .. .. 27/8/24 10,000 Nil 5,000 2,160 20/- Nil 11 3 Nilt Nil 3,339 Nil . 45 Waihi Grand Junction Gold Co., Ltd. .. .. 22/12/97 38,437+ 40,494 112,500 266,979 2/- Nil 1,041 4 .. 2,341,856 2,348,695 145,689 86 Waihi Gold Mining Co., Ltd. .. .. 7/12/87 123,976 4,803 53,333 240,840 5/- Nil 1,913 639 21,941,088 15,116,428 8,875,120 1,095,096 24,085 * Silver. t Company is a prospecting company, not a producing company. j Written down from £384,375 to 2/- per share.

C.— 2

36

APPENDIX B.

REPORTS RELATING TO THE INSPECTION OF COAL-MINES. The Inspecting Engineer and Chief Inspector of Coal-mines to the Under-Secretary of Mines. Sir, — Wellington, Bth July, 1927. I have the honour to present my annual report, together with statistical information, in regard to coal-mines of the Dominion for the year ended 31st December, 1926, in accordance with section 42 of the Coal-mines Act, 1925. The report is divided into the following sections : — I. Output. 11. Persons employed. 111. Accidents. IV. Working of the Coal-mines Act — (a) Permitted Explosives. (b) List of Mines required by Law to use Permitted Explosives. (c) List of Mines required by J jaw to use Safety-lamps. (d) Dangerous Occurrences. (e) Electricity at Collieries. (/) Prosecutions. V. Legislation affecting Coal-mining. Annexures — A. Summary of Annual Reports by Inspectors of Mines. B. Colliery Statistics.

SECTION I.—OUTPUT. The output of the several classes of coal mined in each inspection district is summarized as follows :—

The following is a table showing the annual production of coal and the quantity of coal imported since 1911 :—

Output of Coal during 1926. : Total Output Class of Coal. . to the Northern District West Coast Dist rict Southern District TWoia End of 192G. | (North Island). (South Island). (South Island), j lotais. Tons. Tons. Tons. Tons. Tons Bituminous and sub-bituminous 111*,918 1,084.470 .. 1,196,388 39,179,785 Brown .. .. .. 541,931 37,450 326,444 905,825 20,807,277 Lignite .. .. .. .. 256 137,530 137,786 3,972,280 Totals for 1926 .. 653,849 1,122,176 463,974 2,239,999 63,959,342 Totals for 1925 .. 672,403 951,396 491,196 2,114,995 61,719,343

I I I Total Quantity of 1 Total Quantity of Year. I Coal produced. Coal imported. Coal produced and Year. Coal produced. Coal imported. Coal produced and imported. i imported. I I ■ I I I • . Tons. Tons. Tons. Tons. Tons. Tons. 1911 .. 2,066,073 ; 188,068 2,254,141 1919 .. I 1,847,848 391,434 2,239,282 1912 .. 2,177,615 364,359 2,541,974 1920 .. I 1,843,705 476,343 2,320,048 1913 .. 1,888,005 i 468,940 2,356,945 1921 .. : 1,809,095 822,459 2,631,554 1914 .. 2,275,614* 518,070 2,793,684* 1922 .. 1,857,819 501,478 2,359,297 1915 .. 2.208,624 i 353,171 2,562,095 1923 . . 1,969,834 445,792 2,415,626 1916 .. 2,257,135 293,956 2,551,091 1924 .. ; 2,083,207 674,483 2,757,690 1917 .. 2,068,419 291,597 2,360,016 1925 .. | 2,114,995 572,573 2,687,568 1918 .. ! 2,034,250 255,332 2,289,582 1926 .. 2,239,999 483,918 2,723,917 * Includes 21 tons of shale.

37

0.—2

The gross output of coal for 1926 was 125,004 tons in excess of the output for 1925. Tliis increase is wholly due to the increased production of bituminous coal, which is 151,662 tons in excess of the amount produced in the previous year. The output of brown coal showed a small decrease of 5,600 tons, and of lignite a decrease of 21,058 tons. In the Northern District the output of bituminous coal for the year was 19,622 tons less than in 1925, due to the flooding of Hikurangi Shaft Colliery workings ; the output of brown coal showed a small increase of 1,068 tons, making a net decrease of 18,554 tons for the district for the year. In the West Coast District there was an increase of 171,284 tons of bituminous coal, a decrease of 321 tons of brown coal, and a decrease of 183 tons of lignite, making together a net increase for the year of 170,780 tons for this district. In the Southern District there was a reduction of 6,347 tons in the amount of brown coal produced, and a reduction of 20,875 tons of lignite, a total reduction of 27,222 tons for the year in the output of this district. During part of the year the market was not able to absorb all the coal that was offering, and consequently many of the mines had to work short time. Prospects improved towards the end of the year by reason of the fact that the Railway Department was able to take larger quantities of local coals in place of Australian coal for locomotive purposes. The production from and the number of persons employed at the collieries of the Dominion are shown in the following table: —

SECTION II.—PERSONS EMPLOYED.

Total w Total Output to Number of Name of Colliery. Locality. Class of Coal. 31st December, Persons 1926. ordinarily employed. Aorthe.ru District. Tons. Tons. Hikurangi (2 collieries) .. .. Hikurangi .. Sub-bituminous 29.060 1,591,833 147 Wilson's Colliery .. .. „ „ 61,409 293,513 168 Rotowaro .. . .. Huntly .. Brown 151,928 905,404 266 Pnkemiro .. .. „ .. „ .. 147,545 1.299.130 242 Waipa .. .. .. . „ .. 61,534 854,935 117 GlenAfton .. .. . Glen Afton .. „ .. 145,464 492,046 282 West Coast District. Westport-Stockton .. .. Ngakawau Sub-bituminous 104,804 2,192.827 240 Millerton .. .. .. Millerton .. „ .. 237,747 7,345,288 466 Denniston .. Denniston .. ,, 231,018 9,125,618 522 Westportmain .. .. .. Westport .. „ .. 23,076 28,874 41 Cardiff Bridge .. .. .. Seddonville .. „ .. 27,761 84,472 37 Paparoa .. Koa .. „ .. 35,503 544,117 96 Blackball .. .. Blackball .. „ .. 101,237 3,466,834 361 Liverpool (State).. .. Rewanui .. ,, 145,408 1,615,187 421 James (State) .. .. .. Rapahoe .. „ .. 33,739 106,390 80 Dobson.. .. .. .. Dobson .. „ .. 42,446 59,001 149 Southern District. Kaitangata and Castlehill (3 collieries) Kaitangata .. Brown 95,203 4,454,509 295 Taratu .. .. .. „ .. Lignite . 28,797 634,766 51 Linton (2 collieries) .. .. Nightcaps .. Brown .. 71,727 300,584 126 Wairaki „ .. .. „ .. „ .. 33,796 200,343 89 Black Diamond .. .. ,, .. „ .. 24,885 166,327 58 Birchwood .. .. .. Ohai .. „ .. 28,107 115,919 60 125 other collieries All coalfields .. Various 367,805 6,705,923 845 Collieries abandoned or suspended, &c. Various .. „ .. .. 21,287,985. Totals .. 2,239,999 63,959,342 5,159

Average Number of Persons employed during 1926. Inspection District. Above Ground. Below Ground. Total. Southern .. .. .. .. 268 769 1,037 West Coast .. .. .. .. 739 2,041 2,780 Northern .. .. .. .. 329 1,013 i 1,342 I ; Totals, 1926 .. .. 1,336 3,823 5,159 Totals, 1925 .. .. 1,288 3,489 j 4 > 777

C.—2

38

The following statement shows the tons of coal raised, persons employed, lives lost by accidents in or about collieries, &c., to 1926.

SECTION lII.—ACCIDENTS. The following is a summary of accidents in and about coal-mines during 1926, with their causes : —

The fatal accidents for the year were at the rate of 2-90 per thousand persons employed and 6-69 per million tons of coal produced. The following is a short account of the fatal accidents : — At Millerton Mine, on the 20th January, a miner named John Brown went back into his workingplace after a shot had been fired and commenced to trim down the face, when a piece of top coal fell and struck him on the head, fracturing the base of his skull and his neck. The verdict at the inquest was that no blame was attachable to any one. In the Millerton Mine, on the 20th May, John Evans, a deputy, was struck by a runaway truck, and died on the same day from the injuries he received. Deceased was standing near the foot of a jig waiting till a race was run. The jig was about 4 chains long. When the race got over the brow

Lives lost by Accidents in or Persons ordinarily employed. Tons raiae( j about Collieries. Year. Output, in | per each Per- : p Statute Tons. son employed Per Million Thousa nl i Number Above Around. Below Ground. Total. below Ground., J°j\ s Persons "'inlf 66 produced. employed . lost. Prior to 1900 13,444,437 * * * * * ! * 165 1900 .. 1,093,990 617 1 1,843 2.460 593 3'65 ! 1-62 4 1901 .. 1,239,686 688 2,066 2,754 600 2-42 1-09 3 1902 .. 1,365,040 803 2,082 2,885 655 1-46 0-69 2 1903 .. 1,420,229 717 2,135 2,852 665 2-81 1-40 4 1904 .. 1,537,838 763 2,525 3,288 609 2-60 i 1-21 4 1905 .. 1,585,756 833 2,436 3,269 651 3-78 1-83 6 1906 .. 1,729,536 1,174 2,518 3,692 687 3-46 1-62 6 1907 .. 1,831,009 1,143 2,767 3,910 662 6-55 307 12 1908 .. 1,860,975 992 2,902 3,894 641 2-68 1-28 5 1909 .. 1,911,247 1,159 3,032 4,191 630 3-66 1-67 7 1910 .. 2,197,362 1,136 3,463 4,599 634 7-28 3-48 16 1911 .. 2,066,073 1,365 2,925 4,290 706 6-77 3-26 14 1912 .. 2,177,615 1,130 3,198 4,328 681 4-13 2-08 9 1913 .. 1,888,005 1,053 3,197 4,250 590 3-18 1-41 6 1914 .. 2,275,614 1,176 3,558 4,734 639 21 53 10-35 49f 1915 .. 2,208,624 1,050 3,106 4,156 711 4-07 2-16 9 1916 .. 2,257,135 988 3,000 3,988 752 2-65 1-50 6 1917 .. 2,068,419 1,090 2,893 3,983 715 1-93 i 100 4 1918 .. 2,034,250 1,102 2,892 3,994 703 2-95 1-50 6 1919 .. 1,847,848 1,095 2,849 3,944 648 5-41 2-53 10 1920 .. 1,843,705 1,152 2,926 4,078 630 0-54 0'24 1 1921 .. 1,809,095 1,218 3,149 4,367 574 5 52 j 228 10 1922 .. 1,857,819 1,191 3,365 4,556 552 3-23 1-31 6 1923 .. 1,969,834 1,353 3,647 5,000 540 2*53 I 1-00 5 1924 .. 2,083,207 1,364 3,505 4,869 594 4-80 ' 2-05 10 1925 .. 2,114,995 1,288 3,489 4,777 606 3-78 1'07 8 1926 .. | 2,239,999 1,336 3,823 5,159 586 6-69 2-90 15 Totals .. 63,959,342 .. | .. .. .. •• 402 * For returns for previous years see page 32, Mines Statement, 1921. t Year of Ralph's (Huntly) explosion.

Fatal Accidents. Serious Non-fatal Accidents. Number of Persons Number of Nnm[lpr nf Number of Separate Fatal ?2nfh« Separate Non-fatal whinif Accidents Deaths. F Afoidpnts Accidents which Accidents. Accidents. proved Fatal to their Companions. Explosions of fire-damp or coal-dust 1 9 1 1 Falls of ground .. .. . . 3 3 13 13 Explosives Haulage ........ 1 1 1 1 Miscellaneous —Underground .... 2 2 6 6 On surface .... .. .. 1 1 Totals ........ 7 15 22 22

C.—2

39

the rope capping broke, and the full race struck the empties and uncoupled two, which ran back. One of the empties jumped the curve at the foot of the jig and crushed deceased against the rib-side. An examination of the rope capping showed that it had broken at a faulty weld. The verdict at the inquest was that no blame was attachable to any one. In the Blackball Mine, on the 17tli August, James Outram, a miner, was killed by a fall of roofstone. Deceased was greasing rollers at the top of No. 9 dip under roof, which had been timbered and was thought to be safe. A large stone dropped from between two greasy heads and crashed through the timber under which deceased was standing. At the inquest the verdict was that all the usual precautions appeared to have been taken to make the place safe. At Linton Mine, on the 2nd October, Anthony F. Francis, a miner, was asphyxiated by firedamp. The deceased left his own working-place and wandered into some old workings. It was some time before he was missed and a search made. His body was found a short distance up an overcast from another section, and the overcast was full of firedamp. At Kaitangata Mine, on the 15th October, George White Hosking, a miner, was killed by a fall of stone. Deceased and his mate were taking a lift off a pillar and the roof became unsound, so the deputy ordered them to leave that place and commence work on a pillar on the low side. This they did. Some four hours later the whole roof in both places collapsed without warning and buried deceased. The place was well timbered prior to the fall. The verdict at the inquest was that no blame was attachable to any one. At the Liverpool State Mine, on the 17th November, a miner, John Birch, was struck by a jigprop which had pulled out while a truck was being run. He died on the 26th November, as a result of the injuries received. The jig-prop had been sunk in the floor a short distance, but the stone in front of the hole had broken and so freed the jig-prop. The verdict at the inquest stated that all the usual precautions had been taken and that no blame was attachable to any one. In the Dobson Mine a violent explosion occurred at 3 o'clock on the morning of the 3rd December. At the time of the explosion nine miners were working in the mine, and all of them lost their lives. Their names were James Richards (Deputy), Robert Hunter (winchman), John Lindsay (Miner), Eric Ashton (trucker), Thomas Black (miner), James Marshall (miner), Ernest Brammer (miner), Alfred Noakes (miner), Edward Partington (miner). Soon after the explosion a rescue-party, headed by the mine-manager and the president of the union, went down the mine in an endeavour to rescue the men in the mine. They found four men in the winch-house at the top of No. 1 dip, three of whom were dying and one was dead, and they brought them to the surface. A second rescue-party, in charge of the Inspector of Mines, made a further attempt, but were unable on account of smoke and fires to reach the parts of the mine where the remaining men had been working. The rescue-party found there was no hope of these men being alive, and that it was impossible at that time to recover their bodies, also that any attempt to do so would almost certainly lead to further loss of life. It was then decided to seal the mine by means of stoppings. Two further explosions occured, one at 3 p.m. and another at 9 p.m. which blew out the stoppings. The mine was now burning furiously, so there was no alternative left but to flood the workings. This was done. It was not till February of this year that the necessary plant for unwatering the mine was procured and erected, and the last body was not recovered till the 17th May. After the mine was reopened a thorough examination of the workings was made with a view to determining the origin and cause of the first explosion, but it was found that the second and third explosions and the subsequent flooding of the mine had destroyed practically all the evidence. A large outburst of gas had been known to occur some months earlier in the Dobson Mine. The roadways of the mine were practically all damp, and nowhere was there dry coal-dust in sufficient quantity or fineness to originate an explosion. It is therefore practically certain that the first explosion was originally an explosion of a large body of fire damp, accompanied with sufficient violence and heat to enable the explosion to be carried on as a dust-explosion by means of the coarse dust and small coal present on the roadways. The few facts observed by the rescue-parties who entered the mine after the first explosion point to the explosion having originated in the rise workings. But no men were at work there, and it is very difficult to see how an accumulation of gas in the rise could have been ignited unless it was by means of a flame safety-lamp left behind by the previous shift. It is now known, however, that the issue and return of safety-lamps were not properly checked, and that on at least one occasion prior to the explosion a flame safety-lamp had been left behind by the person using it. All the men at the time of the explosion were working down the dip, and clear evidence of a blown-out shot was found after the explosion, in one of the dip places. But if this shot was the cause of the ignition of gas it must have been fired by the miner working in the place and not by the shotfirer, as the body of the latter was found in the winch-house, about 1,000 ft. away, where he had evidently gone to have his " crib," and in addition the handle of Ms shot-firing machine was found in his pocket. The Department at various times had had trouble with the management over the ventilation of the mine, and had successfully prosecuted the manager on two occasions for not complying with the requirements of the law regarding ventilation. But for some months prior to the explosion the ventilation had been improved greatly, and an inspection made just prior to the explosion had found all the working-places well ventilated. The coal-dust danger was recognized, but the condition of the roadways was such that the regulation in operation at that time did not require the mine to be stonedusted. Before the explosion it was decided to drastically amend the stone-dusting regulation, and the proposed amendment has since been effected.

C.—2

40

SECTION IV. —WORKING OF THE COAL-MINES ACT. (a) Permitted Explosives. (Regulations 233 to 237 inclusive.) The following is a table showing the quantity of permitted explosives used and the number of shots fired at New Zealand coal-mines during 1926 : —

Seventy-five per cent, of the coal produced in the Dominion during 1926 was broken down by permitted explosive, and the average production of coal per pound of explosive used was 3-88 tons, and per shot fired 3-13 tons. (b) List of Mines required by Law to use Permitted Explosives. The following is a list of mines as at the Ist December, 1926, required by law to use permitted explosives : — Northern Inspection District. Pukemiro Collieries, Pukemiro —throughout South Mine. Rotowaro Colliery, Rotowaro—throughout Nos. 1 and 3 Mines. Glen Afton Colliery, Glen Afton —all sections of the mine with the exception of A section. Waikato Extended Colliery, Huntly—throughout the mine. West Coast Inspection District. North Cape Mine. I Ferndale-Timaru Coal Company's mine. Puponga Mine. Sherwood (now Morrisvale) Mine (Morris and Westport-Stockton Mine. j Learmont). Westport Coal Company's mines. Paparoa Mine. J. T. Dove's mine. j Blackball Mine. Coal Creek Mine (McGuire and party). Armstrong and party's mine. Cardiff Bridge Mine. ! Baddeley and party's mine. Old Cardiff (Clay Pit). ' Boote and party's mine. St. Helens Mine (McAllister and party). Dixon and party's mine. Westport-Mokihinui Mine. I Clark and party's mine (Hillside). Chester and party's mine. Duggan and party's mine. Marris and Murray's mine. Hunter and party's mir Ngakawau Mining Syndicate's mine. j Manderson and party's jiine. WbiteclifFs Mine. Mclvor and party's mine. Reefton Coal Company's mine. Moody Creek Mine (Simpson and party.. Phoenix and Venus Mine. Smith and party's mine. Victory Mine (now Calliope). , Spark and party's mine. Woodlands Mine. j James Mine. Empire Mine. I Liverpool Collieries. Lankey's Creek Mine (Bolitho Bros.). I Southern Inspection District. Castle Hill Mine, Kaitangata— throughout the mine. Kaitangata No. 1 Mine, Kaitangata —throughout the mine. Kaitangata No. 2 Mine, Kaitangata- throughout the mine. Wairaki No. 1 Mine, Ohai —throughout the mine. Birchwood Mine, Ohai—throughout the mine. Linton No. 2 Mine, Ohai. Ohai Coal Company's mine, Ohai.

Number of Misfired Shots. ■ I s •kt i_ k : <u <v o'-5 Number > > • > <v ° Inspection District. of o. Ja «u « Shots fired. «> «■§ ® I~ § . I ' | If | 5| || «-• fa 2 § I a J ; y |° m cq a ■«: Tons. Northern (i.e., North Island) .. 83,770 102,520 .. 170 14 184 340,558 West Coast (of South Island) .. 175,508J .. 327,105 11 520 205 730 1,103,967 Southern (i.e., Canterbury, Otago, 24,382J| .. 53,326| 110,289 .. 61* 18* 85 241,358 and Southland) I Totals .. .. 283,661| .. 150,052f 539,914 11 751 237 ' 1,005 1,685,883 * Unaccounted for, 6.

41

C.—2

(c) List op Mines required by Law to use Safety-lamps. The following is a list of tlie mines as at the Ist December, 1926, required by law to use safety-lamps : — Northern Inspection District. Pukemiro Collieries, Pukemiro —Main north heading section (now abandoned). Rotowaro Colliery, _Rotowa.ro —throughout No. 1 Mine. Glen Afton Colliery, Glen Afton —No. 1 heading section. West Coast Inspection District. State Collieries—Morgan seam. State Collieries —Morgan low-level adit. State Collieries—No. 4a Mine. Hilton and party's mine. Hunter and party's mine. Manderson's and party's mine. Paparoa Coal Company's mine. Millerton Mine (Westport Coal Company'*. Dobson Mine (Grey Valley Collieries). Southern Inspection District. Castle Hill Mine, Kaitangata —throughout each shift. Kaitangata No. 1 Mine, Kaitangata —throughout each shift. Kaitangata No. 2 Mine, Kaitangata—throughout each shift. Wairaki No. 1 Mine, Ohai —throughout each shift. Birchwood Mine, Oliai —throughout each shift. New Brighton No. 1 Mine, Ohai —throughout each shift. Linton No. 2 Mine, Ohai. Ohai Coal Company's mine, Ohai. (d) Dangerous Occurrences reported. (Regulation 82.) The following is a short account of the more serious of these. A full list is contained in the District Inspectors' reports. Hikurangi Mine. —On the 20th May the workings of the shaft colliery were flooded by a serious inrush of surface water, which found its way into the mine through fault breaks and cracks extending to the surface from pillared areas underground. The inrush was estimated at 40,000 gallons per hour, and as the pumps had a capacity of only 16,000 gallons per hour the pumps and motors were soon submerged. It was not until September that additional pumping plant was procured and put into operation. The mine was unwatered in November and the workings recovered. The workings, other than those on the east side, were found to be in good order ; on the east side a section that had been badly damaged by a previous fire, the roof had fallen badly in the majority of the bords, and the whole section had to be again sealed off by a new line of stoppings. Millerton Mine. —A serious fire broke out in Evans' section of the Millerton Mine on the 10th June. In spite of strenuous efforts made to check the fire by means of temporary stoppings it advanced rapidly, and only with great difficulty was it prevented from spreading throughout the whole mine. After four sections of the mine and part of another had been lost the management succeeded in staying the advance of the fire. The temporary stoppings were afterwards backed by permanent stoppings of brickwork or concrete. This fire was difficult to deal with, on account of the numerous breaks to the surface over the pillared area ; the thickness of the seam, which was as much as 40 ft. in some parts of the mine; the size of many of the roadways, which in some cases were up to 18 ft. wide and 16 ft. high ; and more especially the fact that no panel system was in operation and no prior taken to rapidly isolate any fire that might occur. As already stated, it was only with great difficulty that the fire was prevented from spreading throughout the whole mine. As it was the fire was not checked till an area of approximately 40 acres was lost, containing something like 1,000,000 tons of coal. It is highly probable that a considerable portion of this area will lie recovered, but some of it is lost for ever. A fire of this magnitude occasions great loss to the company, and is a grave menace to the safety of the mine. To prevent a recurrence the company is taking active steps to block off the mine into small artificial panels by means of concrete stoppings, so that when a fire does occur in one of these panels there will be only two stoppings to build, which can be done expeditiously and safely and without danger to the rest of the mine. Dobson Mine.— A violent gas and coal-dust explosion occurred in the Dobson Mine on the morning of the 3rd December, and occasioned the loss of nine lives. This has been described earlier in this report.

6—C. 2.

C.—2,

42

(e) Electricity at Collieries. (Regulation 243.) Tlie following is a summary of tlie annual returns, in accordance with Regulation 243 (c), regarding electrical apparatus at collieries : — Number of collieries at which electrical apparatus is installed .. .. 24. Number of continuous-current installations .. .. .. .. 10 Number of alternating-current installations .. .. .. .. 16 Number of collieries electrically lighted .. .. .. . . 21 Number of collieries using electrical ventilating-machines .. .. 10 Number of collieries using electrical pumping plants .. .. .. 1!) Number of collieries using electrical haulage plants .. .. .. 13 Number of collieries using electrical screening plants .. .. . . 6 Number of collieries using electrical miscellaneous plants.. .. .. 14 Number of collieries using electrical locomotives .. .. . . 1 Total horse-power employed from motors on surface .. .. 2, 933 Total horse-power employed from motors below ground .. .. .. 3 ,633 (/) Prosecutions. There were eight prosecutions by the Department's Inspectors during the year. 1. An engine-driver was convicted and fined £1 and costs because he acted in the capacity of a winding-engine driver while not possessed of the necessary certificate. 2. A deputy who was also the shot-firer was convicted and fined £1 and costs for deputing miners to fire a shot in their working-place. 3. A mine-manager was fined £1 and costs for failing to appoint a competent person to examine a safety-lamp before it was taken into the mine. 4. A mine-manager was fined £2 and costs for failing to provide a safety-lamp of an approved type. 5. An acting-deputy was fined £1 and costs for failing to make a report of the result of his morning examination of the mine. 6. An acting-deputy was fined £1 and costs for using a safety-lamp which was not of an approved type. 7. An acting-deputy was fined £1 and costs for using a safety-lamp which had not been examined by a competent person since previously used. 8. A mine-manager was fined £1 and costs for using threatening language to a workman. SECTION V.—LEGISLATION AFFECTING COAL-MINES. The Coal-mines Act, 1925, came into operation on the Ist April, 1926 ; there were no amendments during the year. New regulations regarding the Coal Miners' Relief Fund were gazetted on the Ist April, and regulations regarding Mine-surveyor's certificates on the 2nd September. The effort to get better mining methods adopted was continued during the year. Changes in method put into operation at the instance of the inspection staff in the previous year have shown by the results obtained that they were an improvement on the previous practice. The best method of pillar-extraction has been investigated, and a method is now under trial; so far it is proving successful, and it is hoped by this means to. materially reduce the risk of underground fires and consequent loss of coal, and at the same time to attain greater safety when extracting pillars in very thick seams. Stone-dusting of roadways was extensively practised in the mines in the Huntly district during the year. In the other districts the mines have been sampled to determine their condition, and after discussion with the owners and workmen a material alteration to the Stone-dusting Regulations was agreed on, which it is hoped will render the mines safe from the dangers of coal-dust explosions. I desire again to acknowledge the efficient help and co-operation I have received from the District Inspectors during the past year. Mr. C. J. Strongman resigned the position of Inspector of the West Coast District in order to fill the position of locai manager to the Westport Coal Co. at Granity; he was succeeded by Mr. 0. J. Davis, who took over the duties of Inspector on the Ist December. I have, &c., J. A. C. Bayne, Inspecting Engineer and Chief Inspector of Coal-mines.

C.—2

43

ANNEXURE A. SUMMARY OF REPORTS BY INSPECTORS OF MINES. NORTHERN INSPECTION DISTRICT (Mr. William Barclay, Inspector). Output of Goal.—From coal-mines in the North Island Inspection District the total output for the year 1926 was 053,849 tons, a decrease of 18,554 tons when compared with the returns of the previous year. The decrease was confined to the Hikurangi Coal Co.'s shaft colliery, and was due to the flooding of the mine-workings for a period of five months. Accidents. —No fatal accidents occurred in the Northern District during the year, this being the second year in succession that this pleasing result has been recorded. It is also Avorthy of note that there were only two fractures to limbs from accidents during the year. Sampling of Dust.—All the principal mines were sampled and tested in order to determine the combustible contents of the mine-dust. At one particular colliery 160 samples were taken, and of that number analysed only 25 per cent, was found to be in excess of 50 per cent, of combustible matter. The results show that the underground roadways are being treated satisfactorily with incombustible dust. Electricity.—The use of electricity continues to extend ; the total horse-power in use during the year was 1,913, an increase of 755 over the previous year. The Rotowaro Colliery is being equipped with, entirely new plant. The scheme under review by the management entails the electrification of the whole of the underground haulages, pumps, winches, and coal-cutting machines, and on the surface the screens, workshops, fans, and haulages which were formerly driven by steam. Size of Coal Pillars.—ln the early days it was customary to leave small pillars when working by the bord-and-pillar system, in order that a large percentage of the coal could be obtained in the first working. But as mining operations were extended to greater depths it was found that the formed pillars were too small for the increasing amount of roof-cover. Numerous instances of crushing, subsequent fire, and closing of sections have been recorded due to small pillars, and an enormous amount of coal has been sacrificed by the practice followed from the early days. In consequence of instructions issued by the Department new methods of working the coal are being generally adopted in the principal mines. Much larger pillars are being formed in the first working. The minimum size of bord pillars is now 50 ft. square —formerly it was 30 ft. square—and tho pillars between the main headings and barriers are being extended to 1 chain in width between the respective drives. In some cases pillars 1| chains and over are being formed on each side of main haulage-roads. KawaJcawa Colliery.—Operations during the early part of the year were confined to the extraction of the remaining thin coal pillars near the outcrop. Coal-carting was discontinued early in May, due to the action of the County Council in taking proceedings against the party for damage done to the road. The plant was subsequently dismantled and the mine closed. Hikurangi Coal Co., Ltd.—Hikurangi P.W. Mine : Active operations at this mine commenced thirty-four years ago, and ceased during March of the present year. A total output of 1,437,632 tons was obtained by means of dip drives driven from the surface to economic distances in the coal-seam. Faulting and periodical flooding of the shalloAv workings compelled the management to abandon the deep coal, and it was decided five years ago to sink two shafts at the extreme dip of the seam in order that the coal-seam over the company's freehold area could be more advantageously worked. Subsequent to the sinking of the shafts the remaining pillars near the outcrop were withdrawn to within 1 chain of Perritt's dip heading, and the mine-workings beyond the dip gradually filled with water, which rose to a point approximately 70 ft. vertical from the surface. A shaft sunk by the neighbouring colliery—namely, Wilson's Colliery—is down 200 ft. at a point only 1 chain from the goaf of the abandoned workings, and it is reasonable to assume that the water accumulation in the old workings is percolating into the adjoining colliery, from where it is jnimped to the surface. No. 2 Mine (shafts) : There are three separate working sections in the mine, locally termed the east, west, and McKenzie's dip sections. The east section has been abandoned, due to a crushing movement and a fire in the goaf. Several lines of stoppings have been erected for the purpose of isolating the fire, but considerable 'trouble has been experienced in making the stoppings leak-proof, due to the crushing and fracturing of the small pillars. In the west section the fault has been pierced and the coal-seam has been recovered lying at a moderate gradient to the rise of the shafts. McKenzie's dip section has been extended by the advance of the main dip heading, which has been driven a distance of 8 chains from the top of the dip. The coal-seam has been proved to have a thickness of 12 ft., and to be of excellent quality. A modern ventilating-fan, capable of producing 50,000 cubic feet per minute at 2 in. W.G., is being installed in place of the two Waddle fans at present In use. Brick stoppings have been erected in the crosscuts between the intake and return, resulting in better ventilation at the working-faces. The underground workings of the mine were flooded on the 20th May last, due to heavy rain-water on the surface percolating into the mine by way of the faults and subsidences caused by pillar-extraction. The flow of the inrush was estimated at 40,000 gallons per hour for a period of thirty hours. The pumping-capacity of the installed pumps (two electrically driven, 4 in., and one steam-driven, 4 in.) was 16,000 gallons per hour. Shortly after the inrush of water the electric pumps ceased running, due to the water flooding the motors, and the remaining steam-pump installed at a higher level was unable to cope with the abnormal quantity of water that had accumulated at the shaft-bottom. New pumping machinery was installed for the purpose of dewatering the mine, and the workings were subsequently recovered on the 20th October. A new pump, designed to discharge 60,000 gallons of water per hour, is being installed to act as a standby unit for use during periods of flooding. During the year the output was obtained from bords and pillars in the stone-drive section. As the leading places reached the fault, contiguous to the northern boundary, the pillars were immediately attacked from the farthest end. Progress was made in the driving of the main dip through heavily watered ground. An upthrow fault has been encountered at the face, and the recovered seam through the fault appears to be lying almost level. The appearance of smoke and fire stink along the fringe of the goaf in No. 7 section necessitated the erection of a number of substantial stoppings, erected to a line 3 chains from the return airway. The installation of an auxiliary fan in the dip-developing places resulted in adequate air-currents being directed to the faces. Repairs to the return airway by reheightening same effected improvements in the general ventilation. Endless-rope haulage has been installed on the main dip in place of the direct haulage formerly in use. The returuair shaft, 200 ft. in depth, has been equipped with cage and winding machinery in order to have means available to raise workmen in the escape shaft. Kerr and Co. (The Roclcs Mine). —The first workings reached the boundary early in the year, and the pillars are now being extracted outwards to the main dip. A series of faults was encountered in the main dip, and driving operations were suspended. The dip is driven on a gradient of lin 3, and it is properly equipped with haulage and safety appliances. The output of 20 tons per day is conveyed by tramway to Waro rail way-siding. Silverdale Colliery (Foot's Crown Lease). —Mining in the old mine has been confined to the removal of the small pillars and isolated blocks of coal left by a former working of the field. The pillar coal is almost exhausted, arid a new dip drive, conveniently situated to the main county road, is being driven for the purpose of opening out a section of solid workings in a proved area of marketable thin coal. A pump, winch, and loading-bank have been

C. —2.

44

installed. Timber is systematically set, and a plentiful supply is always on hand. The output is conveyed by Motor-lorries to Hikurangi, a distance Of three niiles. A second-clafts mine-manager is in charge. Safety rules are jjosted. Northern Co-operative Mine (Cunningham''s Crown Lease). —Three men find employment in this small colliery. Bands of fireclay and water tend to restrict the easy extraction of the remaining pillars, and. much time is lost in dealing with these difficulties. The output is conveyed to Hikurangi by motor-lorry. Christie's Colliery (Freehold). —The mine ceased producing coal at the end of the year. All the shallow pillars have been extracted to the opening, and the plant and machinery were removed to a neighbouring field, over which the co-operative party has secured a right to mine a proved small area of outcrop coal. Boring operations conducted over Christie's flat failed to disclose a workable seam. Glen Nell Colliery (Crown Lease). —Work was discontinued about eighteen months ago, owing to the thinness of the seam and the lack of orders for the output; but the party owning the property has again returned to the mine in order to give it another trial. Subsequent to the flooding of the Hikurangi Colliery a shortage of coal existed locally, to the benefit of the small mines operating in the district. The coal-seam is 3 ft. in thickness, and Jies almost level. Rules are posted and inspections recorded, as required by the Act. Hillside Coal-mine (Cummings and Parly).—Four miners leased an isolated piece of coal-bearing land from the Hikurangi Coal Co., Ltd., and they have contracted with the company to mine the available coal and convey it by road to the Hikurangi Railway-station at an agreed rate per ton. A drive and shaft have been completed to the coal-seam, and operations have been conducted safely by an experienced manager in charge. The coal-seam is badly faulted, and much stonework requires to be done to keep roadways at the faces. McKinlay and Party (Freehold). —The miners comprising the party have agreed with Kerr and Co. to extract a few thin coal pillars in the abandoned Rocks Colliery. The drive is water-free, and the road has been relaid to the abandoned faces. The remaining coal consists of pillars on each side of the roadway. The miners appear to be competent men. The timbering is satisfactory, and the ventilation of the old workings is effected by means of a small shaft. Belton's Coal-mine (Freehold). —Mr. Belton purchased a piece of abandoned coal land from the Hikurangi Coal Co., Ltd. Boring revealed a workable block of coal along the fringe of the outcrop, and the proprietor subsequently arranged with a party of coal-miners to work the coal upon a royalty basis. Two level drives from the surface have been driven into the seam, which is friable, but thick enough to return a fair profit if properly managed. A surface jig of 6 chains and a ground tramway of 10 chains have been constructed in order to remove the output to the County Road, from where it is carted to Hikurangi Station. Rules are posted, and due consideration is paid to the requirements of the Act. Jiuatangala Colliery (Freehold). —The main dip has been extended 12 chains through the old Kamo Mine workings. Boreholes are kept in advance in order to drain off the water accumulation in the old bords. Crushing of the small pillars necessitated the removal of the plant and rails from a portion of the mine. The dip and connecting-drives arc being driven narrow with the view of obtaining good pillar-extraction. The haulage dip is properly equipped and well timbered with sets. Output, 30 tons per day. Harrison''s Waro Colliery, Whangarei (Freehold). —The mine-workings are in good order. The dip has been advanced 4 chains in faulty coal, and the seam is apparently thinning towards the southern boundary of the property. Three electric pumps, operating in stages, are employed to drain the mine-workings. The lining of the upcast shaft has been repaired during the year, and the pit-liead structure, for the support of the winding-pulleys, has been strengthened with four additional uprights. Boring is in progress in order to determine the existence and thickness of the seam at a point '50 chains in advance of the face of the dip underground. The whole of the mine property, including plant, branch railway, and leases, is under offer to a new cement company at present in process of formation. Rotowaro Colliery.—During the year marked progress has been made with the installation of new machinery for the more economic handling of a larger output. New screens, electrically driven, capable of screening 1,000 tons of coal per eight hour day into three sizes, have been erected, and the preparatory work, necessary to connect the roadways from the company's three mines, is proceeding apace. Within the company's area there is an aggrogate thickness of 40 ft. of workable coal in three seams. The scams all dip to the south and are moderately inclined. The workings are reached by three separate mines and haulages. Endless ropes are installed in No. I and No. 2 mines, and in No. 3 mine direct haulage will soon be supplanted by an endless rope, electrically driven. No. 1 mine continues to produce the largest output from pillars formed by the first workings. A high percentage of the coal has been obtained under a roof-cover of about 100 ft. In No. 3 dip section a concealed coal area is being prospected by a stone dip turned at right angles to the main haulage-road. Boreholes drilled in the roof through a compact mass of fireclay tapped blowers of inflammable gas when approaching the seam. No. 2 mine appears to be within a measurable distance of exhaustion. The pillars have been removed from the top seam, and operations are now confined to the development of the bottom seam by a. steep dip, which has disclosed troublesome faults. No. 3 mine (bottom seam) is being developed very rapidly, and is now producing 150 tons of coal per day from places mined entirely by a Sullivan coalcutting machine. The machine has been in operation at the faces for eighteen months, and the management report satisfactory results from its use. The coal is obtained in a better commercial condition, and, notwithstanding a reduction of 9d. per ton on the hewing-rate, the miners appreciate the lessened labour required of them at the machine cut places and earn more than in ordinary working-places. An extensive undulation was located by an advance heading in the main dip, and a stone drive is now in course of being driven through the stone bank in order- to keep the grade uniform for the endless-rope haulage later on. The electrical installation has been reconditioned throughout the mine, and Oldham's electric safety-lamps have been introduced into the section. Surveying operations for the purpose of ascertaining the depth of a second outlet shaft for No. 1 mine have been conducted on the surface. Pulcemiro Collieries. —The total output for the year was 147,545 tons, an increase of 14,254 tons over the returns of the previous year. The Pukemiro field is fortunately situated in the centre of the Waikato coal area. There is only one defined seam of coal, which occurs under the limestone formation and extends at low angles of dip over a wide area. Faults and other disturbances are frequently encountered in the coal-seam, and each displacement or thinning of the seam is utilized to provide a barrier between the respective sections in the mines. There are two separate mines, each accounting for half of the output. In the north mine the pillars are being extracted in two sections. The removal was commenced from the outcrop boundary in both sections under conditions favourable to the release of roof-weight from the working-pillar. The bords of the first working follow the shallow seam to the outcrop, thus providing means for drainage of the workings. Boreholes from the surface have proved an isolated but workable area of coal westward of the underground north-west headings, and the management is preparing plans for the development of this area by way of a stone dip, 1 in 2, from the surface to the seam, and thence a stone level of 400 ft. in length, required for a connection to the mine haulage-system. In the south mine a considerably increased output has been recorded from bords and headings of the first working. The main west headings have been extended 60 chains from the main dip. The seam maintained the ordinary thickness throughout that distance, but has since thinned to 4 ft. 50 ft. pillars are now being formed between the headings and bords on the west side, and the larger pillars should tend to prevent a crushing movement when the pillars are being removed. Development is proceeding in the east mine section, the operations being confined to the driving of headings, thus providing reserve working-places. Electricity, with its attendant economies, is permanently established as the motive power throughout the mine, and steam is only used for generating purposes. Glen Afton Collieries.—This colliery reached the producing stage three years ago. The output for the past year was 145,464 tons. The location of the mine in respect to its proximity to the Government railway has been an important factor in the development and production from the mine. Only one coal-seam has so far been discovered,

r. 2

45

and the seam lias been opened up from the outcrop and followed by level and incline drives one mile to the north and approximately 40 chains to the east. On the west side of the main haulage-road several disturbances in the seam have been encountered, and boring operations for the purpose of ascertaining the continuity of the seam have not as yet revealed workable coal beyond the faults. A dispute in connection with the employment of truckers at the coal-faces resulted in a strike of four weeks' duration. A crushing movement commenced during the month of June in D section, consequent to the removal of a few pillars, and subsequently carried weight over the barrier pillars between D and G sections, and finally crushed both sections to the extent that the workings were made inaccessible for inspection. Seventeen substantially constructed brick stoppings have since sealed off the affected sections. Mining operations following the crushing movement have been concentrated upon the more active development of E and H sections, which have been extended to produce larger outputs. The 60 ft. fault displacement at the end of the main drive has been pierced by a stone drive, and the seam recovered. During the year a thin coal area was opened out from the surface, but operations were subsequently discontinued owing to the unsatisfactory quality of the coal. In A section the pillars are being removed from the travelling-road barrier, and the falls are breaking within the excavated spaces. Additional bathing-accommodation has been provided in the bathhouse in order to shorten the waiting-time. Approximately 90 tons of incombustible dust have been used in the treatment of the roads. In compliance with the Department's requisition for larger pillars the management has increased considerably the size of pillars both in bords and headings. The company has been able to supply the increased annual demand for its coal, and, excepting the strike period, the mine worked full time. Graham's Colliery (Go-operative Party).—The mine is situated at the terminus of the Huntly - Glen Afton Railway. The coal-seam —7 ft. in thickness—occurs about 20 chains from the railway-siding. The output is conveyed by a self-acting incline to fixed screens installed contiguous to the railway. Mining operations during the year have been confined to the extraction of the pillars. Preparations are being made to drive a pair of headings into a thin seam area with the view of providing future places. The coal is of excellent quality, and commands a ready sale throughout the year. Pukemiro Junction Colliery (Crown Lease ; Co-operative Party).—A new mine section has been developed in the western area where the outcrop seam has been followed by narrow places driven with the view of providing easy access to the pillars. A fire in No. 1 mine section occasioned some anxiety to the management, but the area was flooded and the workings subsequently recovered in good condition. Bathing facilities for the use of the workmen have been provided at the mine. Roadways and jigs have been maintained in good order. Waipa Colliery.—The general development of the mine continues to provide places well in advance of requirements. Two travelling outlets for the workmen, affording means of escape, have been provided at the end of the farthest inbye section. In No. 3 district, where the solid work is completed to the boundary, the pillars are being attacked, whilst in No. 2 section the area of workable solid coal is almost exhausted to the fault. Work in the main dip section is proceeding on the expectation of proving a fairly large area of marketable coal on each side of the main dip. The ventilation of the mine has been assisted by the installation of a fan in the recently constructed return airway at the faces. The introduction of coal-cutting machines for the more economic mining of the coal has been considered by tlie management, but the preparatory work in connection with the installation has been hindered by the late arrival of the necessary machinery. The requirements in respect to the sampling of the dust on the main roads have been observed. Waikato Extended Colliery.—This small colliery is situated on the banks of the Waikato River, two miles south of Huntly. The workings are reached by an adit level driven to the boundary, and pillars are now being extracted. Permitted explosives are used throughout. The natural ventilation, effected by a shaft and several open falls to the surface, has been good. The wharf loading-stage for river-steamers has been repaired, and the surface roadway to the mine has been reconditioned. The seam averages 20 ft. in thickness and is free from stone. Huntly Brickworks. —An output of 15,000 tons of fireclay is annually obtained from an open quarry and manufactured locally into bricks and tiles. The conveniently situated deposit of clay, exceeds 50 ft. in thickness, and there is little overburden to be stripped from the top of the quarry. Operations have been conducted safely, and competent miners are in charge of the open faces. Kimihia Colliery (Auckland University Council Endowment Lease). —Legal proceedings taken against the lessee for trespass resulted in the cessation of work in the mine. The bords turned away from the heading dip proved the seam to be faulty and stony, and there was little demand for the output. Taupiri East Colliery (Auckland University Council Endowment Lease).—A small rise area left by a former working of the field has been located by a level driven from the surface, and a few winning-places have been developed to produce an output of 10 tons per day. The output is still being removed by motor-lorry to Huntly Station, a distance of four miles. Campbell Colliery, Whatawhata (Grown Lease). —A considerable amount of driving has been done in order to prove the direction and extent of the field. The seam maintains its former thickness and quality, and working-places do not exceed 12 ft. in width by 8 ft. in height. The output of approximately 20 tons per day is conveyed to Hamilton by motor-lorries. Old Stockman Mine, Mokau.—The mine is situated on the banks of the Mokau River, thirty miles up the stream from Mokau Village. The seam averages 4 ft. in thickness and has a strong sandstone roof. A limited output is produced by two miners, and the coal is conveyed to Mokau by river-boats. Hetherington's Colliery, Waikolcowai. —The company has secured an extensive coal area, exceeding 2,000 acres, adjoining Macdonalds State Coal-mine Reserve. Explorations on the field by boring and driving have proved several million tons of coal. The field is not easily accessible by railway communication. A branch railway from Mahuta was first projected as a means for the transportation of the output to the Government railway, but trial surveys revealed that a standard grade could not be obtained within reasonable limits of expenditure. The owners are now considering the advisability of installing endless-rope haulage from the mine to Rotowaro Railway-station, a distance of two and a half miles. Mine-development conducted during the year was confined to roadmaking and excavations necessary for a tramway to the elevated outcrop. Prosecution. —On the 23rd September, 1926, a mine-manager was convicted and fined £1 and costs for using threatening language towards a miner employed in the mine. Dangerous Occurrences : Regulation 94 (1). —On the 30th April, 1926, the manager of Wilson's Colliery reported the indications of fire-stink and smoke issuing from old workings in No. 7 section. Stoppings were erected and the fire subdued. On the 11th May, 1926, the manager of Pukemiro Junction Colliery reported a fire in the old workings. The area was subsequently sealed off. The underground workings of the Hikurangi Coal Co.'s shaft colliery were flooded on the 20th May, 1926, due to an abnormal inrush of surface water from fault breaks and subsidences. The workings were recovered four months later. On the morning of the 10th June, 1926, the acting mine-manager of Pukemiro Colliery reported the presence of smoke and fire in the south mine, due presumably to dry brattice-cloth being ignited the previous night. The fire was quenched with water available at the scene of fire. Serious Non-fatal Accidents. Rotowaro Colliery.—On the 19th March, 1926, George Holmes, miner, working at Rotowaro Colliery, received an injury to his right eye, which subsequently became septic and impaired the vision. Holmes was off work seventy-four days. John Williams, miner, employed at Rotowaro Colliery, on the 26th March, 1926, sustained loss of vision of his left eye, due to a septic wound on the pupil caused by flying coal. Duration of disablement, seventy-eight days. On the 30th March, 1926, Joseph O'Brien, miner, working at Rotowaro Colliery, sustained a compound fracture of his left leg due to a fall of stone from the side of the drive he was timbering. O'Brien was off work 196 days. On the 20th September, 1926, John Beveridge, miner, employed at Rotowaro Colliery, sustained the loss of his right eye due to an injury by a piece of coal from the pick-point. Beveridge was incapacitated seventy-one days.

C.—2

46

Glen Afton Colliery.—Brinley Kin,son, minor, employed at the Glen Afton Colliery on the 4th January, 1926, sustained a fractured ankle. He was engaged filling a skip of coal at the face when it ran oil" tlio rails, striking him 011 the ankle. Kinson was disabled seventy-nine days. On the 12th July, 1926, John Sheddon, miner, received an injury to his right ankle caused by a fall of stone whilst he was engaged setting timber at the face. Sheddon is still [February, 1927] off work. Hikurangi Colliery.—On the 14th May, 1926, Matti Viscovich, boiler foreman, sustained an injury to his middle linger, right hand. His finger was caught in the driving-chain and sprocket-wheel of the chain-feed-grate. Viscovich was incapacitated ninety-nine days. WEST COAST INSPECTION DISTRICT (Mr. 0. J. Davts, Inspector)." During 1926 the coal-output for the combined Nelson, Bullcr, Reefton, and Grey districts was 1,122,176 tons, made up as follows : Nelson (decrease), 582 tons ; Buller (increase), 91,212 tons ; Reefton (decrease), 676 tons; and Grey (increase), 80,826 tons. Output of coal for 1925, 951,396 tons; output for 1926, 1,122,176; increase for 1926 over 1925, 170,780 tons. The total number of men employed during the year 1926 was 2,780, being an increase of 386 over the year 1925. Buller District. Denniston Collieries.—Coalbrookdale Mine.—Birchall's Section : The coal in the headings which were being driven in, a south-westerly direction has thinned to 4 ft. with a stony band 6 in. to 18 in. thick near the roof. Pillarextraction has commenced at this point. The coal in the panel headings going north-west has thinned to Bft., but an increase in thickness is expected farther on. Another panel has been started off the main south heading. The coal is 14 ft. thick. Mcllwain's Section : The two main headings proceeding westerly are in coal 15 ft. thick, of which 8 ft. is being worked. Waterloo : The panel system is being tried in this section on account of the beneficial results obtained in other sections. Four headings have been set out, two going south-west and two going north-west. 14 ft. of good-quality coal is showing; seven pairs of miners employed. The completion of the drainage-tunnel will enable all pumps to be withdrawn from this section. Extended dip section : In the bottom seam and to the left of the old dip work is confined to pillar-extraction, two pairs of colliers being employed. Two headings are being developed in the new area on the south-west side of the rope-road : these are being driven 12 ft. wide by 8 ft. high, and the panel system is to be adopted. 111 the new dip below the fire area, work is confined to the extraction of pillars. The coal is 14 ft. high. Big Pillar section : Operations here are confined to pillar-extraction; three pairs of men employed. Signs of heating in this section have caused extra care to be taken to prevent fires. Callaghan's and No. 8 Cascade ; Coal from this section confined to pillar extraction. fronbridge Mine.—This mine includes the Deep Creek. The bulk of the output has been produced from pillars in the old mine, comprising Kruger's section, Kiwi section, and No. 1 pillar section. In Kruger's section travellingroad a main and tail haulage has been installed to deal with the output from the upper and lower seams. Straightline pillar-extraction is now in vogue, and good results are being obtained. Most of the output is being obtained from the high pillars. In the Kiwi section the new workings are immediately under the first workings. All places driven 6 ft. to 9 ft. in width. Thickness of coal between workings varies from 6 ft. to 13 ft. Coal very strong, and from 36 ft. to 40 ft. in height. Armoured cables have been installed, and all electric globes enclosed in airtight fittings. New stables, in the shape of loose-boxes, have been built underground. Millerton Mine.—No extensive development work has been carried out at this mine during the year. Evans' Daylight section : Output confined to pillar-extraction; four pairs of miners employed. The fire area appears to be under control, but is still active. All attempts to flood this area have so far proved a failure. Mine Creek north-east section : Pillar-extraction continues in this area under favourable conditions. Mangatina : Operations in this section are confined to removing top coal in the old bords. It is not intended to remove the pillars owing to creeks on the surface. The coal is about 30 ft. thick. Four pairs of colliers employed. Third west pillar section: Operations consist of extracting pillars. The coal is about 30 ft. in thickness, and an effort is being made to establish straight-line pillar-extraction. Five pairs of men are employed. The atmosphere in this section is hazy occasionally, due to leaky stoppings from the adjacent fire area. Third west dip fire area : Owing to leakage in the dams it was found necessary to drain off the water and to strengthen three dams by building additional dams adjacent to those leaking. To all appearances the fire is still active. The stoppings adjacent to the mine-workings are cool, and it would appear that the fire is working to the outcrop. Second west dip section: Two pairs of colliers engaged cleaning up roads. Arrangements have been made to put in stoppings forming the bottom end of a panel district. During the month of June a serious fire broke out in the Millerton Mine, and eighteen stoppings had to be erected before it could be got under control. Several wooden stoppings were strengthened by the addition of brick. The following sections have been sealed oft' : Evans' Pillar section, Evans' Daylight section, Dutton's section, No. 2 dip section, part of No. 1 section. The total area sealed off is about 40 acres. The coal varies from 30 ft. to 40 ft. in thickness. It seems impossible to extinguish the fire on account of so many surface breaks. All that can be done is to try and prevent the fire from spreading to other parts of the mine. Stone-dusting has been commenced, and practically all the roads leading to the fire area have been treated. Fourth west section: Six pairs of colliers employed on solid work in this section. Roof friable. Dirty stone and shale-bands in the coal near the roof renders the work of keeping the coal clean a very difficult one. Sixth west section : Six pairs of colliers employed in this section. The outcrop has been reached in several places, and preparations are being made to work a top seam known to exist in this section. Ventilation very good on account of elevation and exposed situation of this section. Settlement section : Nineteen pairs of colliers employed in this section. Operations consists of solid workings in the bottom seam on the southern side and in solid workings in the upper seam on the northern side. The main heading, going in a westerly direction, is now in about 20 chains from the right-hand branch of Granity Creek in the upper seam. North-east section : Operations consist of pillar-extraction. Nine pairs of colliers employed. Second Mangatina section: A small area under a ridge. The solid workings are about finished, and the output will be derived from pillar-extraction. During the year three prospecting boreholes were put down in the vicinity of Millerton Township, of an aggregate depth of 450 ft. All holes reached the granite, and 110 coal was found. Approximately £600 was spent on prospecting. Stockton Mine. —During the year the fluming of coal from the mine to the bins was abandoned and the electric locomotives were again put into operation. A new area of coal at Plover's Creek has been opened out, and development work is being done with a view to working it on the panel system. In the Fly Creek area three parallel headings have been set away on 90 ft. centres. These headings will form a panel of 10 acres. The headings were very wet, and the coal of a very friable nature. The friable nature of the coal-roof necessitates the use of sets. A solid block of coal to the north of the main haulage-road at B layby is being developed on the panel system. Westportmain Colliery.—This small mine adjoins that of the Westport Company at Millerton. Development is proceeding in a north-easterly direction towards the Millerton Mine. The seam is between 30 ft. and 40 ft. thick. About forty men are employed, the output averaging about 20 tons daily per pair of men employed.

47

C.—2

Clydevale Colliery.—The aerial having been extended to an area of coal further up the hill, work on the main heading was commenced about the middle of the year. Cardiff Bridge Mine.—The output from this mine is conveyed by fluming, and is now approximately 100 tons per day. The mine is being laid off with barrier pillars so that portions of the workings can be sealed oft' in the event of fires. The nature of the coal in this district lends itself to spontaneous combustion. Old Cardiff Mine (Dove'sV —The output is derived from pillar extraction in the old area adjacent to the fire, and from a new area opened up on the south side of the old mine. The fire is still active, and the stoppings are in good order. The output is about 100 tons daily. Old Cardiff No. 4 and Bell's Creek Mines.—These mines have not been operated during the year. Began and O'Brien's Mine. —This mine has not been worked during the year. Chester and Party's Mine.-—A small area on the south-western side of the old drive. Three men employed. Work has continued steadily throughout the year on the co-operative principle. Coal Creek Mine, Upper Mokihinui.—On account of fires the old mine was abandoned. Prospecting operations disclosed an outcrop on the north-western side, and adits are being driven to prove the area. A drive is also being put in at creek-level to work an area of coal known to exist in the old Mokihinui Mine. Four men are working this area on the co-operative principle. Celtic Mine. —Output about 8 tons daily. Three men employed. The coal is very friable and dirty. Stony bands and local faults disturb the seam. A cross-measure drift is being put through the fault on the higher side of the haulage to prove if the seam lives and is better on the other side. Glasgow Co-operative Party's Mine. —This area adjoins the old State mine on the north-eastern boundary. All work to the dip has been suspended for lack of a winch and pump. As soon as these are procured a new dip drive will be put in to work the dip area of good coal. Five places are being worked to the rise. The coal is of excellent quality. The places are being driven narrow, and the mine is in excellent order. Quinn and Party's Mine, Mokihinui.—Output about 12 tons daily. An area of coal on the rise or north-western side of what is known as the old Calliope Mine (worked out). The seam thins in all directions with stony bands and rolls. Black and Party's Mine, Seddonville. —This mine forms part of the State Coal Reserve. Only one working-place has been developed, the coal being about 5 ft. thick, and of a friable nature. The output is carted by lorry to the railway, about half a mile away. St. Helens Mine, Seddonville. —This mine has not been worked during the year. Grey District. Liverpool State Mines.—No. 1 Top Seam : During the year the whole of the output was won from pillarextraction. The crosscut section was exhausted, and operations are now confined to the pillars along No. 3 bank. The coal-seam is very thick, about 30 ft. The roof is very tender, and pillar-extraction is difficult. As most of the old bords have fallen, the pillars have to be split longitudinally. Morgan seam : The output is derived from pillar-extraction. Very little coal is left, and with steady work this area should be exhausted early in March. No. 2 Mine : During the year the output was derived from winning headings in the seams, of which there are three —Anderson, Kimbell, and Morgan, in order of being met with in driving the haulage-tunnel. The Anderson and Kimbell seams are really one and the same. The seam was crossed twice, due to a synclinal fold. All sections of the mine are in good clean coal except in the Anderson, where dirty stony bands intervene and the strike is ever changing. The Kimbell east and west sections and the Morgan east and west sections are inclined to be very gassy, and great care is necessary. Kimbell seam : This seam varies from 11 ft. to 20 ft. in height. In the east level the coal is of good quality, but very friable, with a tender roof. The incline headings going north are looking well, but the No. 1 east is thinning, the height now being only 9 ft. with a thin parting of stone, which will probably thicken as the driving continues. In the west level the strata is very highly inclined. The coal is of excellent quality, but the roof is very tender. Morgan seam : On the east side the coal is very friable and wet. The grades are easy, and a good mudstone roof obtains. On the west side the inclination is steep. The coal is of good quality, with a fair roof. No. 3 mine : Operations in this mine ceased in September, some pillars having to be left in to prevent any likelihood of slips occurring on the hillside above the storage-bins and screening plant. No. 3 extended : Operations in this area were confined to pillar-extraction. As the mine was nearing exhaustion, a few pillars were left in to enable a co-operative party to work a block of coal on the western side of Scott Creek. A concrete stable for eight horses has been constructed at the No. 2 mine, also a new concrete magazine. The change-house has been added to to accommodate the large number of men employed at this colliery. The speed of the fan has been increased, and the quantity of air traversing the main airway is.now about 100,000 cubic feet per minute. The old viaduct on the main incline haulage has been dismantled and a new one of tramway rails erected. James State Mine. —The main heading in this mine is being driven three shifts. The coal at the face is about 5 ft. thick, with a good roof. The coal near the roof for about 18 in. is of good quality, but the remainder is very poor and mushy. On the west side four pairs of miners are employed. An endeavour is being made to get a drive in coal out to the outcrop, so as to provide a drainage-tunnel and so do away with pumping of water from the higher ground, where pillaring is going on. On the eastern side pillar-extraction is going on. Oxidation of the pyrites in the lumps of stone thrown back is very evident. The heat generated has been dissipated by the cool air-current, and a brown coaty substance remains. Blackball Mine.—During the year the output from this mine has been derived from Nos. 2 and 3 levels off No. 9 dip. On the third level three parallel headings are being driven—a water level, haulage level, and return level. The roof is friable. The pillars are small, and in consequence a.lot of trouble is being experienced with the timber supports. Efforts have been made from time to time to get the management to increase the size of pillars, but they always say that the method practised in Blackball has been in operation for years. The rise from the bottom of No. 9 dip to the surface has been completed and serves as an additional intake. This should improve the mine-ventilation. A new electrical installation is in progress, and should be in operation early in 1927. The current will be generated at 11,000 volts, and stepped down to 400 volts for use underground. No serious fires have occurred during the year, for as soon as any heating takes place the area affected is sealed off. Owing to difficulties being experienced in coping with the water the development of the mine is in a backward state, but it is hoped that the new electrical installation will mean a big improvement in pumping efficiency and so enable a large area of ground to be opened up. Paparoa Mine. —During the year the output was derived mainly from pillar-extraction. On the eastern side of the main incline five places in the solid are producing coal. A new return is being constructed for the west level, which should considerably improve the ventilation in this section. A new electrical installation is proposed, when the fan will be motor-driven. The ventilating system is being reorganized, and beneficial results are anticipated. In order to strengthen the pillars several old drives are being filled with debris. The mine is well timbered. Small quantities of gas have been found from time to time in the prospecting-drives in the west level. Dobson Mine. —During the year operations have consisted of driving main levels, inclines, and dips in the seam in the north, south, east, and west. The thickness of the seam averages about 15 ft., but the seam thickens to about 21 ft. to the dip. The main No. 1 dip heading has been driven about 18 chains, and the No. 2 dip heading about 15 chains. Both are in good coal with a hard roof. One of the main levels going east has been broken away off No. 1 dip. Very little water is being encountered, but gas is very prevalent. The ventilating-current is up to requirements, but the method of conducting it to the working-faces could be improved upon. A booster fan driven by electricity is in operation for ventilating the No, 1 dip heading by means of iron pipes, A small electrical pump

c.—->

s used for keeping the dip clear of water. To the rise the main level going east encountered an abrupt change in the strike and forced the level heading down the hill, or in the direction of the dip of the seam. The level going west is almost to the boundary in good-quality coal. The inclines to the rise have reached the main fault, and preparations were being made to extract the pillars adjacent to the fault. Arrangements have been concluded between the management and the inspection staff to work the mine on the panel system, from which it is considered much benefit will accrue. Arrangements were also concluded to stonedust the mine as early as possible. During the year gas was found from time to time in many of the working-places. Timbering throughout was not up to the standard set by the other West Coast mines., but the management was gradually effecting an improvement. On the 3rd December a disastrous explosion occurred through which nine men lost their lives. Four bodies were recovered —namely, James Richards, deputy in charge ; Robert Hunter, winehman ; John Lindsay, miner; and Eric Ashton, trucker. Richards was dead when he was found, but the other three were alive. Hunter and Lindsay died shortly after being brought to the surface, and Ashton died in the hospital next day. Five bodies could not be recovered—namely, Thomas Black, James Marshall, Ernest Brammer, Alfred Noakes, and Edward Partington, miners. Owing to fires and a series of explosions the mine had to be flooded. To flood the mine effectually water was pumped from the Grey River. This took about ten days. The mine will remain flooded for a time to ensure that all danger of fires is past. Wallsend Mine.—During the year operations have been confined to unwatering the shafts and rise workings. The shafts were unwatered by means of tanks. When the shafts were emptied and time allowed for the gas to drain off from the old workings, preparations were made to install an electric pump to deal with the water as it made. Preparations were then made to repair the shaft and arrange for unwatering the dip workings. It was decided to seal off the rise workings and concentrate on developing the area to the dip. Plans are in progress for railway-sidings, screeningplant, and storage-bins. A sirocco fan has been installed, and the area is to be worked on the panel system. Go-operative Parties. Boustridge and Party's Mine, Brunnerton.—This mine has been abandoned on account of the hillside slipping away. Alien and Party's Mine, Brunnerton. —All the top pillars having been taken out, and two pillars on the higher side of the level left in in the event of the party going for a big pillar lower down, it was decided to cease operations pending satisfactory arrangements being made regarding the lease. Armstrong and Party, Dunollie. —Operations in this mine consist of pillar-extraction. The bottom layer of coal is about 5 ft. thick. The pillars are kept in a uniform line, and when a lift is taken up in a pillar in the bottom seam the props are drawn and the roof allowed to fall, thus enabling a fairly large percentage of the upper seam to be won. Moody Greek Mine, Dunollie.—Faulting on both strike and rise of this area has greatly reduced the area of workable coal in this section, the third to be developed in this lease. Five places are being worked, the thickness of coal varying from 3 ft. 6 in. to 8 ft. The inclination of the seam is about 1 in 14, and chutes are used to transport the coal from the upper workings. Hunter and Party's Mine, Dunollie. —This mine only contains a limited amount of coal to be won, on account of faults crossing the area. The workable area is really a pocket surrounded by faults. Prospecting operations are in progress beyond the faults. One borehole put down during the year on the western side proved no coal. It is proposed to put down another borehole on the southern side to test the area ahead of a dip heading that is being driven in 2 ft. 6 in. of clean coal. Brae Head Mine, Dunollie (Boote and Party).—Development in this mine is now confined to the dip workings; five working-places producing coal. In the main dip heading the seam is split by a stone band. The seam thins going east. The coal is of excellent quality. Hillside Mine, Dunollie (Guy and Party.)— This mine having become exhausted, operations ceased towards the end of the year- Preparations are going on for opening up an area on the western side of the Sevenmile Creek, adjacent to Simpson and Party's Moody Creek Mine. Mclvor and Party's Mine, Dunollie. —The main dip having reached a fault, work in this direction has been stopped. Two levels were driven about 3 chains, and were abandoned on account of the coal being of poor quality and unsaleable. A few pillars of good coal were then extracted, and arrangements made to work an area of coal at the back or western side of the lease. The quantity of water encountered, together with a soft heaving floor, caused the party considerable expense. Baddeley and Party's Mine, Dunollie.—This mine is part of the seam of coal worked by Mclvor and party. The headings have reached the boundary, and the party have started pillar-extraction, A brick-kiln has been installed to supply the local market with bricks. The fireclay underlying the seam is of excellent quality for brickmaking. Manderson and Party's Mine, Dunollie. —Operations at this mine consist in driving a main dip heading in the bottom seam of the old No, 1 mine of the Point Elizabeth Colliery. The seam along the fault is about 5 ft. 6 in. thick and of excellent quality. A borehole was put down to drain off a certain amount of water which gathered in the old workings of the main seam, about 14 ft. above the present workings. This enabled the party to recover a few chains of coal to the dip and about 5 or 6 chains in width. Smith and Party's Mine, Dunollie. —This party is working a small area of coal adjacent to the old rise workings of the No. 1 mine of the Point Elizabeth Colliery. A stone band has split the seam in two, the top section being about 3 ft. thick and the bottom section about 2 ft. thick. The places are being driven wide so as to allow of stowage where the stone band, about 2 ft. thick, is being brushed to make height. Duggan and Party's Mine, Rewanui.—This party is working a small area of coal on the south-eastern side of the worked area known as the 3a Section of the Liverpool Colliery. There are two thin seams, and the quality of the coal is variable. The height of the seams averages about 5 ft. 6 in. The roof is of fireclay, and necessitates close timbering. Spark and Party's Mine, Rewanui. —The workings in this mine are still proceeding in a northerly direction. The area is on the southern side of what is known as the No. 2 mine of the Liverpool Colliery. The seam is here split by stony bands, and the thickness of coal averages about 5 ft. 6 in. Five single places are being worked. The trucking in this mine is becoming expensive. McNeill's Mine, Rapahoe.—This is an area of coal on the Grey-Barrytown Road, in the vicinity of the ten-mile peg. During the year McNeill sold out, and the mine is now being worked by R. Marshall and W Page. Four men are employed. The seam is about 4 ft. thick with thin stony bands. Inangahua District. Reef ton Goal Company's Mine, Burke's Greek.—The work of driving the main dip lias been stopped to allow of a sump being constructed to drain the water away from the main haulage. The level on the left has been continued through the fault and good coal struck. A few places are being opened up. In the level to the right three places are being driven double-shift. The amount of water given off from the strata and the number of small faults met with is causing a lot of trouble to the management and expense to the company. The fire area is still active, but under control. Calliope Mine, Murray Greek. —A company was formed to work this area on a large scale. Plans were in progress for an aerial tramway to deal with the output. A survey was made, and then operations ceased. A portion of the area was let on tribute. The party are working along the outcrop. At present three small drives are producing coal of good quality. No definite system of working is being followed.

48

C —2

49

Phoenix and Venus Mine, Murray Creek.—Owing to fires the old mine had to be abandoned, and the party are working a small block of coal on the dip side. Golden Point Mine, Seefton. —This mine has done very little during the year. A certain amount of prospecting work through the fault showed coal of an inferior quality. A few places were opened up. The mino has not worked during the later part of the year. New Big River Mine, Big River.—Only two men are employed. The coal is extracted by the stoping method. Only a small amount of coal remains to be won. Morrisvale Mine, Burke's Creek. —In the old mine operations ceased on account of the fire. It is the intention of the owner to prospect through the fault to the dip. The fire is still active, but apparently under control. The owner has also sublet portion of his area to a small party who are at present driving on the coal to ascertain the extent of the seam. In addition to subletting the above portion of his lease, the owner, W. J. Morris, has sold about 30 acres to a party of miners who are operating the mine under the name of the Matchless Syndicate. Matchless Syndicate's Mine, Burke's Creek.—This is a small portion of the Morrisvale area bought from W. J. Morris by a small party of miners. Levels, two in number, and 40 ft. apart, are being driven on the seam to ascertain the extent and quality of the seam. So far the coal is of good quality. Incline headings will be driven off these levels to the rise, and if the coal continues good a fair area should be opened up. Waitahu Mine.—No coal has been produced at this mine during the year. Reddale Collieries, Burke's Creek.—The Reddale Colliery comprises what were formerly the Empire Mine, Lishman's Mine, and the Woodlands Mine. The Reddale Company acquired an interest in each of these, and is now working them as one concern. Empire Mine.—No coal has been won from this mine during the year. Lishman's Mine.—This mine has been the subject of many fires, and the whole area to the rise has had to be sealed off. These fires are really due to bad systems of working. The management now realize that a better system of work will have to be adopted if they wish to make a success of their mines. To this end the old workings are to be abandoned and the new areas laid out on the panel system. The panels are to be about 4 acres in extent; barrier pillars, 90 ft. wide, with no more than three openings to each panel. This will be a decided improvement on the methods at present employed on the Reefton fields. Woodlands Mine.—This is only a small area, and when the present work is completed the remainder will be worked on the panel system. Clele Mine, Merrijigs.—-Several faults have been crossed in this mine and the outcrops reached to the rise. This has considerably improved the ventilation. The extraction of pillars in this area will soon be finished, and a small area of coal to the dip has been opened up by means of a dip haulage, commencing near the mine-mouth. Lankey's Creek Mine, Crushington.—The old workings in this mine have been abandoned, and an attempt is being made to work a small area of coal to the right of the main heading. The problem of extracting pillar coal is an acute one, due to the broken country, and also the habit of the parties in making the pillars too small. Archer's Mine, Capleston.—Operations carried on by this party consist of putting drives in the hillside and working the coal in the immediate vicinity where the drive taps the seam. A main drive has in one instance been put in to cross the measures and cut the three seams which exist in this locality. The coal varies in thickness, and is of good quality. Doran's Mine, Capleston.—A small drive has been put in to work a part of one seam mentioned as one of the seams in Archer's mine. The seam is fairly steep, but the coal is of good quality, and about 6 ft. thick. Coghlan's Mine, Capleston.—This mine has been adandoned for some time, but an attempt is being made by new owners to work the area on a large scale. Up to the end of the year operations consisted of getting the mine in working-order by laying roads and timbering the roadways. For the present a flume is being used to transport the coal to the roadside. Nelson District. Puponga Mine, Puponga.—Operations consist of developing a new section, but the seams do not look well on account of many stony bands. In the C section pillar-extraction is going on in good coal. The goaf is being packed with clay. Prospecting-work due west of the present workings has disclosed a seam of coal 4 ft. 4 in. thick, but going east the seam splits and thins. North Cape Mine, Puponga.—-Very little work has been done in this mine during the year, due to the seam thinning. Golden Bay Mine, Motupijn.—This mine was closed during the year. Waikohatu Mine, Takaka.—This mine was closed during the year. Clifton Mine, Takaka. —This mine was closed during the year. O'Rourke's Mine, Murchison.—Operations consist of working a highly inclined seam, 2 ft. thick, by driving the level in the seam and working the coal from the rise on a wide face. The roadway is brushed, and the roof is good. Props are set at suitable intervals. Fatal Accidents. Thirteen fatalities occurred to workmen employed in the coal-mines of the West Coast Inspection District during the year —one by fall of coal, one by runaway trucks, one by jig-prop pulling out, one by fall of stone, and nine by an explosion in the Dobson Mine. On the 20th January a miner named Jack Brown met with his death while trimming down some top coal in his working-place in the north-east section of the Millerton Mine. Some coal fell and caught the deceased on the head, breaking his neck. On the 20th May a deputy named John Evans lost his life through a rope-shackle breaking on the Evans Daylight eight-truck jig of the Millerton Mine. The full race broke away and ran into some empties at the bottom of the jig. These empty trucks caught Evans, who was standing about 12 ft. away. On the 17th August a miner named James Outram met his death by a fall of stone at the Blackball Mine. The accident occurred near the main rope-road in one of the safest portions of the mine. On the 17th November a miner named John Birch, employed in the Morgan west section of the No. 2 mine, Liverpool Colliery, received serious injuries to the body through a jig-prop pulling out and hitting him. He succumbed to his injuries on the 26th November, 1926. On the 3rd December a disastrous explosion occurred in the Dobson Mine through which nine men lost their lives. Four bodies were recovered, and five are still in the mine, due to flooding having to be resorted to. The names of the four men whose bodies were recovered are as follows : James Richards, deputy; Robert Hunter, winchman ; John Lindsay, miner ; Eric Ashton, trucker. The names of the five men whose bodies are still in the mine are as follows : Thomas Black, miner; James Marshall, miner; Ernest Brammer, miner; Alfred Noakes, miner; Edward Partington, miner. Serious Non-fatal Accidents. On the 16th February a miner named Martin Cullen fractured his leg jumping otf a ladder in his working-place in Evans Daylight section of the Millerton Mine. A piece of coal fell some distance away from him and he jumped off the ladder. On the 16th February a trucker named C. G. Curtain, working in No. 2 mine of the Liverpool Colliery, was cleaning up the flatsheet when a small piece of coal fell from between the laths overhead and hit him on the head, causing slight concussion. No marks could be found. He was all right next day.

7—C. 2.

C.—-2

50

On the 17th February a miner named J. Meikle, employed in the Blackball Mine, had a bone in his leg fractured by a piece of coal falling from the face. He was pulling down a piece of coal from the face, and in stepping out of the way his trousers caught a projecting rail, and about 1 cwt. of coal struck him on the ankle. On the 26th February a miner named George Forbes met with an accident while putting stringers over a set. A fall of coal occurred while the operation was going on and caught Forbes on the arm and back. The arm was fractured and the back all bruised. On the 24tli May a miner named James Blanc had his forearm fractured while engaged at the coal-face in the Dob.son Mine. His mate was trimming the roof, and Blanc was leaning on his shovel, when a small piece of coal fell from the roof on his arm and fractured it. On the 15t.h October a miner named George Higham ignited a small quantity of gas in his working-place (a split in a pillar) in the Kruger section of the Ironbridge Mine of the Denniston Colliery. He was burnt on the arms and side of face. On the sth November a youth named Eric Hanstock tripped over a trailer and received a greenstick fracture of the small bone of the right forearm whilst coupling a set of trucks in the Deep Creek section of the Ironbridge Mine, Denniston Colliery. On the 12th November a miner named Frank Tinning sustained a simple fracture of the left leg by a fall of coal from his working-face in the Dobson Mine. Dangerous Occurrences under Regulation 94 (1). Dove's Mine, Seddonville.—On the 20th January the barrier between this mine and the old Cardiff collapsed and the fire entered Dove's Mine. Clay stoppings were erected and the fire controlled. Millerton Mine.—On the 10th June a serious fire was discovered in Evans section of the Millerton Mine. Steps were immediately taken to deal with it, as the fire was extending rapidly. Large volumes of flames were shooting to the surface through surface breaks, as the cover is shallow at this point. Several stoppings were burnt out in quick succession, the fire advancing in one instance a distance of 10 chains in two hours. By strenuous efforts all roadways leading to the fire were blocked with wood a.nd clay stoppings sixteen hours after the outbreak. The following sections comprise the fire area : Evans Pillar section (completely lost); Evans Daylight section (completely lost); Dutton's section (completely lost); No. 2 dip section (completely lost); No. 1 dip section (partly lost). As soon as the fire could be controlled arrangements were made to seal off the area with brick or concrete stoppings. Ironbridge Mine, Denniston Colliery.—On the 15th October an ignition of gas took place in a pillar in the Kruger pillar section of this mine, whereby a miner named George Higham received slight injuries to arms and face. Millerton Mine.—On the 25th December the fire broke over No. 15 stopping in the fifth west section of this mine. Stopping was repaired and fire checked same day. Prosecutions. On the 23rd February an underviewer was convicted and fined £1 and costs for using abusive language to a workman. The information was laid under Special Rule 57. On the 24th March a mino-manager was convicted and fined for employing an engine-driver who was not a duly certificated person in terms of section 31 (2) of the Coal-mines Act, 1908; also for failing to appoint one or more compotent persons to act as fireman-deputies of the mine in terms of Special Bule 22, Coal-mines Act, 1908. Fined £1 and costs in each instance. On the 24th March an engine-driver was convicted and fined because he acted in the capacity of engine-driver in charge of a winding-engine without the necessary certificate of competency in terms of section 31 (1) of the Coalmines Act, 1908. Fined £1 and costs. On the 12th July a mine-manager was convicted and fined £1 and costs because he failed to appoint a competent person to examine a safety-lamp required to be used in such mine, as required by section 97 (a) of the Coal-mines Act, 1925. On the 12th July an owner of a mine was fined £2 and costs because he provided a safety-lamp of a type for the time being not approved by the Minister of Mines to be used by a person in the course of his employment in such mine, as provided by section 96 of the Coal-mines Act, 1925. On the 12th July an acting-deputy was fined £1 and costs because he failed to make a full and accurate report as to the condition of the mine, as required by section 128 (1) of the Coal-mines Act, 1925. On the 12th July an acting-deputy was fined £1 and costs because he used in the course of his employment in such mine a safety-lamp, provided by the owner, of a type for the time being not approved by the Minister of Mines, as provided by section 96 of the Coal-mines Act, 1925. On the 12th July an acting-deputy was fined £1 and costs because he used a safety-lamp that had not, since last in use, been thoroughly examined at the surface by a competent person appointed by the manager for the purpose and found by him to be in safe working-order and securely locked, as provided by section 97 (a) of the Coal-mines Act, 1925. SOUTHERN INSPECTION DISTRICT (Mr. George Duggan, Inspector). Coat.-output. The output for the year, 463,974 tons, is a decrease of 27,222 tons compared with that of 1925. The increased use of electrical appliances for beating and cooking has resulted in reduced outputs from the Central Otago, South Otago, and some of the Southland mines. In Canterbury and North Otago there were slightly increased outputs, these increases being 339 tons for Canterbury and 1,158 tons for North Otago. The decreased outputs were: Central Otago, 652 tons; Southland, 7,181 tons; and South Otago," 20,886 tons. From the Jubilee Mine 4,778 tons less were produced than during 1925, and 5,665 tons less at the Taratu Mines. The decrease at the Kaitangata Mines was 9,585 tons, and owing to financial difficulties the New Zealand Coal and Oil Co.'s mines had to cease operations a week earlier than usual, the company being then unable to pay the wages due. Pumping and repair work has continued since, but coal-winning has not yet recommenced. Owing to labour troubles, which commenced about the middle of the year, the number of miners employed at the Black Diamond Mine was reduced from twenty to eight, and in consequence the output was reduced by 4,983 tons. Apart from this the year has been practically free from stoppage through labour troubles. The iignite-mines at Mataura show a decrease of 7,084 tons, whereas the mines of Ohai and Nightcaps produced 200,402 tons, as compared with 198,691 tons, an increase of 1,711 tons for the year. It is pleasing to report that most of the slack produced in the Ohai field is now being sold to various cement and gas works. Mount Torlesse Mine. —The main dip in the section opened out last year west of the old safety-lamp area met a large downthrow fault when about 5 chains from the entrance. The seams met in the main dip were almost perpendicular and very thin. A little thick coal was worked to the east, but the area of workable coal proved very small. Towards the end of the year only four places were being worked. One of these was near the fault met in the main dip, and the others were in the upper east levels. Sales were slow even during the winter months, as over 200 tons had to be stored for many weeks alongside the railway-line. The flood of Ist November did much damage to the surface haulage-road alongside the north bank of Broken River. About 2 chains of the formation was washed away near Stony Creek (near the foot of the endlessrope road), and another couple of chains of formation also further up the river. A large concrete block which was supporting the rails of the surface jig across the river was shifted and broken.

C.—2.

Austin*B Gtaystone Mine, Sheffield. —The pillars are now being worked back on the south side of the main dip haulage-road. The main dip is stopped, as also are the places on the north side, as the claystone pinched out there. Homebush Mine.—Development has proceeded in the engine seam area, and the main dip, driven at a grade of 1 in 3, is now down 7 chains. Owing to the large inflow of water caused by the heavy rains of November the dip was temporarily stopped. In the bottom north level the coal thinned slightly, but it is of very good quality. All the south places met faulty coal when only a few yards in from the dip, so they were stopped. The upper north level met an old drive in former workings. As this place is connected to an old air-shaft the natural ventilation was considerably improved. A new surface jig was made, giving a more direct route to the main surface tramway. Work was resumed towards the end of the year in the claystone drive, and two miners are now employed there. Bush Gully Mine.—The 3 ft. seam having thinned and the middle stone thickening, the pillars are now being extracted in this small mine. Another level is being driven which will give another line of pillars below those now being worked back. St. Helens (Whitecliffs) Mine. —A new dip, 6 ft. by 5 ft., was driven south of the section which had to be sealed off last year owing to an underground fire. This dip is now down 3 chains at a grade of lin 3, and is close-timbered owing to the very heavy country met. At the present face the miners holed into an old level which was full of black-damp. Steventon Valley Mine. —Two miners commenced operations on a small area north of the St. Helens Mine. A level has been driven to the south-east, and when 80 yards in it pierced a seam 7 ft. thick dipping almost due south. A few places have been driven on the east side, but they met old workings when about a chain in. On the west side a downthrow fault was struck only 10 yards from the level. The miners intend driving another level from the surface on the west or downthrow side of the fault. They anticipate getting a fair area of workable coal in that direction. Glearview Mine. — Owing to the short distance between the large fault met in the main level and the known break in the hill ahead no attempt has been made to cross the fault. The first working of the rise coal will soon be completed. Three places are now being worked off the last inbye incline. Two of these were in very soft coal, but that in the third one was clean and hard. A considerable area of coal should exist to the dip of the main level. Haulage and pumping gear would have to be purchased before it could be worked. Tripp's Mine.— orJone" pillar and some top coal above the main haulage-road the lower workings of this mine are finished. A drive has been put in about half a chain from the opencast area where the upper part of the seam was formerly worked. The new drive, commenced last year, did not reach the seam. It was flooded by heavy rains early in the year and has not been unwatered since. Burnwell Mine.—There was no output during the year from this mine. Towards the end of the year preparations were made for working the silica sand on the area. Albury Mine. —The mine-fire has been well cut off on the north side from encroaching upon the traffic road. A cutting 22 yards long was made, and continued as a tunnel through the clay overburden to the bottom of the middle seam. The owner continued working the coal west of this tunnel, but the fire worked around behind him in the middle seam, and it is still active there. He had to abandon trenching, and has since broken away a place to the west, out of the tunnel, and about 15 ft. from the fire. This place is in the top seam with about 19 ft. of coal below it, and he intends picking up the middle seam and pumping water from a creek to check the fire while he is doing so. The fire is about a dozen yards from the traffic road, and it may manage to cross to the road in the unworked coal to the south. WoodbanJc Mine. —There was no output during the year from this small pit. Allanholme Mine. —Two men have been employed throughout the year in the east level area, where the coal continues of good quality. The proposed new main dip haulage-road has not been commenced, evidently owing to lack of funds. Bellemore Mine. —Miners were engaged, who drove 100 ft. into the faulted ground north of the main level, but without success in meeting any coal. Numerous small drives were put in and shafts sunk north and south of the creek, but all efforts proved futile. The small area first worked appears to have contained all the coal in the locality. Ngapara Mine. —Three levels are still being driven to the north, and the places regularly undermined by handlabour. A plan of the airway is now posted at the mine-entrance. Shag Point Mine. —This mine was again flooded during May, and owing to a large slip the new haulage-road collapsed. The level which was driven to the south-west met a downthrow fault of 6 ft? displacement. Another level was driven below, and a few of the pillars have been extracted. The electric power has been extended to the mine, and the underground pump is now driven by a 5 horse-power three-phase 400-volt motor. Another motor has been ordered, of 7-g- horse-power, to drive the haulage-engine. Work is now confined to driving the dip which is going towards the seashore. Shag Point Goal-mining Go.'s Mine. —During the early part of the year most of the output was obtained from places east and west of the long crosscut. In the middle section places were worked in coal 7 ft. thick, but split up by a stone band, 18 in. thick, in the centre. This stone thickens, leaving about 3 ft. of coal, which will probably continue to the old Allandale workings, only about 8 chains ahead. Off the top west level one place was worked in coal 3 ft. 9 in. thick. East of the long crosscut the coal rapidly thinned to less than 18 in. thick. Near the bottom of the main haulage-road a new dip has been driven almost due north a distance of chains. The coal is of very good quality, but is only 3 ft, thick, with a very tender roof. The face of the dip is about 15 chains from high-water mark. Pillars were worked during the year both east and west of the long crosscut. Many " safety first " notices (painted on sheet iron) are now posted at the tunnel-entrance and at the bottom of the main dip. A good deal of attention has been paid to these notices by the workmen, with beneficial results. Gimmerburn Pit.—No coal having been produced for some time, the lease was determined in November. Rough Ridge Pit.—There was no output during the year from this opencast pit. Idaburn Pit. —The output has again decreased, and is now about half of that produced two years ago. Alexandra Mine.—Pillaring was continued during the year, three men being employed. Near the bottom of the crosscut the goaf showed pronounced signs of heating in August, and two stoppings had to be immediately put in. Early in October the timber of the air-shaft gave way and the top portion fell owing to a large inflow of water down the shaft. A water-race, constructed by the Public Works Department, crosses the gully about 60 chains north of the shaft and at a considerably higher altitude. This race was completed three years ago, but no trouble was experienced at the mine until the inflow which caused the collapse of the shaft. It is claimed the inflow was caused by seepage from the race. After completing repairs to the air-shaft a narrow crosscut was driven about 5 chains down from surface and towards the return airway. The heated area mentioned above is now well under water. Mcpherson's Pit. —Three hydraulic jets are now used for stripping away the heavy overburden, which in places is 60 ft. thick. One of the jets is directed on to the old mine-fire, which is rapidly being cut off; there is now no trace of it near the traffic road. There is workable coal under Washpool Creek, which flows across the western side of the lease, but permission would have to be obtained to divert the creek before the underlying coal could be mined. Water from this creek is used for irrigation purposes. Shepherd's Greek Mine. —The pillars in the old mine are almost exhausted. A new drive was started about 7 chains south of the pillar section. This drive, going almost due west, commenced as a level, but is now dipping at a grade of lin 7. The coal, 8 ft. to 9 ft. thick, containing two thin seams of clay, has been reached. This drive will command about 7 acres of unworked coal between the two sections of old workings. Gardrona Pit.—No coal was produced during the year. Nevis Grossing Pit. —The customary output was maintained from this small pit, used for local requirements. Doolan's Greek Mine } near Gibbston.—A few tons were mined early in the year, but owing to the cost of haulage over the mountain by drays it became unprofitable to continue working.

51

<I—2,

52

Anderson's Mine, Gibbston.—Early in the year a small shaft was sunk 12 ft. down from near the face of the main level. The coal met in this shaft was soft, and mixed with clay. The inflow of water becoming too heavy, the proprietors ceased operations and took up all the mine-rails. No work has been done there since. Freeman's Mine.—Three miners are still employed at pillar-extraction. A pillar place showed signs of heating during August, but was successfully sealed off a few days later. Jubilee Mine. —The No. 4 section was exhausted in August. In the No. 6 section the grade of the dip lessened until it eventually became level. A stone band came in 3 ft. from the floor. This band thickened, and the bottom, coal thinned, so work was confined to the 5 ft. of coal above the band, which thickened to 6 ft. There appear to be a few acres of profitable work ahead in this section. In the No. 5 section solid work is still being done. When dow.n about 3 chains the main dip holed into old workings. The dip was then deflected to the south, and is now approaching the Brighton traffic road. Willowbank Mine. —.Pillar-extraction, is proceeding down the old dip section. The new east level, which is over 6 chains in from the surface, has only recently met the coal-seam. This level will be driven another 4 chains before a dip is commenced to the south-east to work the area east of the downthrow fault met in the old workings. A few acres of rise coal can also be worked from the new level, as it is many chains from the East Taieri mine-workings. Brighton Mine.—A. severe thrust was showing on the pillars, and most of the travelling-roads were closing, so the two miners ceased operations during May. Very little more can be done unless a pump is procured and the dip extended. Waronni Mine. —Development in the lower seam proved very disappointing, and only three miners are now employed there. Most of the places in the south-west side of the dip proved low coal. In most of them the lower 3 ft. were soft and mushy and contained many floating boulders. In the No. 2 extension heading (going north-east) one huge boulder reduced the height of the coal on the west side to only 12 in. Owing to the liability of heating occurring in the upper seam pillar workings the management was instructed to procure a ventilating-fan for that district, and one was installed in June. Heating occurred in July, or within a month of the fan commencing duty. Another place (the farthest in bye one to the south) also caused anxiety owing to heating during November. There is about a year's output in this area of pillars, provided none are lost through heating. Crichton Mine.—The owner and his son are still working places off a pair of levels going to the north-west. The main level is now in 5 chains, but, being in rather soft; lignite, it is temporarily stopped. The back level is also in soft and dirty coal, but is still being driven. A dip was commenced, to go ahead of the old workings. Soft coal was met when only 9 yards down, so the dip was stopped. Taratu Mine.—Barclay's section : This was the only section worked during the year, and most of the output is now produced from pillar-extraction. The dip on the east side was stopped when only 4 chains down. The south places off this dip met stony coal, and the north places had only 2J chains to go to reach the dyke. The two lowest rows of pillars have been worked back, and the dip is now used as a sump, leaving the other two rows of pillars to be worked in the future. The south-side workings reached outcrop coal early in the year, and the pillars were then worked back. A few solid places are still being driven on the west side, but these are nearing the fault, and will soon be stopped. Two places were driven on the east side through a barrier pillar. Throughout the year heating has been very pronounced near the mine-entrance. Over many of the timber sets boiler-plates were laid, and bags of sand then placed over these plates. Two short bores were later drilled into the heated mass, and water from the dip was pumped into these boreholes. This was successful in reducing the temperature. It is imperative that new development work —such as the proposed dip drive to the lower seams in the area between the old shaft section and Barclay's section— be soon commenced, otherwise the Taratu Mine will be short of supply within three years. Tuakitoto Mine.—A 20 ft. roll was crossed early in the year in the development east of the main dip haulage-road. Two miners are now working there in good clean coal with about 40 ft. of coal overhead. A new multibular boiler has been purchased, and will soon be in use, to generate steam for pumping and haulage. Kaituna Mine. —Early in the year a small quantity of coal was extracted from pillars in the dip area. The main dip has since fallen, and the mine is closed. The only work now being done is the splitting of a few pillars in the topseam area. Kaidale Mine. —No work has been done at this mine during the year. Kaibrook Mine. —A small output was produced during the winter months, but nothing has been done since. Kaitangata No. 1 Mine. —Development was continued in the Nos. 3 and 4 seams. In a heading going east from the No. 3 south workings a downthrow fault of 6 ft. was met. Beyond this fault a 6 ft. seam of hard coal (the No. 4 seam) was met. A place has been driven over 4 chains to the east in this seam. Headings have been broken away to the north, and are now in about 5 chains. The dip off the extension of the main haulage-road into this seam is now stopped. A level has been driven to the south and will connect with the headings mentioned. When this connection is made the dip will then be extended farther to the east. From a place off this level an upcast was recently started at a grade of lin 1. It is expected to pierce the main seam within 130 ft. A prospect drive going almost due north was put in from the main haulage-road to prove the unworked ground towards the Castle Hill area. This drive was expected to rise and reach the surface in about 1,100 ft. if workable coal was proven en route. It was intended then to use this drive for a main return airway and thus do away with the need of the present air-shaft. The drive went level for 200 ft. then rose at a grade of 1 in 3 for another 220 ft., without proving any coal. A rise was then put up 38 ft. but only proved a 2 ft. seam, so the drive was abandoned and sealed off. The connection between the Nos. 1 and 2 Kaitangata Mines was completed early in the year, and the ventilation of portions of the No. 2 mine was considerably improved thereby. A few men have been employed at pillar work during the year in the No. 1 seam workings. Kaitangata No. 2 Mine.- The pillar section in the No. I scam workings near the main haulage-road became exhausted near the end of the year. In the north end of No. 1 seam workings four solid places are being worked. This is the only solid work being done in this mine. The pillars in No. 5 (McMillan's dip) section were extracted during the year, and pillaring is proceeding in the seam to the west of McMillan's dip area and in the No. 4a seam workings to the north. A prospect drive was put in to the south from the main haulage-road and between Nos. 3 and 4 seam workings. Two small seams, each about 2 ft. thick, with I ft. of clay between, were followed for some time. Then a stratum of conglomerate was driven through and another small seam, I ft. thick, was met. The drive was stopped when 7 chains in. Castle Hill Mine.—A circuitous connection has been made through many large rolls from the 6 ft. seam to the main return airway. This new return will now permit the extraction of all the standing pillars in the main seam north of the main haulage-road. These pillars were formed many years ago, and should soon be extracted, as the coal is of good quality and there are thousands of tons available. A dip was recently driven a chain or so in the 6 ft. seam. It is now in fairly good coal, and a small workable area has been proved there. Benhar Mine.—The south side workings having been effectively sealed off, and the main dip stopped in very faulted ground, development has been confined to work on the north side. A small section has been worked off a short dip a few chains north of the main haulage - road. The workings off the lowest north level are stopped. Means for air-reversal, have been made, and the ventilating-fan is now driven by a three-phase electric motor ; the haulage plant and pumps are also motor-driven. Two pumps are used, the lower one driven by a 3 horse-power motor and the upper one by 1 horse-power. The cables are taken to the pumps in proper conduit. A new dip drive has been commenced from the surface and about 15 chains from the present main haulage-drive. This new drive is down about 60 ft. at a grade of I in 4, and has passed through the No. I seam, which there is of poor quality. Whiterig Mine.—A crosscut has been driven through some of the pillars on the west side of the main dip. This will be used as a continuation of the main haulage-road. Stone stoppings have been built in the old bord ends. Green's Mine, Gore. —Work in the main dip was recommenced during the year. It was extended another 2 chains, but at first not reduced in size to the dimensions I required. Later, I was notified by the new mine-manager that the place would be driven lower and narrower than formerly. Development was continued in the levels and inclines south of the main dip. Samples of the mine-dust were collected and forwarded to the Otago School of Mines for analysis. All contained sufficient moisture and ash, so the roadways do not require treatment with incombustible dust.

C.—2.

53

Glenlee Mine.—No further work has been done in the dip, and all the output has been won from the two levels to the north-west. Ramsay''s Pit.—The stripping is kept well ahead at this opencast pit. Argyle Pity.—Early in the year the output was obtained from 3 ft. of coal left on the floor of the pit during former workings. For many weeks water was in short supply, and a good deal of overburden requires to be sluiced away before any further coal is available. Melver's Pit.—Worked for local supplies, and only a few tons produced. Terraee Mine, Kingston Crossing.—-A stenton was driven to the south-west off the main north-west level, and a back level commenced from this stention. As only an 8-yard pillar was being formed between the levels the owner was instructed to increase the thickness of this pillar to 12 yards. A new air-shaft has been sunk from the surface to near the face of the main level. Princhester Creek Pit. —An opencast pit, worked for local requirements. Lynwood Pit, Te Anau. —An opencast pit, the output being principally used on the steamer plying on Lake Te Anau. Boghead Mine.—Only the levels to the north of the No. 2 dip are now being worked. This dip, going north-west, is now down 4-} chains. Stone stoppings are being built between the main haulage-road and the return airway. A plan of the mine-workings has been made by a licensed surveyor. Mataura Lignite-mine.—All the northern places having reached the boundary, the production is now solely from the places to the south. As some very narrow pillars were being formed, the manager was notified that in future pillars must be not less than 12 yards square. It is proposed to sink a shaft from the surface to near the face of the main dip. When completed the ventilating-fan will be removed from its present position to there. Larking''s Pit.—This is an old opencast pit reopened during the year. Three men are now working there. The seam is 14 ft. thick, of which the top 10 ft. has been worked. A ditch is being cut to enable the bottom 4 ft. to be got. There is an overburden of 10 ft. of stiff clay. The seam dips to the north and pinches out on the east side. They intend continuing the stripping up the gully, but I recommended a drive to the full dip of the seam. Ota Creek Pit. —The customary small output has been maintained during the past year. The lignite became too thin on the east side of the pit, so the owner recommenced working on the west side. There is about 6 ft. of stripping with 5 ft. of lignite beneath. Clarke's (Wyndham) Pit. —The stripping of this pit, close to the town of Wyndham, was kept well ahead of the coal-getting. No work has been done at this pit since September. Diamond Lignite-pit.—This pit has been made about 15 ft. deeper, and a second lift, of about three-years' supply, is now being worked. Broomhill Mine, Nightcaps.—The two miners continued extracting the few remaining pillars alongside the dip until October, when heavy rains flooded the mine. The pump at the dip-bottom was lost, and the mine was abandoned. Black Diamond Mine.—No work has been done beyond the large downthrow fault met in the south workings, and all the production for the year was obtained from the northern levels, several of which are now stopped, having reached within a chain of the boundary of the lease. A little coal was found about 3 ft. below the floor near the bottom of the dip, so, to prove if it is workable, prospecting will soon be done there. The bottom east level has reached troubled ground, apparently a washout, and a couple of places above have also reached this washout, which appears to be the same trouble as that which cut off the dip, so it has circled from the east side to the west. The places going south have not yet met this trouble, but are expected to do so soon. To keep the miners in constant employment a large quantity of surplus coal was stacked on the surface last summer. This was disposed of towards the end of the year. Owing to labour troubles only eight miners were employed during the second half of the year instead of about twenty. The concrete bathhouse is now in daily use. Wairio Mine. —A small area of coal was stripped on the hillside west of the Nightcaps-Ohai traffic-road. Later, three drives were put in. The coal in the middle one was at first 8 ft. in thickness, but thinner in the other levels. It became very dirty, and the few pillars which had been formed were extracted. A further outcrop has been found lower down the hillside. Mossbank No. 1 Mine.—-About the middle of the year the main winning-places in the lower seam entered land sublet from the Wairaki Coal Co., and to the east of the 20-acre lease held by the Mossbank Coal Co. South of the main drive very little work has been done, the coal becoming very dirty, and only two prospecting - places are now being driven in that direction. On the north side many of the places have reached a large washout running south-west, and these also are stopped. The main dip drive is now in 28 chains and within 7 chains of the Ohai School site. The cover being very shallow, most of the places are damp. No sign of inflammable gas has been found in this mine. Wairaki No. 1 Mine.—The main dip is stopped about a chain from the boundary of the Ohai Township. A large upthrow fault was met, presumably the same as that met in the No. 4 east level, where prospecting proved it to have a displacement of 38 ft. A pair of levels will shortly be driven on the east side through this fault. In the No. 2 east places the coal is rather stony, but varies quickly in quality. In Nos. 1, 3, and 5 west level sections development is proceeding in coal of good quality. Preparations are well in hand for building a brick and steel overcast on the main haulage-road a few chains down from the surface. When completed the Sirocco ventilating-fan purchased from the New Brighton Coal Co. will be installed. A commencement will then be made to extract the upper east pillars. Brick stoppings have been built between the main intake and main return airways, and wooden stoppings have replaced most of the temporary cloth ones, so the ventilation is considerably improved thereby. A water-gauge and automatic indicator have been connected to the fan now used. These instruments are in the deputies' cabin and handy for reference. Several of the trucking-roads have been treated with incombustible dust. An eight-cubicle bathhouse was built near the No. 1 mine -entrance, and since its opening it has been much used by the underground employees. Wairaki No. 2 Mine.—A few miners are still employed at pillar-extraction both on the east and west sides. Linton Mine. —No. 4 dip section : The places in the upper workings of No. 1 level south are being driven immediately over the lower workings. A band of stone 12 in. in thickness came in the lower workings of No. 2 level south. The solid workings of this panel were completed in August, but pillaring has not yet commenced there. Development is proceeding in No. 3 south workings. The seam continues thick, but the lower places have already reached the faulted country near the Morley Stream. North of the large downthrow fault which cuts off No. 4 dip workings four bores have been put down, and the fifth is now being drilled. In three of the holes a thick seam was proven, and the downthrow fault was shown to be of 140 ft. displacement. One hole was abandoned at 438 ft. from, surface, the seam not being reached. In the main seam area a dip was commenced west of the pillar workings, and after crossing the fault proved a thick seam of good clean coal. This dip is now down 5 chains. Owing to an ignition which occurred in the dip area in April, whereby two miners were injured, only safety-lamps are now used in the main seam workings as well as in the No. 4 dip section. Brick and concrete stoppings have been built completely around the fire area, and there is now no smell of fire-stink. Pillaring has been recommenced, after leaving suitable barriers between the stoppings and the new workings. The concrete stoppings were built of blocks 8 in. by 8 in. by 16 in., made in a cast-iron machine. A bathhouse of ten cubicles was constructed near the Morley Stream, and it. has been much used since its completion. A safety-lamp room has been built of poilite near the mine entrance. A Tungar battery-charger or rectifier is in use at this lamp-room. It is connected to the 230-volt A.C. current from the main lead?, and supplies the charging-board for the safety-lamp accumulators with D.C. current up to 75 volts. Birchwood Mine.—A large downthrow fault was met in the No. 2 west section, and the No 3 west section entered stony and unprofitable coal. The solid work was completed in September, and the pillars in the bottom east section and in Nos. 2 and 3 west sections are now being extracted. All stoppings between main intake and return airways were rebuilt of stone faced with cement. Instead of coursing the air around the whole mine, the ventilating-current was divided into two splits, thus considerably improving the ventilation.

o.— 2

54

Early in the year a little prospecting was done at the face of the dip. A little coal was found rising steeply as though approaching a large downthrow fault. A good deal of inflammable gas was given off in this place, which fell in later after work was stopped there. A borehole was then put down from the surface about 15 chains south-west of the face of the dip. Trouble was experienced in drilling, and the hole had to be cased. It was stopped at 603 ft., no workable coal having been pierced. Then four boreholes were put down on the flat near the Morley Stream and north-west of the mine-entrance. The first of these (No. 2 bole) went through two small seams near the surface and was stopped at 180 ft. down. These two seams, were also pierced in No. 3 hole. No. 4 hole met 9 ft. of coal at 33 ft. from the surface, and No. 5 hole passed through two seams, 5 ft. and 6 ft. respectively. It is intended to put another deep hole down a few chains due south of the face of the dip. Sale is now being found for all the slack produced. Ohai Coal Co.'s Mine.— The solid workings were completed early in the year, so the output has chiefly been from the small area of pillars. These will all be extracted within twelve months. Almost due north of the crosscut and about 3| chains from the large downthrow fault met there a borehole is being put down from the surface. It is now down 420 ft., but the thick seam proved by the Linton boreholes must still be below the bottom of this hole. Black Lion Mine. —In the east side places in the main workings the coal thinned to about 1 ft. and in the west places the coal became very soft and unsaleable. A prospect tunnel was driven in the hill to the west and about 10 chains from the main workings. This drive proved 7 ft. of clean coal, which appeared to be the seam worked in the main seam section of the Linton Mine. About 17 chains north of the main workings a dip section was recently opened. This is 3 chains north-east of Clapps' old opencast pit. This dip section is called " Ross's drive," and is dipping at a grade of lin 3. The coal is fairly hard and about 9 ft. in thickness, but it is full of dirty clay backs, so does not sell very readily. A few short boreholes were put down near the Morley Stream. These proved two seams, the upper from 5 ft. to 6 ft. thick and the lower one from 7 ft. to 10 ft. thick. A small shaft was sunk to prove the value of the lower seam. When down 30 ft. they could not cope with the inflow of water, so below the shaft they bored into alO ft. seam. They are now preparing to put down a dip to the north at a grade of 1 in 4 from the north bank of the Morley Stream. A fine electric haulage plant was purchased to haul the coal from the valley to the screening-pi ant at the railway-siding. The three-phase 50-cycle A.C.E.C. motor is rated at 55 brake horse-power. The screens, 20 ft. long with f in. mesh plates, will also be motor-driven. Morley Collieries Ltd.—No work has been done on this area during the year. The two drives were stopped owing to lack of funds when only a few feet in. Fatal Accidents. Linton No. 2 Mine. —On the 2nd October a miner named Anthony F. Francis, aged thirty-nine years, wandered into the return airway and into an overcast leading to a small panel of workings where the solid work had recently been completed. The overcast was full of firedamp, and Francis was suffocated by the gas, his body being found two hours later by a party of rescuers, two of which were also overcome by the gas, but quickly recovered. Medical evidence showed that Francis must have had a severe spasm of the glottis immediately after entering the body of gas. Kaitangata No. 2 Mine. —On the I.sth October, a miner named George White Hosking, aged thirty-eight years, was instantly killed by a large fall of stone which occurred in his pillar place. He and his mate were taking a narrow lift up a pillar, and the roof becoming drummy they were instructed to cease working there and commence on the pillar on the low side of the road. This they did, having taken out a width of 6 ft. when the fall occurred. The place was timbered by props, but they were all swung by the fall. The body was recovered two hours later, nearly every bone being broken. Serious Non-fatal Accidents. Jubilee Mine. —3rd February : John Kelly, miner—fracture of the pelvis caused by a fall of stone in a low pillar place. The prop which supported this stone prior to the fall had swung out. Linton Mine.—sth May : James Neylon, miner, was struck by a fall of coal from the roof, causing a compound fracture of the left ankle-joint and fracture of both bones of the left leg just below the knee. He was filling a tub when about 2 tons of top coal fell on to the coal already lying from a shot, and some of it struck him. Kaitangata No. 2 Mine.—7th June : James Green, miner—fracture of the left scapula. He and his mate had just commenced a new lift off a level. A prop had been put up to the roof, and a large lump of coal rolled or fell off the face, knocking out the prop, which in falling struck him on the shoulder. Kaitangata No. 2 Mine. —,19th August : Albert Rogers, miner—injury to back and fracture of the left leg caused by a fall of coal falling from the roof and knocking out a prop. Either the prop or some of the coal struck him. Kaitangata No. 2 Mine. —2nd September : Henry West, miner—injury to spine. Whilst trimming down tops he jumped back and fell backwards on to the top of a short prop which was sticking up above the loose coal. I Anton Mine. —20th September : Hugh McTague, miner, sustained a fractured clavicle and severe scalp wound by a fall of coal in his pillar place. Black Diamond Mine.—l6th October : George Tinker, company-manager, employed as a miner, received severe cuts on the head and chest by a fall of coal from the rib of the place in which he was picking up bottoms. Dangerous Occurrences notified under Regulation 94 (1). Linton Mine. —A new dip was driven west of the main seam workings, and crossing a fault shortly after it was broken away. When it was down H chains a place was driven to the south, and off this place a back heading was driven to the rise for a return airway. I nflammable gas accumulated in this back heading when it was up 42 ft. The two miners working there (Joseph Moffat and John Humphries) were instructed the previous day by the underviewer to use safety-lamps. Despite this Humphries carried a naked acetylene-lamp into the place, causing an ignition of the accumulated gas. Both men were severely burned about the face and arms, and later John Humphries was prosecuted by the mine-manager. He was convicted and fined £3 and costs. In compliance with section 95 (1) (b) of the Coal-mines Act, 1925, safety-lamps were then installed in the mine. Waronui Mine. —6th July : Smoke was discovered when cleaning out an old bord which was driven about twenty years ago in the No. 2 section of the No. 1 mine. The bord was full of loose coal and dross, which was being filled ft way. The place was stopped off. Kaitangata No. 1 Mine. —Bth July : Owing to indications of fire at 10.30 a.m. in the south side of No. 4a seam workings the men were withdrawn and the section effectively sealed off by 3 p.m. Wairaki No. 2 Mine.- —23rd September : In a place in the goaf on the west side near the bottom of the dip a large mil showed slight signs of heating. This was stopped off and the adjacent pillar-extraction hastened to permit the mine-water to rise and flood the area. Waronui Mine.—2nd October : Fire was discovered in an old heading being reopened in No. 2 section of No. 1 mine and about 200 ft. from where the previous heating occurred. It was of small extent, and was sealed off. Waronui Mine. —24th October : Another incipient fire was found in the old workings of the No. I mine, which were being reopened. This started in an old level which was standing full of dross. The heated coal was filled out. Prosecutions. On the 17th May a mine-manager prosecuted a miner for disobedience in carrying out instructions given for the safety of the mine. He was convicted and fined £3 and costs. On the 7th June a deputy, who was also the authorized shot-firer, was convicted and fined £1 and costs for deputing miners to fire a shot in their working-place. A further count against him was withdrawn.

55

0.—2

COLLIERY STATISTICS, 1926.

ANNEXURE B.

I «*.,IB I ' Number of Persons » «©s-, w »— ilwifte: w n~ i ss 3 gj working. g tier. lyzo. ber, lyzo. g ° 58 | 5 [ 3 I I ! I NORTHERN INSPECTION DISTRICT. I | Tons. Tons. I Tons. ■ Hikurangi P.W. Mine, Hikurangi Freehold .. A.Bali .. .. Hi kurangi Coal Co., Ltd., Auckland 34 Sub - bitu- 1 6A' .. 6£' .. Bord and | .. 2,152 1,435,480 | 1,437,632 .. j 3 3 Natural .. T. 396'. ! minous " pillar Hikurangi New Shafts,. Hikurangi ,, .. J. Makinson .. Hikurangi Coal Co., Ltd., Auckland 4 Ditto .. 1 10' ..8' .. Ditto .. j 2 26,908 127,295 ! 154,203 40 104 144 Waddle fans S. 350', S. 340'. Kerr & Co., Hikurangi .. ,, .. A.H.Taylor .. Kerr & Wyatt, Hikurangi .. 65 J ,, ..15' ..5' .. ,, .. .. 5,574 24,761 30,335 4 11 15 Natural .. T. 528'. Silverdale Colliery, Hikurangi .. Crown lease .. S. Foot .. .. Foot & Doel, Hikurangi .. 8|j ,, .. 1 3'to 5' 5' .. ...... 4,156 21,924 ! 26,080 1 4 5 Natural .. T. 120'. Northern Co-operative, Hikurangi ,, .. E. A. Cunningham E. A. Cunningham & Co., Hikurangi 8 ,, .. 14' ..4' .. „ .. .. 356 28,686 29,042 1 3 4 Natural .. T. 40'. Christie's Co-operative, Hikurangi Freehold .. H.Tipton .. Reyburn Lime Co., Whangarei .. 6Jj ,, .. 15' . 5' .. ., .. .. 5,135 25,685 30,820 1 4 5 ,, . • T. 50'. Wilson's Colliery, Hikurangi .. ,, .. G.Davidson .. Wilson's Collieries, Ltd., Auckland 9 I ,, .. 18' ..8' .. „ .. .. 61,409 232,104 j 293,513 38 j 130 168 Sirocco fan T. 1,320'. Waro Colliery, Whangarei .. ,, J. Cadman .. N.Z. Coal & Cement Co., Whangarei 16 ,, .. 1 5'to 9' 9' .. .... 1 2,041 43,762 ! 45,803 2 | 6 8 Fan .. S. 120'. Ruatangata Colliery, Kamo .. ,, .. R. Dickson (P.) .. Kamo Potteries, Ltd., Whangarei 6J ,, .. 18' ..7' .. ,, .. .. 2,541 3,185 ' 5,726 2 j 4 6 Natural .. T. 400'. Kawakawa Colliery, Kawakawa Crown lease W. Tunstall .. Wm. Tunstall & others, Kawakawa 3 .. 14' ..4' .. ,, .. .. 305 3,297 3,602 1 2 3 „ .. T. 130'. Glen Nell Colliery, Hikurangi .. ,, .. J. Mclntyre .. J. Mclntyre & party, Hikurangi .. 2 ., .. 14' ..4' .. 703 404 1,107 1 2 3 ,, .. T. 40'. Hillside Mine, Hikurangi .. Freehold .. Wm. Tunstall .. Cumming & party, Hikurangi . . 0J ,, .. 15' 2' 6" .. ,, .. .. 409 .. 409 1 4 5 ,, T. 66'. Belton's Mine, Hikurangi .. ,, . • Fred Johnson .. Johnson & party, Hikurangi 0J ,, ..15' 5' .. 229 . . 229 1 4 5 ,, T. 40'. Rotowaro Colliery, Rotowaro .. ,, •• A. Penman .. Taupiri Coal-mines, Ltd., Auckland 9 Brown .. 3 7'to 25' 7'to 15' .. ,, .. .. 151,928 753,476 905,404 68 198 266 Waddle &2 T. 3,000', T. sirocco fans 1,200'. Pukemiro Colliery, Pukemiro .. •• A.Burt .. .. Pukemiro Collieries Co., Ltd., 11 „ .. T 1 4'to 18' 4'to 14' .. „ .. .. 147,545 1,151,585 | 1,299,130 58 1 184 242 Fans (2) .. T. 4,000, T. Auckland 3,200'. Waipa Colliery, Glen Massey .. •. T.Thomson .. Waipa Railway & Collieries, Ltd., ] 13 „ .. 1 8'to 10' 6'to 8' .. „ .. .. 61,534 793,401 854,935 26 91 117 Sirocco fan T. 6,000'. Wellington ; Waikato Extended, Huntly .. ,, •• J.Leonard .. Roose Shipping Co., Ltd., Mercer 10 ,, .. j 1 16' 6" •. 15' •• ,, .. •• 6,894 51,561 58,455 2 6 8 Natural .. T. 490'. Glen Afton Colliery, Glen Afton ,, .. P. Hunter .. N.Z. Co-op. Dairy Co., Ltd., Auck- 6 ,, .. 1 8' to 17' 8'to 9' .. ,, .. 145,464 346,582 492,046 69 ; 213 | 282 Sirocco fan T. 4,200'. land Pukemiro Junct. Mine, Pukemiro Crown lease . . C. Y. Malony .. Clare & partners, Pukemiro Junct. j6 ,, .. 1 2'to 25' 2'to 18' .. ,, .. .. 11,603 43,602 55,205 7 12 19 Natural .. T. 350'. Taupiri East Mine, Kimihi a .. Auckland Uni- J. Holland (P.) .. Holland & party, Huntly .. j 5 ,, ..1 18' •• 13' .. , 689 4,491 5,180 1 ; 2 3 ,, .. T. 320'. versity lease Campbell Coal-mine, Whatawhat a Crown lease .. R. Fox .. .. Campbell Coal Co., Hamilton 5 ,, .. 1 12' ..9' .. ,, .. .. 3,654 6,342 9,996 1 6 7 ,, .. T. 90'. Old Stockman Mine, Mokau .. Freehold .. C. Wright (P.) .. Chambers Bros., A wakino .. 6 .. 1 4' 6" 4'6" .. ,, .. .. 543 1,383 1,926 .. 2 2 ,, .. T. 130'. Graham Colliery, Glen Afton .. ,, .. W.Mills .. .. Graham Coal Co., Pukemiro 3 ..16' .• 5'6" .. ,, .. .. 11,406 18,151 29,557 4 15 19 Fan .. T. 240'. Kimihia Colliery, Kimihia .. Auckland Uni- T. Holt (P.) .. R. Johnson, Huntly .. .. j 3 .. 1 12' ..7' .. „ 671 1,401 2,072 .. j 3 3 Natural .. T. 224'. versity lease Output of collieries included in previous statements at which operations are abandoned or suspended .. i .. .. ' .. .. .. .. .. .. 7,948,673 I 7,948,673 I WEST COAST INSPECTION DISTRICT. Nelson District. Puponga .. .. .. Crown lease .. j A. J. McHardy .. Puponga Coal Syndicate, Puponga 23 Sub - bitu- 1 3'6" .. Full height P. & S. .. 6,203 249,396 255,599 5 15 20 j Natural .. T. 17 ch. minous North Cape .. .. .. Freehold .. ; J. Bash all .. North Cape Coal Co., Nelson ..16 „ 1 4' 6" .. „ Stoping 1 2,362 105,929 108,291 6 6 12 1 „ .. S. 220'. Golden Bay .. .. .. „ .. J. McDougall (P.) .. J. McDougall (deceased), Motupipi 7 Lignite .. 15' .. : 4'6" .. Bord and .. 200 2,449 2,649 .. 2 2; „ .. T. 8 ch. pillar Waikohatu .. .. .. „ . . R. C. Stone (P.) .. R. C. Stone, Takaka .. . . 8 Brow .. 2 4' & 5' Full height Ditto .... 144 698 842 .. 2 2 „ .. T. 7 ch. O'Rourke's .. .. .. ,, J. Burgess (P.) .. A. O'Rourke, Murchison 7 „ ..12' . • „ Stoping .. 175 502 677 .. 2 2 ,, T. 11 ch. Mount Burnett .. .. Crown lease J. Bashall Mammolite Calciment (N.Z.), Ltd. 6i Sub - bitu- 1 .. .. .... 52 .. 52 2 2 4 minous Butter District. , Westport-Stockton .. .. Crown lease .. J.E.Armstrong .. Westport-Stockton Co., Ch'ch .. 18 Sub - bitu- 2 4'to 20' Full height Bord and 1 104,804 2,088,023 2,192,827 90 150 240 Fan .. S. 90'. minous pillar, panel Millerton .. •• •• >> •• Pearson & King .. Coal Co., Dunedin .. 35 Ditto .. 1 4'to 20' 12' .. Bord and 1 237,747 7,107,541 7,345,288 100 366 466 Fans .. T. 298 ch. I pillar Denniston .. •• •• » •• Hewitson & Smith Westport Coal Co., Dunedin .. 46 I ,, .. 4 3'to 30' Full height Panel .. .. 231,018 8,894,600 9,125,618 146 37« 522 Fan .. T. 380 ch.

C— 2.

COLLIERY STATISTICS, 1926—continued.

56

» 'g'S 'm'Si i Number of Persons Titlpqhpld h* System of t , , Totai Total ordinarily employed. D PT »th of Shaft Name of Mine and Locality. (Crown Lease or 6 Same and Address of Owner. I * I 15 of 8 "round 11 0ut P utlor ■ ~ VOTtilation 01 otherwise). ! Manager. ot Coal. g „ Coal-seams. worked. Is 1926. £r 192™ ber 192™ ® oa' entilation. Length of Tunnel I * S i *1 ' ~' \ & ■§ 1 j ®| 1 * j <i W ! _JH WEST COAST INSPECTION" DISTRICT— continued. Buller District —continued. ! Tons. Tons. Tons. I Dove's .. .. .. Crown lease .. Gilbert & Dove .. J. T. Dove, Seddonville .. 6 Sub - bitu- 3 3'to 20' 10' .. Bord and .. 15,569 94.396 109,965 3 15 I 18 Fan & nat. S. 72'. minous pillar Coal Creek .. .. .. „ .. Wm. Smith .. McGuire & party, Seddonville ..11 Ditto .. 1 5'to 20' 8' .. Ditto .. .. 1,158 69,647 70,805 .. 4 4 Natural Cardiff Bridge .. .. ,, . • M.Forsyth .. Cardiff Bridge Co-op. party, Westport 6 ,, .. , 1 5'to 25' 10' .-. ,, .. .. 27,761 56,711 84,472 5 32 | 37 Fan Westport-Mokihinui .. .. ,, .. H. Monagan (P.) .. Mcintosh & Willman, Seddonville 6 ,, .. j 1 5'to 15' Full height „ .. .. 5,742 14,555 20,297 1 8 9 Natural .. T. 16 ch. Chester's .. .. .. ,, • J. Pen berth (P.) .. Chester & party, Seddonville .. 7 ,, . . ; 1 2'6" to 3' „ ,, .. .. 1,666 9,491 11,157 .. 2 2 „ .. T. 4 ch. Quinn's .. .. .. ,, .. T. Quinn .. Quinn & party, Seddonville .. 3 ..'15' .. ,, ,, 3,496 1,659 5,155 1 5 6 ,, Wynn's .. .. .. ,, .. G. Wynn (P.) .. G. Wynn, Seddonville .. .. 3 ,, ..14' .. „ 1,293 1,626 2,919 .. 3 3 ., T. 3 ch. Glenlea .. .. .. State reserve J .Black .. .. Black & party, Seddonville .. 2 ,, ..15' .. ,, 1,369 78 1,447 .. 3 3 ,, .. T. 3 ch. Clydevale .. .. .. Crown lease .. J. G. Quinn .. Clydevale Coal-mines, Ltd., Seddon- 2 ,, .. 1 5'to 20' 10' .. ,, .. .. 4,818 2,868 7,686 3 20 23 .. T. 13 ch. ville Glasgow .. .. .. ,, .. J. Q. Niven .. R. McAllister, Seddonville .. 2 ., ..1 6'to 12' Full height P. & S. .. 4,808 2,652 7,460 3 5 8 „ Mitchell's .. .. •• ,, •• F. T. Mitchell (P.).. F. T. Mitchell, Charleston .. 3 Lignite .. , 1 3' .. „ Opencast .. 17 64 81 1 1 Opencast .. Sweeney's .. .. .. „ J. W. Sweeney . . J, W. Sweeney, Charleston 1 ,, 1 .. .. „ 14 .. 14 1 1 „ Warne's .. .. G. N. Warne .. G. N. Warne, Charleston 1 „ 1 .. .. „ .. 12 .. 12 1 1 „ Celtic .. .. .. „ .. L. McGrane (P.) .. McGrane & party, Seddonville .. 2 Sub - bitu- 1 5'to 9'.. Full height Bord and .. 2,552 2,431 4,983 .. 4 4 .. T. 6ch. minous 1 pillar Westportmain .. .. ,, .. . Thos. McGhie .. Westport- Granity Coal-mines, Ltd., 2 Ditto .. 1 20' ..10' .. I Ditto .. .. 23,076 5,798 28,874 ' 16 25 41 ,, S. Westport Harris's .. .. . • Freehold .. j John Harris (P.) .. John Harris, Karamea .. 4 Lignite 1 9' to 12' 5' .. ,,.... 13 .. 13 1 1 „ T. 20'. Whitecliffs .. .. .. Crown lease .. J. H. Burley (P.) .. J. H. Burley, Berlins .. .. 4 Brown .1 18' .. 12' .. ,, .. .. 255 274 529 .. 2 2 ,, .. T. 6 ch. Rocklands .. .. .. ,, .. J. P. Burley (P.) .. Walker Bros., Rocklands ..24 ,, .. 1 27' ..8' .. J ,, .. .. 276 8,753 9,029 .. 2 2 ,, Reefton District Phoenix .. .. .- Crown lease .. N. Collins (P.) .. Collins & Kearns, Beef ton .. 34 Brown .. 1 30' .. j 8' .. i Bord and .. 1,338 55,052 56,390 1 2 3 Natural .. T. 7 ch. I pillar >Reefton Coal Co. .. .. „ .. W.Wood .. Beef ton Coal Co., Wellington .. 25 ., .. 1 I 6' to 8'.. Full height Ditto .. .. 17,725 133,196 150,921 14 36 50 Nat. & fan j T. 8 ch. Clele .. .. .. •• C. Curtis (P.) .. Pascoe & Alborn, Reefton ..40 ,, .. 1 i 5' .. ] „ ,,.... 4,061 23,995 28,056 7 5 12 Natural .. T. 1,650'. Big River .. .. .. ,, .. W. E. Fattorini (P.) Big River Gold-mining Co.,Reefton 14 ,, .. 18' .. ,, Stoping .. 1,080 11,337 12,417 .. 2 2 ,, .. T. 8 ch. Morrisvale .. .. •• A.Thompson .. W. J. Morris, Reefton .. ..14 .. .. 2 ! 16' to 30' 10' .. Bord and .. 6,382 33,712 40,094 3 16 19 „ .. T.'s 73 ch. pillar Lankey's Creek .. .. ,, .. T. Nicholl (P.) .. Nicholl & Ecklund, Black's Point 5 ,, .. 1 1 5' .. Full height J Ditto .. -• 836 4,069 4,905 1 2 3,,.. Reddale .. .. •• ,, •• W. Lowden .. Reddale Colliery, Ltd., Ch'ch ..24 ,, .. 3 i 14' to 17' ,, „ .. .. 3,524 22,835 j 26,359 3 7 10 ,, .. T.'s 18 ch. Coghlan's .. -• •• Freehold .. T.McCormick .. J. Banks, Reefton .. ..30 .. 1 i 12' ..8' .. ,, .. .. 139 11,660 ! 11.799 1 4 5 ,, .. | Archer's .. .. .. „ •• F. W. Archer (P.) .. F. W. Archer, Capleston .. 28 ,, .. 4 j 10' to 18' 16' .. ,, .. 912 30,120 ! 31,032 2 3 5 „ .. j Caliope .. .. .. Crown lease .. D. MacLaughlin (P.) Caliope Coal Co., Christchurch .. 8 ., .. 2 ! 4'&8'.. I Full height ., .. •• 440 7,687 ! 8,127 1 2 3 .. T. 6 ch. Doran's .. .. .. „ •• J. J. Doran (P.) .. J. J. Doran, Capleston ..6 ,, ..16' ..I „ ,,.... 9 1,678 i 1,687 .. 1 1 „ .. White Rose .. .. • • ,, • • W. Osborn (P.) .. W. Osborn, Merrijigs .. 3 ,, ..13' .. ,, ,,.... 4 27 I 31 1 1 .. T. 3 ch. Lockington's .. .. .. •• I E. F. Lockington (P.) E. F. & G. G. Lockington, Reefton 26 ,, .. 1 12' to 20' 8' .. j ,, .. .. 23 23,012 I 23,035 .. 2 2 , .. | T. 2 ch. Golden Point .. .. ,, .. R.Alison .. T. S. Patterson, Reefton .... ,, .. 1 10' .. Full height ; ,, .. •• 127 16,103 16,230 •• 2 2 ,, .. Ch"6y, mou th District. Armstrong's .. .. .. State reserve j V. Armstrong .. Armstrong & party, Dunollie .. 5 Sub - bitu- 1 5' to 14' 5'to 8' .. I Bord and •• 6,222 18,572 j 24,794 2 5 7 Natural minous pillar Baddeley's .. .. .. ,, ! J. Rowse.. .. Baddeley & party, Runanga .. 6 Ditto .. 15' ..5' .. Ditto .. .. 1,586 16,444 j 18.030 2 6 8 Fan .. i .. .Blackball .. .. .. Freehold .. J. Neilson .. Blackball Coai Co., Wellington ..35 ,, .. 2 17' ..15' 101,237 3,365,597 j 3,466,834 70 291 361 ,, .. j 2 adits: 1,232' i j and 650'. Brae Head .. .. .. State reserve J.Watson .. Boote & party, Dunollie .. 6 ,, .. 19' .. Full height i ,, •• • 6,642 13,945 20,587 4 8 12 ,, .. i T. 52 ■ ch. Cains .. .. .. ,, E. Cain (P.) .. J. Cain, Rapahoe .. .. 2 ,, .. j 1 4'to 6' ,, ,,.... 439 309 748 1 2 3 Natural .. ! T. 5 ch. Dobson .. .. .. Crown lease .. J.Hughes .. Grey Valley Collieries, Ltd., Christ- 4 ,, .. 1 9'to 14' 9' .. Bord and .. 42,446 16,555 59,001 29 120 149 Fan .. I S. 1,200'. church pillar, panel Duggan's .. .. .. State reserve W.Richmond .. Duggan & party, Rewanui .. 5 ,, .. 1 4' 6" .. Full height Bord and .. 5,113 13,115 18,228 1 7 8 Natural .. , T. 4 ch. pillar I j | Hunter's .. .. .. ,, Alt'. Hill .. .. Hunter & party, Dunollie ..6 ,, ..13' .. ,, Ditto .. j . . I 3,549 14,981 18,530 1 7 8 Fan .. T. 15 ch. Mclvor's .. .. .. ,, John Duggan .. Mclvor & party, Dunollie .. 5 ,, .. 17' .. ,, ,, . .| 3,386 4,687 8,073 2 7 9 Natural .. | T. 7 ch. Moody Creek .. .. . Wm. Robertson .. Simpson & party, Dunollie .. 4 ,, .. 18' .. ,, j ,, .. ..i 5,405 12,375 17,780 j 3 6 9 ,, » Manderson's .. .. .. ,, P. Manderson (P.).. Manderson & party, Dunollie .. j 5 ,, ..1 .. ,, 1 ,, ..I.J 5,088 15,651 20,739 ' 2 9 11 ,, .. i T. 9 ch.

57

C.— 2.

B—C. 2.

Paparoa .. .. .. Crown lease .. A. F. O'Donnell .. Paparoa Coal Co., Wellington .. 18 Semi-bitu- 1 5'to 25' 8'to 25' .. Bord and .. 35,503 508,614 544,117 28 68 96 Fan .. T. 48 J ck. ! minous pillar Shultze Creek .. .. ,, .. | W.Page.. .. McAuley, Marshall, & Page, Ru- 2 Sub-bitu- 1 4'6" .. Full height Ditto .. .. 979 119 1,098 1 3 4 Natural .. T. 3 ch. nanga minous Smith's .. .. .. State reserve T. Halliday Smith & party, Runanga .. 6 Ditto .. 1 5'6" .. ,, ,, .. .. 4.749 23,438 28,187 2 6 8 ,, T. 7 ch. Spark's .. .. .. ,, J. Unwin (P.) .. Spark & party, Rewanui .. 5 „ .. 17' .. • „ 4,764 9,362 14,126 2 7 9 Fan .. T. 1 ch. Hillside .. .. .. ,, J.Forrest .. Hillside co-op. party, Runanga .. 6 „ .. 1 14' ..9' .. 2,408 21,099 26.507 3 4 7 ,, .. T. 15'. Liverpool No. 1 .. .. ,, T. King .. .. N.Z. Government, Wellington .. 14 Bituminous 2 6' to 30' Full height .. .. 56j019 ) / 55 73 128 ,, .. T. 38 ch. Liverpool No. 2 .. .. ,, T. King .. .. N.Z. Government, Wellington .. 3 ,, 3 8'to 34' 8' .. 68,899 ( 1 , rQ — 0 , „ ir 57 180 237 .. t! 56 ch! Liverpool No. 3 .. .. ,, T.King .. .. N.Z. Government, Wellington ..14 ,, 1 4'to 16' Full height ,, .. 9,642 f ,y ±,o±s>,i»< 14 .. T. 5 ch. Liverpool Extended .. .. ,, T.King .. .. N.Z. Government, Wellington .. 5 ,, 1 4' to 7' ,, , 10,848 ) ( 7 17 24 James .. .. .. ,, J.Armstrong .. N.Z. Government, Wellington ..4 ,, 1 4'to 8' ,, „ .. .. 33,739 72,651 306,390 27 53 80 .. T. 15 ch! Wallsend .. .. .. Crown lease .. A. W. Whittles tone Brunner Coll.. Ltd., Brunnerton .. ,, 1 6'to 16' ,, .. 205,539 205.539 7 3 10 ,, .. S. 260'. " Allan's .. .. .. ,, .. J. Hallinan .. Allan & party, Brunnerton .. 4 ,, 1 8'to 10' 9' .. 313 2,400 2 4 6 Natural .. T. ch. Output of collieries included in previous statem ents at which operatio ns are abandoned or suspended .. .. .. .. .. .. .. .. 6,965,897 6,965^897 SOUTHERN INSPECTION DISTRICT. Canterbury District. i ! I ! Mount Torlesse, Avoca .. i Crown lease .. H. Talbot (1st C.) Mount Torlesse Collieries, Ltd., 9 Brown .. : 1 9' .. All .. Bord and .. 3,201 ! 68,855 ' 72,056 6 15 Fan .. T. 396'. Christchurch I pillar Homebush, Glen tunnel .. Freehold .. J. C. Campbell (D.) Homebush Brick & Tile Co., Glen- 53 ,, ..16' . ,, .. Ditto .. 2,611 j 344,263 ! 346,874 2 5 7 Natural .. T. 289'. tunnel Bush Gully, Coalgate .. .. ,, .. Jas. Charles (P.) .. J. Dean's Estate, Coalgate .. 9 ,, .. 1 3' 3" .. ,, .. ,, .. .. 544 \ 39,121 ! 39,665 .. 2 2 ,, T 198' St. Helens, WhiteCliffs .. Crown lease .. J. Campbell (D.) .. G. McClatchie & Co., Christchurch 45 ,, .. 2 4|' & 6' | „ .. ,, .. .. 1,093 ! 33,053 ! 34,146 1 3 4 .. t! 200'* Steventon Valley, Whitecliffs -. Crown perpetual J. T. Leeming (D.) Leeming Bros., Glentunnel .. 1 ,, .. 16' •• ,, .. .. 752 ! .. 752 .. 3 3 t! 210'! lease Clearview, Glenroy .. .. j Freehold .. Geo. Aitken (D.) .. Clearview Coal Co., Glenroy .. 7 ,, .. 1 10' 6" .. 7' ,, .. .. 2,221 j 8,099 10,320 2 3 5 ,, S. 30' Tripps, Mount Somers .. j ,, .. I J. McClimont (D.).. Mt. Somers Coal Co., Mt. Somers 60 ,, .. 1 30' .. i 7'to 9' .. ,, .. .. 584 j 83,022 83,606 .. 2 2 ',' !! T 330' Burn well, Mount Somers .. j Crown lease .. I J. McClimont (D ).. Burnwell Coal Co., Christchurch 4 ,, .... .. .. .. .. .. j 1,780 1,780 Albury, Albury .. .. L e a s e under I J. H. Smillie (D.) .. J. H. Smillie, Albury .. ..35 Lignite .. 1 8'to 25' All .. Opencast .. 932! 25,441 26,373 2 2 Ooen Land Act 1 Allanholme, Waihao Forks .. | Crown lease Jas. Craig (D.) .. Allanholme Coal Co., Waimate ..11 ,, .. 1 20' ..14' .. Bord and .. 566 10,809 11,375 .. 2 2 Natural .. T 400' I under Land Act j pillar North Otago District. Prince Alfred, Papakaio .. [ Crown lease .. | A. Beardsmore (P.) A. Beardsmore, Papakaio .. 57 Lignite .. 1 6'to 7' 6' .. Bord and .. 495 70 .865 j 71,360 1 1 2 Natural I I pillar St. Andrews, Papakaio .. j Freehold .. j J. McQueen (P.) .. Duncan Cameron, Papakaio ..47 ,, .. 17' .. All .. Ditto .. .. 522 61,513 | 62,035 .. 2 2 .. S 40' T 132' Ngapara, Ngapara .. .. ,, .. W. Nimmo (P.) .. W. Nimmo, Ngapara .. ..48 ,, .. 1 25' .. 8' to 10' .. 1,059 40,1161 41,175 1 3 4," t 50'' Shag Point (old mine), Shag Point j Crown lease .. W. McLaren (P.) .. Bru.-e Rly. & Coal Co., Dunedin 12 Brown .. 15' .. All .. ,, .. .. 957 414,882 415,839 .. 2 2 .. T 264' Shag Point C.M. Co.,Ltd., Shag Pt j Freehold .. A. Gillanders (lr-t C.) Shag Point C.M. Co., Ltd.,Dunedin 18 ,, .. 14' ,, .. ,,.... 18,165 175,579 193,744 11 42 53 Fan' !! T. 500'! Central Otago District. Idaburn, Oturehua .. .. Crown lease .. R. K. Deaker (P.).. R. K. Deaker, Oturehua .. 56 Lignite .. 1 20' .. All .. Open . . .. 434 j 52,633 53,067 2 2 Open Oturehua, Oturehua .. ..I „ .. J. R. Becker (P.) .. Becker Bros., Oturehua ..32 „ .. 1 20' .. ,, .. ,, .... 180 ; 5,097 5,277 i 1* 1 !! St. Bathan's, Blackstone Hill .. j ,, .. J. Enwright (P.) .. J. EnWright, St. Bathan's ..29 „ .. 1 30' .. ., .. !, .... 36 ' 7,106 7,142 .. .. .. " !. Cambrian, Cambrian .. .. j ,, .. J. C. Trainor (P.) .. Vinegar Hill Hydraulic S. Co., St. 65 ,, .. 1 18' .. „ .. ], . . 232 I 51,245 51,477 1 . . 1 " !! Bathan's Alexandra, Alexandra .. .. „ .. J. Robertson (2nd C.) Alexandra C.M. Co., Alexandra .. 45 „ .. | 1 j 15' ..8' ... Bord and .. 812 109,163 109,975 1 2 3 Natural .. S. 65', T. 1,000' I pillar McPherson's Coal Creek Flat .. ! ,, .. N. Harliwich (P.) .. N. J. Harliwich, Coal Creek Flat 56 „ .. 1 26' •• All .. Open .. .. 1,596 87,570 89,166 2 2 Open Shepherd's Creek, Bannockburn ,, .. J. Hodson, jun. (2nd Bannockburn Coal Co., Bannock- 49 ,, .. 1 6'to 13' 9' .. Bord and .. 1.671 115,191 116,862 1 3 4 Natural .. C.) burn : pillar Nevis Crossing, Nevis .. .. ,, .. R. Ritchie (P.) •• Robt. Ritchie, Nevis .. ..23 Brown .. 1 16' .. All .. Opencast .. 459 16 812 17,271 2 2 Open Doolan's Creek, Gibbston .. „ .. W. Hannah (P.) .. Donald Henderson, Arrowtown .. 3 „ 1 15' .. 7' .. Bord and .. 52 ! 116 168 .. .. .. .. T. 163'. pillar Parfitt's, Upper Idaburn .. „ .. Isaac Parfitt .. Parfitt and Marslin, Naseby .. l Lignite .. 1 30' . • All .. Open .. .. 175 .. 175 1 1 Open South Otago District. Freeman's, Abbotsford .. Freehold .. ; W. Evans (U.) .. Freeman's Coal Co., Green Island 46 Lignite .. 1 10' to 20' All .. Bord and .. 3,756 597,480 601,236 1 5 6 Natural .. I ' pillar ! Jubilee, Saddle Hill .. •• „ .. R. Hill (1st C.) .. Jubilee Coal Co., Dunedin ..29 „ .. j 2 4' to 8' „ .. Ditto .. .. 18,798 480,114 498,912 9 20 29 Fan .. T 858'. Willowbank, Riccarton .. ,, .. D. McNeill (2nd C.) Geo. Scurr & Co., Ltd., Mosgiel 6 „ '.. 2 14' .. j 7' . . ,, .. .. 7,273 ! 7,262 14,535 2 10 12 Natural S 70' T 46^' Junction j j * ' * Auchmeddon, Fairfield .. ,, •• H. Orr (2nd C.) .. H. Orr, Fairfield .. .. i J5 ..14' .. j All .. Open .... 17 .. i 17 1 1 Open Brighton, Brighton .. •• „ R. C. Wright (P.) .. Smith & Wright, Brighton .. n J5 17' -. 6' .. Bord and 88 ! 8,939 i 9,027 .. .. .. Natural .. T. 60'. pillar I Waronui, Milton .. .. „ .. J. CarruthersT jun. Bruce Rly. and Coal Co., Dunedin 22 „ .. I 2 6'& 14' 6'& 8' .. Ditto .. .. 17,511 317,003! 334,514 8 25 33 Fans .. T. 350' T. 1 00r (1st C.) _ | |. • > • » ( Viewbank, Crichton .. .. | ,, •• N. Greaves (P.) •• j N. Greaves, Milton .. .. 7 , 5j .. 1 12' •• 7' .. ,, .. .. 1,178 I 3,741 4.919 1 2 3 Natural .. T 138' S 20' Taratu; Lovell's Flat .. .. ,, .. J. Hadcroft (1st C.) Sargood & Cheeseman, Dunedin.. 25 i „ ..1 25' to 40' j 7' to 30' .. .. . .j 28,797 ! 605,969 634.766 16 35 51 Fan T 924'' Tuakitoto, Tuakitoto .. .. i „ .. J. Throp (P.) .. I J. ,Throp, Kaitangata .. .. 16 1 „ .. 1 18' .. 7' ..I „ .. .J 456 i 4,697: 5,153 I .. 2 2 Natural .. T*. 250'!

c.—2

COLLIERY STATISTICS, 1926—continued.

58

u-.'S «m"§ Ls Number of Persons rr.-*T v ®*S f "£ t.u- 1 System of ! ® 2 Totai Total ordinarily employed. nf Name of Mine and Locality. "Zjf | j* 1 1 £55 |f J <>®* £££. fflgg. j , , . .. Len^ TuaM , ' 53 Sg S3 c wormng. ; £ g Der, lyzo. oer, : © o « y J_s ; |_3 1 , § SOUTHERN INSPECTION DISTRICT —continued. I Tons. Tons. Tons. Kaituna, Kaitangata .. .. Freehold .. T. Gage (D.) .. Thos. Gage. Kaitangata .. 18 Lignite .. 16' ..5' .. Bordand .. 154 25,651 25,805 .. 2 2 Natural .. T. 66'. i pillar Kaibrook, Kaitangata .. Crown lease .. T. Gage (D.) .. Thos. Gage, Kaitangata .. 7 „ .. 1 11' .. 6£' .. Ditto .. .. 49 2,558 2,607 .. 1 1 „ .. T. 272'. Kaitangata No. 1, Kaitangata .. Freehold .. F. Carson (1st, C.).. N.Z. Coal & Oil Co., Ltd., Dunedin 50 Brown 2 6' to 12' All ....... . / S. 73 ', T. 3,960'. Kaitangata No. 2, Kaitangata .. „ .. F. Carson (1st. C.).. j N.Z. Coal & Oil Co., Ltd., Dunedin 14 „ .. 4 6'to 25' „ .. ., .. j .. 95,203 4,359,306 4,454,509 53 242 295 Fans J T. 3,135', T. 957',Castle Hill, Kaitangata .. „ .. J. McLelland (1st. C.) j N.Z. Coal & Oil Co., Ltd., Dunedin 33 „ .. 3 12' to 20' „ .. ,, I T.3,300', T. 1,320'. Benhar, Benhar .. .. „ .. J. Walls (2nd C.) .. j McSkimming & Son, Ltd., Benhar 63 Lignite .. 3 14' .. 10' .. ,, .. .. 9,128 . 248,151 257,279 ,1 7 8 Fan .. j T. 1,300'. Southland District. Whiterig, East Gore .. .. Freehold .. R. Craig (P.) .. R. Craig, East Gore .. ..48 Lignite .. 1 j 24' ..14' .. Bordand .. 3,552 95,925 99,477 1 2 3 Natural .. T. 660'. pillar Green's, Gore .. .. „ .. I F. Barclay (2nd C.) > Ex. Estate late Thos. Green, Gore 38 „ .. 1 19' .. 12' •• Ditto .. .. 12,369 305,924 318,293 3 7 10 Fan .. S. 40', T. 528'. Glenlee, Waikaka .. .. . • I F. W. Edge (P.) .. F. W. Edge, Waikaka .. ..33 „ .. 1 14' 8i' •• „ .. .. 1,302 27,485 ! 28,787 .. 2 2 Natural .. T. 66'. Ramsay's, North Chatton ..1 .. P. Ramsay (P.) .. P. Ramsay, Waikaka .. ..23 „ .. 1 12' .. 12' •• Open .. .. 668 106.523 I 107.191 1 1 Open .. Landslip, Waikaia .. .. Lig. license .. T. Northcoat (P.) .. T. Northcoat, Waikaia .. 27 „ .. 15' ..AH .. ,, .. j .. 8 36,942 j 36,950 .. .. .. ,, .. j Mclver's, Waikaia .. .. ,, .. j R. Mclver (P.) .. R. Mclver, Waikaia .. .. 3 „ .. 1 10' .. „ •• „ .. I .. 129 299 I 428 ! .1 .. 1 ,, .. Argyle, Waikaia .. .. Crown lease .. J. Hutton (P.) .. Hutton Bros., Waikaia ..35 ,, .. 1 12' .. I „ ... ,, .. j .. 455 9,244 j 9,699 1 .. 1 .. .. ; Terrace, Longridge .. .. Freehold .. G.Daley (P.) .. G. Daley, Longridge .. .. 8 „ . • 1 23' to 25' 10' to 12'.. Bordand .. 909 9,273 j 10,182 112 Natural .. i T. 66'. pillar Princhester Creek, The Key .. Lig. license .. J. A. Denton (P.) J. A. Denton, Private Bag, 24 Brown .. 1 5'6" .. All .. Open .. .. 200 2,564 j 2,764 | 1 1 Open .. Lumsden Lynwood, Te Anau .. .. Crown lease .. W. Blatch (P.) .. E. C. Govan, Te Anau .. .. 16 Lignite .. 18' .. j „ •• „ .. .. 200 3,420 j 3,620 1 1 „ .. j Boghead, Mataura .. .. Freehold .. J. Bolger (D.) .. 0. E. Rowe, Mataura .. ..21 „ .. 1 18' .. 11' •• Bordand .. 5,658 42,803 48,461 1 4 5 Natural .. j T. 330'. pillar Mataura Lignite, Mataura .. ,, .. T. Barclay (2nd C.) Beat-tie Coster & Co., Ltd., Mataura 50 „ .. 1 18' .. | 12' .. Ditto .. .. 13,784 295,147 308,931 3 6 9 Fan .. T. 924'. Larking's, Mataura .. .. ,, .. J. Buchols (D.) .. P. Larking, Mataura .. .. 5 „ .. 1 i 14' .. All .. „ • • •• 504 1,566 2,070 1 1 Open .. Ota Creek, Wyndham .. •• Lig. license .. E. Genge (P.) .. E. Genge, Wyndham .. ..46 „ .. 16' .. „ .• ,, .... 404 29,019 29,423 1 1 ,, Clarke's, Wyndham •• -• Freehold .. Wm. Thompson .. Wyndham Coal Pit Co., Wyndham 19 ,, .. 1 1 10' „ •• ,, •• •• 579 21,865 I 22,444 1 1 „ Diamond Lignite, Ashers .. Crown lease .. A. McMillan (P.) .. S. McMillan, Invercargill ..24 ,, .. 1 38' • • j ,, •• I •• 1,094 31,286 ' 32,380 1 1 ,, .. Broomhill, Nightcaps .. .. Crown lease and S. Reid (D.) .. Reid & Adcock, Nightcaps .. 45 Brown .. 18' • • ,, •• .. .. 784 2,511 j 3,295 j 2 2 Natural .. T. 297'. freehold Black Diamond, Nightcaps Crown lease .. . R. W. Duncan (1st C.) Black Diamond Coal Co., Invercar- 11 „ .. 1 25' •• ,, •• ,, .. .. 24,885 141,442 ! 166,327 28 30 58 Fan .. T. 1,650'. gill Wairio, Nightcaps .. •• ,, •• S. Reid (D.) .. J. H. Smith, Otautau .. .. 1 21 „ .. 14' .. ,, .. ,, .. j . . 2,065 145,136 147,201 .. 2 2 Natural Mossbank, Ohai .. .. . •• T. McMillan (1st C.) Mossbank Coal Co., In vercargill.. 12 „ .. 1 5'to 32' • 7'to 20' . • ,, .. .. 22,795 111,014 133,809 13 34 47 Fan .. T. 396'. Wairaki No. 1, Ohai .. .. ,, .. J. C. Mosley (1st C.) Wairaki Coal Co., Gore ..13 „ .. 1 7'to 25' All .. „ .. ..\ 1fifi , 47 9nn o A o 91 / T. 1,980'. Wairaki No. 2, Ohai .. .. Freehold .. J. T. Mosley (1st C.) Wairaki Coal Co., Gore .. 8 „ .. 1 7'to 17' „ .. „.. ../ 33,796 1(56,547 zuu,.i4d zi b8 89 ian & 4 T Linton, Ohai .. .. .. Crown lease .. G. S. Langford (1st C.) Linton Coal Co., In vercargill ..11 ,, .. 1 40' .. ,, .. ,, .. I \ » - 0 , OOQ QK7 Qnn 1nn 19 « f Linton, Ohai .. .. .. Freehold .. i G. S. Langford (1st C.)i Linton Coal Co., In vercargill .. .. „ .. .. .. .. .. \ . f 2Z8,857 0 1UU 1Z6 tans T. 1,320'. Birchwood, Ohai .. .. „ .. 1 A. Morris (1st C.) .. Birchwood Coal Co., Box 674, 6 ,, ..1 7'to 8' All .. Bordand .. 28,107 87,812 115,919 16 44 60 Fan .. T. 924'. Dunedin pillar Ohai Coal Co., Ohai .. .. Crown lease .. J. B. Ross (1st C.) Ohai Coal Co., Box 145, Invercar- 4 ,, .. 1 20' .. ,, .. Ditto .. .. 12,525 19,557 32,082 11 21 32 ,, .. T. 924'. gill ! Black Lion, Ohai .. .. „ .. Ed. Mason (2nd C.) Black Lion Coal Co., Invercargill 5 „ .. 19' ..7' .. 3,718 4,581 8,299 6 5 11 Natural .. T. 99'. Outputs of mines included in previous stateme nts at which operation shave been abandoned or suspended .. .. .. .. .. •• .. .. 6,076,741 6,076,741 Totals, Southern Districts, South Island .. .. .. .. .. •• .. .. .. 463,974 16.486,685 16,950,659 268 769 1,037 Totals, West Coast District, South Island .. .. .. .. .. .. ... .. .. 1,122,176 31,868,753 32,990,929 739 2,041 2,780 Totals, Northern District, North Island .. .. .. .. .. •• .. .. .• 653,849 13,067,231 13,721,080 329 1,013 1,342 Grand Totals .. .. .. .. .. •• •• •• •• •• •• 2,239,999 61,422,669 63,662,668 1,336 3,823 5,159 Output of collieries prior to 1890 not included in above statement .. - • • • .. .. • • .. .. 296,653 Shale exported, 1914 .. .. .. .. .. . • • • • • • • • • • • .. .. 21 63,959,342

59

C.—2.

APPENDIX C. REPORT OF BOARDS OF EXAMINERS. Geological Survey Office, Wellington, 11th August, 1927. Sib, — On behalf of the Boards of Examiners under the Mining and Coal-mines Acts, I have the honour to submit the following brief report on the work of the Boards during 1926. The annual written examinations of candidates for mine-managers' certificates were held at Dunedin, Reefton, Huntly, and Waihi in October last. Twenty candidates for mine-managers' certificates under the Coal-mines Act (nine for first-class certificates and eleven for second-class certificates) and three candidates (two for first-class mine-managers' certificates and one for a battery superintendent's certificate) under the Mining Act, presented themselves for examination. Those candidates who were successful in obtaining the necessary marks in their written examination came before the Boards for oral examination at their annual meeting in December last, with the result that the following were successful in obtaining certificates as mine-managers under the Coalmines Act: —First class —J. E. Lewis, Ohai; and J. McLelland, Kaitangata : second class —A. Colligan, Nightcaps; W. Parfitt, Millerton ; J. S. Chippendale, Stockton ; and J. W. Leonard, Huntly. Partial passes for mine-managers' certificates were also granted the following : First class —P. Hall, Brunnerton : second class —Y. Curran, Pukemiro ; W. Johnston, Pukemiro ; R. L. Godden, Pukemiro ; and R. McDonald, Milton. In addition the Board of Examiners under the Mining Act granted a firstclass mine-manager's certificate to John Williams, Waihi. A partial pass for a battery superintendent's certificate was also granted to A. S. Morrison, Waihi. The number of candidates offering themselves for examination under the Coal-mines Act remains fairly steady, but the metal side of mining has unfortunately shown a declining tendency, and consequently the number of candidates for examination under the Mining Act has been few. During the year four examinations for candidates for certificates as underviewers and firemendeputies were held —one at Huntly, on the 31st March ; one at Dunedin, on the sth October ; and. one each at Westport and Greymouth, on the 16th and 20th October respectively. Forty-seven candidates presented themselves for examination, nine for underviewers' certificates and thirty-eight for firemen-deputies' certificates. Of these, seven were successful in gaining underviewers' certificates, and thirty were successful in gaining firemen-deputies' certificates. The following holders of British certificates of competency as coal-mine managers were granted equivalent New Zealand certificates under the Coal-mines Act : First class —E. Gascoigne, of Huntly ; Thomas Geddes, of Ohai; and Thomas McGhie, of Stockton : second class —James Gray, of Runanga, and R. Hall, .of Brunnerton. A first-class mine-manager's certificate under the Mining Act was also issued to F. W. R. Godden, of Reefton, in exchange for a first-class certificate of competency issued him by the Department of Mines, Victoria. As a result of the provision contained in the Coal-mines Act, 1925, requiring plans of the workings of a coal-mine in which more than six men are employed in the underground workings to be {prepared by or under the supervision of a competent person possessing the prescribed qualifications, it was necessary to provide for the issue of mine-surveyors' certificates. During the year the following persons were issued certificates without examination : R. T. H. Dale, of Kaitangata ; S. A. Flyger, of Glen Afton ; and H. N. Davies, of Mount Eden, Auckland. In addition the following persons' first-class mine-managers' certificates were endorsed as competent to act as mine surveyors : G. Duggan, of Dunedin ; Robert Hill, of Green Island ; C. V. P. Molony, of Pukemiro Junction ; P. Hunter, of Glen Afton ; Andrew Burt, of Pukemiro ; and Henry Talbot, of Avoca. Two service permits as oil-well managers under the Mining Act were also issued during the year, one to K. E. Pedersen, of Murchison, and the other to A. B. Wheat, of Gisborne. The appointment of Messrs. W. Carson and J. L. Gilmour as members of the Board of Examiners under the Coal-mines and Mining Acts respectively expired in October last, and His Excellency the Governor-General has been pleased to reappoint both gentlemen for a further term of three years. I have also to record with regret the death during the year of two members of the Board of Examiners under the Mining Act —Professor D. B. Waters and Mr. H. S. Molineaux. Both these gentlemen were associated with the Board in its deliberations for many years, and their death was a distinct loss. Revised lists of persons holding certificates granted by the Boards since their establishment are appended. I have, &c., P. G. Morgan, The Under-Secretary, Mines Department, Wellington. Chairman of Boards.

C.—2

60

LIST OF MINE-MANAGERS, BATTERY SUPERINTENDENTS, AND DREDCEMASTERS WHO HOLD CERTIFICATES UNDER THE MINING ACTS. First-class Mine-managers' Certificates. Certificates of Service issued under the Mining Act, 1886, without Examination. Adams, H. H., Waiorongomai Glass, W. M„ Naseby. Porter, J.. Waipori. Andrews, T., Thames. Hunter. R., Thames. Ralph, G., Thames. Bennett, J., Alexandra. Jenkins, M., Wakatipu. Rooney, F., Reefton. Black, T., Waiomio. Johnstone, H., Bluespur. Scott, T., Waiorongomai. Buroh, W. H., Thames. McGruer, G. N., Karangahake. Sturm, A., Waipori. Cameron, A., Macetown. Mcintosh, D., Bluespur. Watson, T., Reefton. Chapman, J. A., Dunedin. Morrisby, A. A., Glenorchy. Wearne, T., Endeavour Inlet. Evans, J. H., Skipper's. Newman, W., Naseby. Young, G., Skipper's. Frewen, J. 8., Queenstown. Polton, A., Karangahake. Issued after Examination under the Mining Act, 1880, a/ul Amendment Acts. Cole brook, J. D., Coromandcl. Horn, G. W., Thames. Kruizenza, W., Reefton. Crawford, J. J., Thames. Home, W., Coromandel. Logan, H. F., Wellington. Donaldson, W., Otago. Hornick, M.. Thames. Mouat, W. G., Dunedin. Fleming, M., Thames. Hosking, G. F., Auckland. Watkins, W. E., Reefton. Harris, W., Thames. Issued on Production of Certificate from a Recognized Authority outside the Dominion under the Mining Acts, 1880, 1891, 1898, 1905, 1908, and 1913. Beukwitli, L. 11., Wellington. Godden, Frederick William Ross, Hall, E. K., Reefton. ♦Cock, J., jun., Ross. Reefton. McKenna, Thomas, Dunedin. Cock, W., Waiomio. Griffiths, A. P., Auckland. Rich, I°. A., Auckland. Datson, J., Manaia. Griffiths, H. P., Auckland. Spencer, Ernest William, Reefton. Dodd, William, Milton. Hailey, R. C., Dunedin. Williams, W. H., Auckland. * Alluvial. Issued after Examination under the Mining Act, 1891. Agnew, J. A., Thames. McDermott, G., Thames. Robertson, D. 8., Stafford. Bennett, E. P., Thames. McDermott, J., Thames. Ross, Richard, Thames. Boydell, H. C., Coromandel. McDermott, W., Thames. Russell, Murray, Dunedin. Bradley, R. J. H., Te Puke. McGregor, W. T., Thames. Shepherd, H. F., Thames. Gilmour, J. L., Thames. McKenzie, H. J., Coromandel. Stanford, W. J., Macetown. Hodge, J. H., Thames. McPeake, J., Thames. Vialoux, F., Coromandel. Keam, P. E., Thames. O'Keeffe, M. D., Thames. White, G. 11., Thames. Lawn, C. H., Capleston. Paltridge, Henry, Thames. Whitley, A., Thames. Morrison, R., Thames. Paul, Matthew, Thames. Issued after Examination under the Mining Acts, 1898, 1905, 19)8, and 1920. Allen, Henry, Waihi. Fry, S., Waimangaroa. Moore, L. 0., Waihi. Autridge, L. E„ Thames. George, M. T., Waihi. Morgan, William, Waihi. Baker, S. G., Thames. Goldsworthy, C., Karangahake. Morrison, William, Waihi. Barker, 8., Thames. Goldsworthy, W., Coromandel. Moye, Michael, Reefton. Barrance, K. M., Karangahake. Greening, W., Karangahake. O'Shea, J., Reefton. Bell, 0., Waihi. Gudgeon, C. W., Macrae's. O'Sullivan, J. W., Thames. Bonnie, Boyd, Waihi. Hitchcock, W. E., Barewood. Rimmer, J. C., Helensville. Bishop, Thomas Otto, Skipper's. Hogg, Tasman Rangi, Waiuta. Ruffin, R. C., Reefton. Blenkhorn, C., Coromandel. Hooker, John, Coromandel. Seoble, E. J., Waihi. Bolitho, Joseph, Reefton. Irwin, Samuel, Waihi. Smith, Walter, Karangahake. Bower, J. W., Coromandel. Jackson, G. T., Waihi. Spearing, J. R., Waihi. Broad, R., Waihi. Johnson, J. H., Coromandel. Stewart, F., Waihi. Buddie, Frank, Coromandel. Kingsford, C., Waihi. Stewart, R. A., Reefton. Bull, C. W., Waihi. , Langdon, H., Waihi. Sullivan, T., Reefton. Caisley, John, Karangahake. Langford, G. S., Waihi. Thomson, .J. R., Waihi. Carroll, A. M., Reefton. Lautour, 11. A. de, Waihi. Thomson, Thomas, Waihi. Carter, R. P., Waihi. Lawn, Nicholas, Reefton. Thome, G. M., Waihi. Clouston, R. E., Kaitangata. Lewis, Ralph Reginald, Waihi. Tucker, E. S., Coromandel. Collier, E., Reefton. Lowes, G. W., Reefton. Turner, C. E., Murchison. Cooper, J. H., Thames. Mackie, Portland George A., Waihi. Turner, G. W. E., Reefton. Cooper, Tkornhill, Waihi. McConachie, W., jun., Waihi. Ulrieh, G. A. C., Waihi. Cordes, P. M., Karangahake. McDonald, R. M., Table Hill. Walker, A. J., Waihi. Cornes, J. G., Waihi. McGruer, A., Karangahake. Watson, J. L., Thames. Dooherty, W. H., Coromandel. MacLaren, J. A. J.. Coromandel. Williams, Evan, Waihi. Downey, J. F., Reefton. McMahon, T., Reefton. Williams, John, Waihi. Dutton, W. F., Waihi. McMillan, T., Waihi. Wood, P. 11., Reefton. Evered, -N. J., Waihi. Mitchell, William J., Barewood. Wotherspoon, James, Waihi. Issued under Section 313 of the Mining Act, 1891. Rickard, John, Thames. Thomas, James, Thames. White, John S., Karangahake. Snow, Thomas, Huntly. Trelease, J. 11., Thames. Williams, John, Kuaotunu.

C.—2.

Firsts-class Mine-managers' Certificates—continued. Certificates of Competency granted to Holders of Provisional Warrants under Section 32 of the Mining Act Amendment Act, 1896. Argall, A. E., Coromandel. James, Robert, Thames. Morgan, William, Owharoa. Battens, H, Coromandel. Kennerley, W. H., Thames. Patton, William, Macetown. Campbell, Alexander, Cullensville. MaeDonald, H., Coromandel. Pearce, Francis, Reefton. Comes, C. A., jun., Karangahake. MeEnteer, James, Tararu. Potter, William M., Thames. Draffin, Samuel, Waitekauri. McLean, Benjamin J., Waitekauri. Somervell, John, Thames. Goldsworthy, William, Karangahake. Moorecraft, Walter, Coromandel. Thomas, Archelaus, Tapu, Thames. Harvey, A. G., Coromandel. Issued to Inspectors of Mines by virtue of Office under the Mining Acts, 1886, 1891, and 1898. Cochrane, N. L>., Westport. Green, E. 11., Dunedin. Second-class Mine-managers' Certificates. Certificates of Service issued under the Mining Act, 1891. Agnew, J. A., Coromandel. Hardman, James Edward, Thames. O'Keefe, M. W. I)., Thames. Argall, A. E., Coromandel. Hetherington, William, Thames. Peebles, Alexander, Kuaotunu. Blair, Thomas, Kuaotunu. Hill, Alexander Grey, Waikakaho. Pettigrew, Robert, Sydney. Brown, John, Macrae's. Hollis, Frederick J., Waihi. Rickard, John, Thames. Byrne, John, Karangahake. Hore, John, Wellington. Rogers, William Henry, Kumara. Comer, George, Thames. Jobe, James, Thames. Shaw, James, Karangahake. Crabb, Thomas, Reefton. Johnstone, William, Colling wood. Sligo, Alexander, Nenthorn. Daniel, P. F., Greymouth. Kirker, Thomas, Thames. Thomas, A., Thames. Dobson, John Allen, Kuaotunu. Law, John, Thames. Thomas, James, Thames. Edwards, George, Westport. Loughlin, S., Thames. Thomson, John, Dunedin. Gemmings, Charles, Thames. Maekay, William, Nenthorn. White, John 8., Karangahake. Gill, George, Thames. Mayn, John, Coromandel. Williams, James, Thames. Goldsworthy, William, Mauku, Auuk- Meagher, John, Karangahake. Williams, John, Thames. land. Newdick, Alfred, Thames. Worth, Robert, Waihi. Guthrie, John ,Wellington. Issued after Examination under the Mining Acts, 1891, 1898, and 1908. Benney, J., jun., Paeroa. Draffin, S., Waitekauri. Tilsley, G., Thames. Bonnie, Boyd, Coromandel. Dunkin, T., Coromandel. White, F. H., Kuaotunu. Cahill, T. M., Upper Kuaotunu. Patterson, William James, Driving White, G. H., Thames. Christie, William, Waitekauri. Greek, Coromandel. Issued under Section 313 of the Mining Act, 1891. Connon, William, Thames. Edwards, E., Coromandel. McCormick, W. J., Waitekauri. Certificates of Competency granted to Holders of Provisional Warrants under Section 32 of the Mining Act Amendment Act, 1896. Allen, W. J., Coromandel. Gardner, James, Waimangaroa. Murphy, Joseph, Coromandel. Barney, Montague T., Waitekauri. Howe, Albion S., Waitekauri. O'Brien, John, Westport. Brownlee, Henry, Thames. Johnson, Frank H, Collingwood. Prescott, Arthur J., Coromandel. Collins, Charles, Waitekauri. Kirwan, William, Reefton. Ruffin, Richard, Manaia, Coromandel. Certificates of Service issued under the Mining Amendment Act, 1910. Adams, Albert Augustine, Thames. Gillan, Thomas, Thames. Inglis, Robert, Kuaotunu. Adams, R. W., Thames. Grace, Pierce, Waitekauri. Lynch, James, Glenorchy. Barker, J. W., Coromandel. Hansen, Charles Hans, Puketui. McKenzie, D., Georgetown. Brabyn, John, Clarendon. Hayes, James, Thames. Reid, George, Glenorchy. Butcher, F. J., Waitekauri. Hill, Harrold Alexander, Thames. Reynolds, Edmond Francis, CoromanDonaldson, George, Macrae's Flat. lies, E. J., Bannockburn. del. Alluvial Mine-managers' Certificate. Certificate of Service issued under the Mining Act, 1908. Toole, William Hopwood, St. Bathan's. Battery Superintendents' Certificates. Issued under the Mining Act Amendment Act, 1894, without undergoing Examination. Adams, H. H., Waihi. Hutchison, William, Karangahake. Park, James, Thames. Aitken, R. M., Reefton. Margetts, Frederick Ernest, Kuao- Shepherd, Henry Franklin, Waihi. Banks, Edwin Gripper, Waihi. tunu. Sims, C. F., Tararu. Goldsworthy, Henry, Kuaotunu. McKenna, T. N., Tararu. Walker, James, A., Kuaotunu. Goldsworthy, John, Kuaotunu. McLellan, William, Waitekauri. Wilson, Arthur E., Waihi. Greenway, H. Howard, Auckland. Nobel, James R., Karangahake. Issued after Examination under the Mining Act Amendment Act, 1894. Adams, A. A., Thames. Dixon, Clement, Waihi. McMicken, S. D, Thames. Allen, F. 8., Thames. Gray, J. W., Waihi. Morgan, P. G., Thames. Allom, H. 0., Thames. Hayward, F. W., Komata. Morrin, W. S., Thames. Ansley, Comyn, Paeroa. Horn, G. W., Kuaotunu. Noakes, H. L., Waihi. Ansley, Walter, Thames. Jackson, J. H., Paeroa. Stafford, B. H., Waihi. Banks, J. H., Waihi. Jones, Aehison, Waihi. Taylor, C. H., Tararu. Bowers, W., Thames. Kidd, F. D., Thames. Thorpe, A. H., Thames. Brown, A. E., Thames. Laurie, D. 8., Karangahake. Vercoe, R. 8., Thames. Clarke, J. L., Thames. Lee, J. W., Reefton. Williams, A. G. R., Thames. Clarke, R., Waitekauri. Macdonald, W., Waihi. Wingate, H. M., Maratoto. Clarke, W. J., Waihi. McKenzie, H. J., Thames. Winslow, G., Thames. Day, A. T., Thames.

61

C— 2

62

Batteby Supebinten dents' Certificates—continued. Issued after Examination under the Mining Acts, 1898, 1905, arul 1908. Adams, J. 11., Coromandel. Ellis, L. L., Waitekauri. McNeil, A. R, Karangahake. Adams, J. H., Thames. Empson, J. 8., Karangahake, MePadden, J,, Coromandel. Adams, Richard W., Tararu, Thames. Evans, G. C., Waihi. Melrose, P., Waihi. Airey, Hubert, Karangahake. Evans, J., Waihi. Metcalf, G. H., Karangahake. Aitken, Alexander Hugh, Waihi. Evans, W. 8., Reefton. Montgomery, A. I*'., Opitonui. Allen, D. V., Thames. Ewen, H. F., Auckland. Morgan, Robert James, Waihi, Allen, H. E., Wellington. Fletcher, H. T., Katikati. Motherwell, William, Waihi. Anderson, David, Waihi. Fry, Sidney, Westport. Moyle, W. T„ Upper Tairua. Andrews, T. T., Waihi. Gardner, E. A., Reefton. Orbell, G. S., Waikouaiti. Auld, J. 8., Crushington. Gibson, William, Waihi. Orr, E. S., Waiuta. Baker, W. H., Thames. Gilpin. J., Waihi. Paltridge, F., Thames. Banks, C. A., Waihi. Gillooly, T., Roxburgh. Penseler. W. H. A., Dunedin. Banks, E. J„ Thames. Gillstrom, Carl A., Berlin's. Pond, H. C., Auckland. Barrance, K. MoL, Karangahake. Gow, E. A., Crushington. Quick, J. N„ Thames. Barrett, J. J., Karangahake. Grayden, J., Waitekauri. QuintreJl, Sidney 8., Waiuta. Barron, William E., Waikiuo. Grayden, Peter, Thamer.. Reid, J. E., Great Barrier. Baskett, E. («,, Karangahake. Grumitt, P. H., Thames. Reynolds, E. A., Auckland. Bell, L. M., Waihi. Gwilliam, Benjamin, Karangahake. Roberts, H. C., Waihi. Bell, Oswald, Waihi. Halliwell, L. V., Karangahake. Rodden, William, Lyell. Bidlake, A. E., Waiomio. Hargraves, E. P., Waihi. Rosewarne, R. H., Thames. Bird, A. W., Thames. Harsant, C., Puketui. Royse, W. G., Reefton. Bishop, T. 0., Reefton. Hay, Adam, Karangahake. Sanford, A. G., Waihi. Blackadder, William, Crushington. Hazard, T. R. C., Waitekauri. Shaw, I). S., Waikino. Bradley, R. J. H., Karangahake. Hitchcock, W. E., Barewood. Shaw, L. J., Waikiuo. Brown, F. M., Karangahake. Hogg, 8., Karangahake. Stephens, H., Dunedin. Brown, J. E., Komata. Hogg, T. R., Karangahake. Sutherland, J. A., Reefton. Browne, E., Waitekauri. Horn, G. W., Kuaotunu. Thomson, G. W., Bendigo. Burns, William, Waiomio. Hutchison, R. M., Karangahake. Thurlow, J. R., Coromandel. Bush, E. F., Parawai. Johnson, Edward, Waihi. Tomlinson, A., Karangaha,ke. Bush, George Arthur, Karangahake. Jones, R. I)., Karangahake. Tomlinson, David Mitchell, Barewood Bush, H. R., Thames. Kidd, R. 8., Waitekauri. Tomlinson, W T . F., Dunedin. Campbell, Colin, Thames. Kingsford, A., Karangahake. Ulrich, G. A. C., Komata. Carless, Noel, Waihi. Kingsford, C., Waihi. Ulrich, Herstall, Whangapoua. Carpenter, W. E., Karangahake. Kitching, L. J., Thames. Walker. Alfred James Dickson, Waihi, Carter, Harry Francis, Waihi. Langford, G. S., Waikino. Watson, A. 8., Waitekauri. Carter, S., Waihi. Launder, G. H., Waitekauri. Watson, A. P., Crushington. Chappell, G. A., Karangahake. Lawless, L. J., Paeroa. Watson, J. P., Reefton. Clark, Johu L., Waihi. Lawn, IL, Reefton. Watson, J. R., Reefton. Clarke, Thomas, Waihi. Littlejohu, W. D., Karangahake. Watson, W. A., Crushington. Cowles, R. K., Crushington. Lovelock, J. E., Crushington. Wearne, W., Reefton. Crawford, H., Macrea's. Mackav, John, Crushington. White, A. S. H., Karangahake. Crompton, H., Maratoto. Maltman, A., Reefton. White, E. D., Karangahake. Croucher, Herbert, Waihi. Mann, C., Westport. Williams, A. C., Waihi. Dawson, 8., Ellerslie. Matheson, A. M., Barewood. Williams. James, Reefton. Donnelly, Thomas, Waihi. Maxwell, W. L., Waihi. Williams, Joseph, Reefton. Donovan, Willie, Waikino. McDonall, P. H., Waihi. Williams, William Eustace, Waihi. Draffin, Eugene, Kuaotunu. McEwin, J. A., Reefton. Wilson, A. P., Crushington. Eaton-Turner, Geoffrey William, McKinlav, John, Waihi. Waihi. Dbedgemasters' Certificates. Issued without Examination under the Mining Act, 1898, and Amendment Acts, 1901 and. 1902. . Anderson, L. C., Alexandra. Gibson, A., Island Block. McGregor, D., Kanieri. Andrews, Ralph, Canvastown. Graham, J. M., Gore. McGregor, G. R., Alexandra. Baker, J. R., Alexandra. Groga.n, William A., Miller's Flat. Mcintosh, D. J.. Lowburn Ferry. Ballantyne, D., Miller's Flat. Hay, James, Dunedin. ' McLean, D., Waitiri. Barnes, T. J., Beaumont. Hedley, A., Cromwell. McMatli, D. C., Ross. Bradley, Neil, Alexandra. Herbert, J., Beaumont. McMath, Thomas, Alexandra. Bennett, George, Gore. Hewitt, James, Clyde. Mills, Edward, Murchison. Bennett, James, Kumara. Hogg, Thomas, Cromwell. Mitchell, D. A., Dunedin. Blue, G. P., Alexandra. Hoskins, Thomas, Maori Point. Morel, C. G., Inangahua Junction. Brand, Peter, Waikaka. Hoy, Samuel, Alexandra. Morris, G. S., Cromwell. Brennan, Phillip, Palmerston South. Inwood, W. J., Roeklands Beach. Murray, D., Clyde. Bremner, A. P., Lower Shotover. Johnston, E. A., Alexandra. Murray, Madget, Cromwell. Brice, William EL, Cromwell. Johnstone, Alexander, Cromwell. Neilson, S., Miller's Flat. Bringans, D., Alexandra. Kitto, Edward T., Miller's Flat. Nicholson, W. E., Alexandra. Brown, T. G., Ahaura. Kitto, Francis, Lowburn. O'Leary, D., Waiau. Bunting, James, Murchison. Kitto, J., Lowburn Ferry. Olsen, Charles, Roxburgh. Busbridge, P., Gore. Kitto, John F., Miller's Flat. Parsons, J. D., jun., Clyde. Butler, Ewen, Roxburgh. Kitto, W. H.. Cromwell. Percy, John, Clyde. Butler, M. J., Kanieri. Kloogh, N. P., Lowburn Ferry. Perkins, A. C., Dunedin. Cameron, Samuel, Alexandra. Lawson, Edward, Dunedin. Pettigrew, George, Nelson Creek. Clarke, Edward, Port Chalmers. Ledingham, J., Bannockbum. Poulter, G. W., Alexandra. Compton, Albert, Dobson. Lee, George, Collingwood. Pringle, John, Miller's Flat. Cormaek, W., Greymouth. Lidicoat, R, H., Fern Flat. Ray, J. C., Totara Flat. Cornish, J. T., Miller's Flat. Luke, S. J., Alexandra. Reeder, Philip, Bald Hill Flat. Coutts, Henry, Miller's Flat. Magnus, A., Roxburgh. Rennie, Andrew, Roxburgh. Cowan, Alexander, Stillwater Magnus, Olaf, Box 130 a, Christchureh. Ross, Alexander, Cromwell. Cowan, James, Nelson Greek.. Mailer, John, Stillwater. Ross, Robert, Alexandra. Crookston, W. L., Three-channel Flat. Maitland, A. E., Miller's Flat. Richmond, J., Gibbston. Gumming, J. C., Beaumont. McClure, F. C., Rongahere. Ritchie, J. S., Waitiri. Cutten, W. H., Dunedin. McConnell, J., Cromwell. Sanders, H. P., Clyde. Deniston, R. A., Cromwell. McCormack, T)., Kanieri. Sanders, John, Cromwell. Donaldson, J. G. A., Greenstone. McDonald, E. A., Waitiri. Sanders, Thomas, Alexandra. Faithful, William, Greymouth. McDonald, J., Sofala. Schaumann, H., Alexandra. Foohy, J. M., Alexandra. McDonald, John, Cromwell. Scott, M. G., Alexandra. Gibb, William, Croydon Siding. McGeorge, Alexander, Dunedin. Scott, Robert, Capleston.

63

C.—2

Dredgemasters' Certificates—continued. Issued' without Examination under the Mining Act, 1898, and Amendment Acts, 1901 and 1902 —continued. Shore, T. M., Queenstown. Thompson, T., Miller's Flat. Williamson, R., Miller's Mat. Shore, William, Gore. Troy, G. C., Cromwell. Williamson, Walter, Miller's Flat. Simonsen, Charles, Alexandra. Turnbull. W. I)., Canvastown. Wilson, S. W., Waikaka Valley. Sligo, N. K., Ahaura. Tyson, John, Rongahere. Wood, R. M., Cromwell. Steel, Archibald, Kawarau Gorge. Von Haast, J. H., Clyde. Woodhouse, W. 8., Roxburgh. Steel, Thomas, Dunedin. Wallace, John A., Miller's Flat. Young, Andrew, jun., Roxburgh. Templeton, Ivie, Rongahere. Weaver, Charles, Alexandra. Issued after Examination under the Mining Acts, 1898, 1901, 1902, 1905, and 1908. Anderson, Andrew, Alexandra South. Harliwick, Matthew, Roxburgh. Nelson, George L., Brunnerton. Anderson, Bertram, Maori Point. Hepburn, I). 0.. Alexandra. Newiok, Albion Edgar Charles, Ban Anderson, G. 8., Roxburgh. Hewetson, Sydney, Nelson Creek. nockburn. Archer, D. J., Ngakawau. Hogg, J., Nevis. Nicholson, Charles S. G., Mataura. Baird, William G., Clyde. Holden, Charles, jun., Cromwell. Noble, William, Alexandra. Bardsley, John James, Cromwell. Holden, John, Cromwell. Omond, Thomas, Nevis. Bate, H. T. G., Greymouth. Hughes, John L., Miller's Flat. Orkney, B. E., Cromwell. Beaufort, William Vincent, Roxburgh. Johnston, John, Maori Gully. Orr, H. T., Cromwell. Bishop, Hugh Arthur, Collingwood. Johnston, Louis, Beaumont. Orr, William W., Cromwell. Blair, G., Abbotsford. Jones, David Rowland, Island Block. Parker, P. R., Roxburgh. Borthwick, Robert, Alexandra. Jones, T. R., Miller's Flat. Paterson, J. 8., Miller's Flat*. Bourke, John, Clyde. Junker, Frank J., Berlin's. Patterson, J., Clyde. Brent, C. I)., Cromwell. Kane, William, Clyde. Plumb, E. H., Maori Point. Briggans. Thomas, Alexandra. Ivean, F. P., Waikaka. Poppelwell, William, Alexandra. Briggans, William, Alexandra. Kellett, C. H., Dunedin. Rait, Hume, Albertown. Bruce, J. A., Kawarau Gorge. Kennedy, A., Ophir. Ray, J. F., Bannockburn. Burley, J. P., Westport. Kitto, Henry, Alexandra South. Ray, Robert Marshall, Bannockburn. Burnside, Walter, Alexandra. Kitto, John, Clyde. Reiderer, Edward, Cromwell. Burton, A. P., Miller's Flat. Linney, William, Island Block. Roberts, G., Three-channel Flat. Callaghan, E., Three-channel Flat. Livingstone, D., Alexandra. Robertson, D. J., Alexandra. Campbell, G. W. T., Alexandra. Lloyd, Arthur, Inangahua Junction. Robertson, W. R., Alexandra. Carnegy, A., Three-channel Flat. Lloyd, Hubert, Lyell. Rooney, J. 8., Roxburgh. Carr, W., Alexandra. Mac Donald, C. J., Cromwell. Rumble, Charles, Ngahere. Carter, W. W., Sandy Point. MacGinnis, J. A., Cromwell. Rumble, Joseph, Miller's Flat. Chapman, Robert, Maori Point. MacGinnis, M. P., Alexandra. Sanders, W. J., Ahaura. Clark, D., Callaghan's Creek. MacLaren, John, Alexandra. Saunders, C. E., Cromwell. Clarke, R. S. 8., Alexandra South. Marklund, C. 0., Lowburn Feny. Sawle, J., Cromwell. Coup, George, Albertown. Mathews, James Hulbert, Miller's Flat. Sawyer, J. F., Alexandra. Cox, R. D., Alexandra. Matthews, A. A., Three-channel Flat. Sherwood, T. W., Greymouth. Craig, D. A., Shag Point. Mayne, W. C., Nelson Creek. Simpson. Edward Robert, Cromwell. Curno, C. 8., Alexandra. McCallum, W. 8., Alexandra. Sparrow, J. A., Upper Nevis. Dalton, J. R., Three-channel Flat. McDonald, C. J., Waitiri. Steele, Thomas, Alexandra. Dalzell, T. L., Cromwell. McDonald, G., Alexandra. Steele, W. H., Miller's Flat. Donaldson, John, Lawrence. McGregor, Dougald S., Alexandra. Taylor, Alexander, Alexandra. Downie, Henry, Totara Flat. McKenzie, John, Roxburgh. Taylor, J. T., Dunedin. Eaton, Edgar W., Alexandra. McKinnon, John, Alexandra. Theyeis, C., Alexandra. Elder, D. D., Roxburgh. McLean, John, Roxburgh. Theyers, J. W., Alexandra. Fache, S. C., Gore. Melvin, J. R., Roxburgh. Turner, T. F., Moonlight. Faithful, Alfred, Bannockburn. Merchant, Isaiah, Clyde. Vickerman, E. M., Cromwell. Farmer, Nathan C., Miller's Flat. Milne, John A.. Roxburgh. Walker, J. J., Alexandra South. Farquharson, George, Alexandra. Moffitt, R. W., Miller's Flat. Wasserbrenner, M., Alexandra. Filippi, S. de, Westport. Mollison, William. Stillwater. Wathen, James, Miller's Flat. Findley, David, Dunedin. Moncrieff, Henry, Miller's Flat. Watson, E. H., Collingwood. Fisher, Hurtle, Miller's Flat. Monson, C. H„ Miller's Flat. Weir, R.. Gore. Foley, 8., Lowburn Ferry. Morel, A. E., Noble's. Weir, T. R., Cromwell. Forno, D., Inangahua Junction. Morel, L. H., Inangahua Junction. Weir, W., Nevis. Eraser, W. J., Roxburgh. Morgan, Harold. Roxburgh. Wescombe, Alfred L., Island Block. French, T. E. K., Three-channel Flat. Morgan, John, Alexandra. Westcott, P. A., Miller's Flat. Gibson, William H., Cromwell. Morris, V., Cromwell. Williams, Frederick, Alexandra. Graham, Thomas Arthur, Gore. Mouat, W. G., Greymouth. Wilson, George, Marsden. Gunn, W. E„ Beaumont. Munro, C. T., Waitiri. Wilson,. Stephen L., Inangahua .TuneGuy, Donald, Cobden. Munro, Hugh, Alexandra South. tion. Guyton, James, Dunedin. Munro, R.. F., Ross. Wood, W. W., Cromwell. Hanning, C. J., Clyde. Murray, H. 8., Cromwell. Woodhouse, F., Bannockburn. Hansen, H. C., Three-channel Flat. Murray, Robert John, Canvastown, Woodhouse, G. G., Waitiri. Harden, J., Stafford. Nelson. Edgar, Brunnerton. Wvlde, G. R., Inangahua Junction. Oil-well Managers' Service Permits. Issued under the Regulations under the Mining Acts, 1908 and 1926. Bender, Elmore William, New Ply- 11 use, William C. E„ New Plymouth. Thompson, Perry Delorm, Tokomaru mouth. O'Dowda, B. C., New Plymouth. Bay, Gisborne. Christensen, C., New Plymouth. Pedersen, Krysfeldt Emar, Murchison. Vennerman, John Fred, New Plymouth. Davis, James Amos, Kotuku Shipley, Edward Lester, New Plymouth. Whittekin, Ralph Oscar, New Plymouth. Fedorowicz, J., New Plymouth. Taylor, Charles Norman, Island Bay, Henchman, J. E. W., New Plymouth. Wellington.

C—2

64

LIST OF PERSONS WHO HOLD CERTIFICATES UNDER THE COAL-MINES ACTS. First-class Mine-managers' Certificates. Issued under the Coal-mines Acts, 1886 and 1891. Aitken, T., Wendon. Love, A., Whangarei Smith, A. E., Nelson. Binns, G. «T., Dunedin. Mason, J., Nightcaps. Smith, T. F., Nelson. Bishop, J., Biunnerton. May, J., Greymouth. Sneddon, J., Mosgiel. Cameron, J., Denniston. Moore, W. J., Springfield. Swinbanks, J., Kawakawa. Cochrane, N. D., Dunedin. Ord, J., Huntly. Taylor, E. 8., Huntly. Dando, M., Biunnerton. Reed, F., Westport. Thompson, A., White Cliffs. Kerr, G., Kamo. Issued, under the Goal-mines Acts, 1886, 1891, 190-5, 1908, and, 1925, after Examination. Armitage, F. W., Auckland. Fry, Sydney, Waimangaroa. McLelland, James, Kaitangata. Armstrong, J., Brunnerton. Gibson, John, Westport. McMillan, Thomas, Black's Point, .ReefArmstrong, Valentine, Runanga. Gillanders, A., Shag Point. ton. Barclay, T., Kaitangata. Gilbert, George, Millerton. Milligan, N., Westport. Barclay, W., Kaitangata. Green, E. R., Abbotsford. Molony, C. V. P., Pukemiro Junction. Baxendale, James, Reefton. Hadcroft, John, Puponga. Morgan, William, Waihi. Bennie. Boyd, Waihi. Hamilton, J. S., Burnett's Face. Mosley, J. T., Kaitangata. Bishop, T. 0., Reefton. Herd, J., Brunnerton. Murray, T., Westport. Brown, .J. C., Denniston. Hewitson, W. E. G., Burnett's Face. Neilson, James, Blackball. Buist, Charles David. Roa. Heycock, C. R., Nightcaps. Newton, James, Brunnerton. Burt, A., Waihi. Heyes, Thomas, Kaitangata. O'Donnell, Alphonsus, Roa. Butler, Willia m, Denniston. Hill Robert, Abbotsford. Parsonage, W., Runanga. Campbell, Peter, Fairfield. Hosking, G. F., Auckland. Pendleton, Samuel, Blackball. Carruthers, J., Shag Point. Hughes, Job, Puponga. Penman, A., Huntly. Carruthers, James, jun., Milton. Jebson, D., Canterbury. Reid, William Taylor, New Lynn, AuckCarson, Frederick, Kaitangata. Jones, T., Kimihia. land. Carson, W., Kaitangata. King, T., Granity. Scoble, E. J., Waihi. Crockett, S., Millerton. Langford, G. S., Huntly. Smith, Albert, Denniston. Crowe, W., Ngakawau. Leitch, J., Blackball. Smith, George, Denniston. Davies, W. C., Huntly. Leitch, W., Blackball. Smith, George, Fairfield. Davis, 0. Runanga. Lewis, James Edwin, Ohai. Strongman, C., Ngakawau. Dixon, C. W., Granity. Lowden, William, Reefton. Talbot, 11., Brunnerton. Dixon, W., Kaitangata. Lowes, George Walls, Reefton. Tattley, E. W., Huntly. Dromgool, A. A. W., Pukemiro. Makinson, Job, Huntly. Tattley, F. J., Mercer. Duggan, George, Burnett's Face. Marshall, A. G., Denniston. Taylor, A. H., Waikato. Dunn, Andrew, Denniston. McCaffrey, Patrick, Ferntown. Thomson, Thomas, Denniston. Duncan, Robert William, Nightcaps. McEwan, Robert, Coromandel. Turner, G. F., Shag Point. Fleming, J., Kaitangata. McGeachie, J., Mokau. Westfield, C. H., Fairfield. Fox, R. A., Denniston. McLean, M., Ngakawau. Whittlestone, A. W., Shag Point. Forsyth, Matthew, Denniston. Issued under the Coal-mines Act, 1886, on Production of English Certificate. Binns, G. J., Dunedin. Cochrane, N. P., Dunedin. Reed, F., Wellington. Black, T. H., Waipori. Hodgson, J. W., Boss. Tattley, W., Auckland. Broome, G. H., Ngakawau. Issued under the Coal-mines Acts of 1891, 1903, 1908, and 1925, on Production of Certificate from a recognized Authority outside the Dominion. Alison, J., Mangatini. Hunter, Peter, Ngakawau. Nelson, E., Hikurangi. Armstrong, John Eagleston, Stockton. Hunter, Charles, Pukemiro. Quinn, John Graham, Seddonville. Bayne, J. A. C., Roa. Irvine, James, Dunedin. Robins, George Edmund, New PlyBroadhead, A. K., Ngakawau. Jam' s, Isaac Angelo, Westport. mouth. Clark, W., Blackball. Kane, D., Denniston. Ross, John, Dunedin. Davidson, Gavin, Blackball. Kirkwood, D., Coromandel. Rosser, Thomas, Pukemiro. Davies, D. J., Ngakawau. Lamont, J., Devonport. Spence, John, Huntly. Fletcher, James, Westport. Lewis, W., Blackball. Thompson, Cyril, Brunnerton. Frame, Joseph, Kaitangata. Mark, W. S., Kaitangata. Watson, James, Greymouth. Gascoigne, Errington, Huntly. McAvoy, H., Christchurch. Watson, John, Blackball. Gcddes, Thomas, Ohai. McGhie, Thomas, Stockton. Wight, E. S., Auckland. Gilliclc, J., Kaitangata. * Morris, A., Huntly. Williams, Alfred David, Reefton. Goold, A. L., Auckland. Murray, Robert, Nightcaps. Woods., William, Mokihinui. Second-class Mine-managers' Certificates. Issued under the Coal-mines Act, 1891. Collier, Levi, Kamo. Lobb, Joseph, Mokau. Sara, James, Reefton. Clarke, Edward, Shag Point. Mcintosh, Allan, Shag Point. Thomas, James, Springfield. Elliot, Joseph, Coal Creek. McLaren, J. M., Thames. Willetts, John Morris, Papakaio. Harris, John, Denniston. Murray, Thomas, Denniston. Young, William, Waimangaroa. Herd, Joseph, Brunnerton. Radcliffe, William, Reefton. Issued under the Coal-mines Acts, 1886, 1891, 1905, 1908, and 1925, after Examination. Allan, J., Brunner. Buchanan, William, Ohai. Craig, John, Coal Creek Flat. Archer, Frederick William, Stockton. Burleigh, James Barr, Taratu. Crockett, S., Millerton. Austin, W. 8., Sheffield. Cadman, J., Hikurangi. Dale, E. G., Kaitangata. Ball, ,-\., Kimihia. Cain, Alexander, Kaitangata. Davies, W. C., Huntly. Barclay, Fred, Fairfield. Campbell, Peter, Fairfield. Dixon, W.. jun., Kaitangata. Barclay, T., Kaitangata. Carruthers, J., jun., Nightcaps. Duffy, Frank, Burnett's Face. Barclay, T., jun., Kaitangata. Charles, E., Glentunnel. Duncan, James, Kaitangata. Barclay, William, Kaitangata. Cherrie, R. C., Mokau. Duncan, J. E., Kaitangata. Barnes, A. E., Shag Point. Chippendale, John Samuel, Stockton. Duncan, John, Lovell's Flat. Bashall, James, Shag Point. Christie, James, Saddle Hill. Duncan, R. W., Nightcaps. Brennan, John, Kaitangata. Clemo, G., Whangarei. Dymond, John, Millerton. Broome, J., jun., Gore. Coan, Ralph Charles, Rot-owaro. Ferguson, A., Kaitangata. Brown, Robert, Kaitangata. Colligan, Andrew, Nightcaps. Ferguson, G., Roa,

65

C.-2

Second-class Mine-managers' Certificates —continued. Issued under the Coal-mines Acts, 1886, 1891, 1905, 1908, and 1925, after Examination—continued. Fox, R. A., Blackball. Mason, James, jun., Nightcaps. Price, P. J., Burnett's Pace. Fox, Sidney Arthur, Stockton. McAllister, Neil, Kaitangata. Roberts, John Russell, Stockton. Griffin, James C., Kaitangata. Mcllwain, John. Denniston. Robertson, J., Nightcaps. Harris, A., Saddle Hill. McLelland, A. C., Kaitangata. Scoble, E. J., Blackball. Hewitson, W. E. G., Burnett's Pace. McLelland, J., Kaitangata. Smith, Frederick, Rotowaro. Heycoclt, C. R., Nightcaps. McCormick, Thomas, Reefton. Snow, T., Mercer. Heyes, T., Kaitangata. McNeill, D., Fairfield. Tansey, Michael Joseph, Hikurangi. Hill, R., Abbotsford. Mills, Walter, Huntly. Tattley, F. J., Mercer. Hodson, John, Kaitangata. Monaghan, Henry, Millerton. Taylor, Joseph, Collingwood. Hodson, John, jun., Bannockburn. Morganty, Louis, Ngakawau. Thompson, Joseph. Blackball. Hughes, Job. Roa. Mosley, J. T., Stirling. Thomson, James, Nightcaps. Hunter, A., Southland. Neilson, J., Runanga. Todd, T., Nightcaps. James, Isaac, Kaitangata. Neilson, Moffat, Abbotsford. Turton, John, Huntly. Jones, Ernest George, Millerton. Newburn, 8., Kaitangata. Waldie, A. B„ Mokaii. Kells, F. H., Denniston. Nicholson, David, Huntly West. Walls, James, Benhar. Leonard, James William, Huntly. Openshaw, Arnold. Westport. Watson, A., Soldier's Creek. Lewis, David, Puponga. Orr, Hugh, Fairfield. Westfield, C., Fairfield, Otago. Lewis, J., Nightcaps. O'Rourke, William, Granity. Whittlestone, A. W., Shag Point. Lindsay, J. 8., Orepuki. Pareell, W., jun., Bannockburn. Whittlestone, G. P., Abbotsford. Lowden, W., Millerton. Parfitt, William, Millerton. Wright, Thomas, Huntly. Makinson, Job, Huntly. Penman, C. P., Kaitangata. Wykes, Alfred, Huntly. Mason, Edward, Nightcaps. Pfeffer, Joseph Edward, Millerton. Issued under the Coal-mines Acts of 1891, 1905, 1908, and 1925, on Production of Certificate from a recognized Authority outside the Dominion. Arundel, W., Hikurangi. Graham, D., Huntly. Newburn, P., Roa. Barlow, H., Greymouth. Gray, James, Runanga. Parsonage, W., Dunollie. Baxendale, J., Mine Creek. Grenall, 8., Granity. Penman, A., Huntly. Black, J., Granity. Hall, Richard, Dobson. Provan, P., Runanga. Boyd, J., Hikurangi, Inglis, A., Huntly. Reid, William Taylor, Star Town, Brown, John W.. Hikurangi. Jones, T., Kimihia. Huntly. Brownlie, John, Huntly. Kerr, D., Collingwood. Robertson, R., Roa. Brownlie, T., Huntly. Lennox, W., Springfield. Ross, John, Hikurangi. Burley, T., Hikurangi. Little, W., Wellington. Sneddon, J., Blackball. Burt, A., Huntly. Littlewood, G. G., Denniston. Strachan, J., Dunedin. Christopher, Richard William, Grey- McCall, John, Wellington. Talbot, H., Huntly. mouth. McCloy, Thomas, Mosgiel. Tennant, D., Paparoa. Cross, G., Hikurangi. McGeachie, J., jun., Mokau. Tervit, Alexander, Frankton Junction. Dickinson, W., Gore. McGuire, P., Mount- Somers. Tipton, Harry, Hikurangi. Dodd, W., Granity. McGuire, William, Seddonville. Watson, John, Roa. Dunbar, John, Glen Afton. McHardy, A. J., Ferntown. Webb, T. E., Huntly. Eyeington, G., Huntly. Molony, C. V. P., Auckland. Webster, Arnold, Huntly. Ford, John Robert, Nightcaps. Morgan, H. L., Ngakawau. Westhead, Frederick, Papakura. Graham, Robert, Huntly. Myers, T., Kiripaka, Yates, Thomas, Huntly. Mine-surveyors' Certificates. Issued without Examination under the Coal-mines Act, 1925. Dale, Roger Thomas Hilton, Kaitangata. Flyger, Stanley Arthur, Glen Afton. Kennedy, Ernest William, Runanga. Davies, Harold N., Mount Eden, Auck- Gerldes, Thomas, Ohai, Southland. Turner, William Herbert, Petone. land. First-class Mine-managers' Certificates endorsed under Regulation 8 (3), under the Coal-mines Act, 1925. Duggan, George, Dunedin. McMillan, Thomas, Ohai. Lowden, William, Reefton, Hunter, Peter, Glen Afton. Davidson, Gavin, Hikurangi. Carson, William, Kaitangata. Hill, Robert, Green Island. Gillanders, Alex. S., Shag Point. Carson, Frederick, Kaitangata. Molony, C. V. P., Pukeiniro Junction. Hadcroft, John, Lovell's Plat. Mosley, John Thomas, Ohai. Burt, Andrew, Pukemiro. Leitch, Walter, Dobson. Duncan, Rooert W., Nightcaps. Talbot, Henry, Avoca. Hughes, Job, Dobson. Carruthers, Jas., jun., Milton. Underviewers' Certificates. Certificates of Service issued under the Coal-mines Amendment Act, 1909. Allan, James, Puponga. Green, Richard, Abbotsford. Nimmo, Thomas, Papakaio. Attrill, Charles Waterford, Mercer. Hawthorn, James, Puponga. Nimmo, William, Ngapara. Barry, A. H., Huntly. Hunter, Peter, Ngakawau. Penman, John, Denniston. Bond, John, Waikaia. Johnston, William Crowan, Gore. Proctor, William, Kaitangata. Boustrage, T. Hubert, Brunnerton. Johnstone, Thomas, Denniston. Robertson, William, Mosgiel. Broome, James, Gore. Levick, Harry, White Cliffs. Todd, Thomas, Nightcaps. Clough, Henry, Millerton. Marsh, Charles George, Glentunnel. Walker, John, Blackball. Davidson, William, Mine Creek. McAlister, Robert. Kaitangata. Williams, William, Kaitangata.. Davis, William, Runanga. McNeill, William, Fairfield. Wilson, Daniel, Kaitangata. Donaldson, James, Kaitangata, Newlands, George, Brunnerton. Winter, John, Denniston. Flynn, John, Bannockburn,

9—C. 2

0— 2

66

Undebviewers Certificates—continued. Issued under the Coal-mines Amendment Act, 1909, and the Goal-mines Act, 1925, after Examination. Ainscough, William, Huntly. Goldthorpe, George, Pipiroa. Nicholson, D., Huntly. Allison, John, Pukemiro. Griffen, J., Kaitnngata. Nimrno, Thomas, jun., Papakaio. Archer, i . W., Capleston. Hadcroft, John, Dunollie. Openshaw, Arnold, Blackball. Armstrong, V., Runanga. Hall, Thomas, Kaitangata. O'Brien, D. Q., Mangatini. Astbury, Harold, Huntly. Harrie, Leslie, Reefton. O'Donnell, Alphonsus, Roa. Atkinson, John, Puponga. Hector, William, Runanga. O'Loughlin, Leo Francis, Runanga. Bashall, J., Puponga. Hewitson, W. E. G., Burnett's Face. O'Rourke, William, Granity. Bell, Thomas, Huntly. Hill, Edwin Ernest, Dobson. Padfield, Charles, Rotowaro. Berry, A. H., Huntly. Hodge, William, Pukemiro. Parfitt, William, Millerton. Bird, Christopher, Rotowaro. Honey, A. J., Burnett's Face. Pendleton, Samuel, Blackball. Black, David Livingstone, Pukemiro. Hughes, T. G., Huntly. Phillips, J., Tarat.u. Blair, Robert, Glen Massey. Hunter, Peter, Stockton. Pfeffer, Joseph Edward, Millerton. Boddy, A. J., Rewanui. Jack, W., Millerton. Powell, Isaac, Rewamii. Brady, George, Blackball. Johnson, Edward, Pukemiro. Ramsden, John, Kaitangata. Brennan, John, Kaitangata. Johnston, C. M., Seddonville. Rennie, John, Millerton. Brown, Charles Henry, Denniston. Johnston, William, Pukemiro. Richardson, Ernest, Kaitangata. Brownlie, William Aitken, Denniston. Jones, Ernest George, Millerton. Richardson, William, Taylorville. Buist, Charles David, Roa. Jones, Harry, Kimihia. Rogers, James, Ngakawau. Burleigh, James Barr, Orepuki. Kennedy, Ernest William, Runanga. Sharpe, John Russell, Taratu. Burnie, William, Glen Massey. Kerry, Edward, Huntly. Shearer, William, Glen Afton. Butler, William, Denniston. King, T. H., Granity. Shedden, Robert M„ Nightcaps. Bullough, Ernest, Rotowaro. Leonard, James William, Huntly. Smith, Albert, Denniston. Cain, A., Kaitangata. Longstaff, Robert, Ngaruawahia. Smith, Frederick, Rotowaro. Carson, F., Kaitangata. Lowden, William, Millerton. Smith, Joseph, Denniston. Chippendale, John, Westport. Maguigan, Thomas, Roa. Strongman, C. J., Cobden. Clark, W. S., State Collieries. Maher, William, Denniston. Sweeney, J. L., State Colleries. Coan, Ralph Charles, Huntly. Makinson, J.. Huntly. Tennant, Alexander, Blackball. Coppersmith, Edward, Denniston. Mann, John Henry, Dunollie. Tansey, Michael Joseph, Tartown, HikuCrump, Robert, Huntly. McCormiok, Thomas, Blackball. rangi. Curran, Valentine, Pukemiro. McDonald, Thomas, Ngakawau. Taylor, John Ralph, Roa. Curran, John William, Huntly. McDonald, Robert, Milton. Thomson, David 8., Huntly. Doel, Alfred James, Hikurangi. Mcllwain. John, Denniston. Thomson, James, Huntly. Downes, William Norbury, Runanga. Mclvor, I)., Runanga. Tucker, J., Kaitangata. Dowgray, John, Granity. McKernan, John, Millerton. Tunstall, Adam Gray, Hikurangi. Duffy, F., Burnett's Face. McLean, Archibald Kennedy, Kai- Tunstall, William, Hikurangi. Duggan, John, Runanga. tangata. Turnbull, E. V., Thames. Dunn, Samuel, Pukemiro. McLean, Malcolm, Granity Turner, Alfred, Kiiipaka. Dymond, John, Mine Creek. McLeod, J. G., Millerton. Turton, J., Huntly. Eekersley, William Hampson, Roa. McLiskey, Edward Kemp, Pukemiro. Tyson, Isaac, Runanga. Fenton, John William, Kaitangata. McLuekie, John, Huntly. Waters, Thomas Edwin, Shag Point. Fleming, Gavin, Pukemiro. McMillan, John, Taupiri. • Weatherspoon, Peter, Huntly. Fleming, Robert, Glen Afton. Mercer, James, Burnett's Face. White, Edward ,Ngaruawahia. Foot, Sydney George, Hikurangi. Monaghan, Henry, Millerton. Whittlestone, G. F., Abbotsford. Forsyth, Matthew, Denniston. Morris, Harry, Burnett's Face. Williamson, W. R., Rewanui. Fowler, Murray, Blackball. Morganty, L., Stockton. Woods, Albert, Granity. Fox, Sidney Arthur, Denniston. Mosley, J. T., Denniston. Wright, Thomas, Huntly. Gilbert, George, Millerton. Mossop, Isaac, Runanga. Wykes, Alfred, Huntly. Certificates of Service issued' under the Goal-mints Amendment Act, 1910. Beardsmore, E., Denniston. Jones, David, Nightcaps. Mason, Edward, Kingston Crossing. Cuthbertson, Robert, Fairfield. Jones, Morris, Nightcaps. Mitchell, Alexander, Runanga. Evans, William, Abbotsford. Jones, W., Waikaka Valley. Neill, S., Kawakawa. Fisher, T., Westport. Kitto, Richard, Kaitangata. Newburn, S., Kaitangata. Gibson, M., Abbotsford. Manderson, P., Runanga. Statham, Robert, Kaitangata. Hadcroft, J., Runanga. Mann, D., Granity. Walker, J. R., Brighton. Hunt, W., Shag Point. Issued under the Coal-mines Amendment Act, 1914, on Production of Certificate of Corresponding Class granted, in any British Possession or Foreign Country. Beal, George Frederick, Runanga. Martin. Elias, Ngakawau. Middleton, Robert, R unanga. Lees, Andrew, Huntly. Firemen and Deputies' Certificates. Certificates of Service issued under the Goal-mines Amendment Act, 1909. Aitken, George, Glentunnel. Cowan, Robert Black, Gibbston. Gray, Thomas, Abbotsford. Allan, A. George, Abbotsford. Cuthbertson, Robert, Fairfield. Gribben, John, Kaitangata. Allan, Charles, Brunnerton. Davis, Evan, Denniston. Hadcroft, James, Runanga. Beardsmore, Edward, Denniston. Deeming, William, Hikurangi. Hamilton, John, Hikurangi. Berry, Albert Henry, Huntly. Dellaway, Archibald, Denniston. Hargreaves, Charles, Millerton. Blaney, James, sen.., Kaitangata. Dickson, Richard, Hikurangi. Harris, John, Reefton. Boyd, Robert, Waronui. Dillon, Lawrence M., Nightcaps. Hartley, John, Denniston. Bradley, Robert, Denniston. Duncan, Frank, Huntly. Hay, James, Denniston. Buchols, Joseph, Waikaka. Duncan. Hugh, Kaitangata. Heron, Ralph, Kimihia. Burgess, William Charles E., Gore. Evans, William, Abbotsford. Higgins, Thomas James, Denniston. Callaghan, Frederick, Kiripaka. Findlay, Charles, Denniston. Hislop, William, Denniston. Campbell, Samuel, Millerton. Foot, Frederick Ernest, Denniston. Holden, Samuel, Granity. Chamley, William, Millerton. Gibson, Matthew, Abbotsford. Housley, Benjamin, Huntly. Clausen, Emil P., Wellington. Gibson, Robert, Millerton. Howe, George Charles, Shag Point. » Connelly, Michael, Denniston. Gilmour, William, Millerton. Jarvie, William Marshall. Kaitangata, Connew, John, Puponga. Glover, Richard, Runanga. Jaspers, George F., Denniston. Coppersmith, John, Denniston.

67

C.—2

Firemen and Deputies' Certificates—continued Certificates uf Service issued under the Goal-mines Amendment Act, 190!)— continued; Jenkins, James, Ngakawau. McCaffrey, James, Seddonville. Sanderson, John, Kurow. Johnston, C. Mountier, Seddonville, McCaughern, John, Kaitangata. Scott, John, Runanga. Jones, David, Nightcaps. McDonald, John T„ Millerton. Smith, William, Seddonville. Kaye, Charles, Runanga. McGhee, William, Kaitangata. Sneddon, James, Blackball. Kitto, Richard, Kaitangata. McGill, Douglas Thomas, Waikaka. Statham, Robert, Kaitangata. Leeming, J. T., South Malvern. McGill, John, Huntly. Taylor, David, Roa. Lutton, William, Millerton. McKenzie, James, Nightcaps. Taylor, James, Springfield. Mann, Duncan, Millerton. Newburn, Robert, Kaitangata. Thin, William, White Cliffs. Mason, William, Denniston. Newburn, Samuel, Kaitangata. Tripp, Albert, Kaitangata. Mears, Andrew David, Runanga. Nicholas, William, Kaitangata. Wallace, John, Mataura. Moncrieff, Thomas, Nightcaps. Oliver, William, Kaitangata. Wardrope, Francis, Hikurangi. Moore, Thomas, Mangatini. Pared]. Henry Clyde, Bannockburn. Watson, Andrew, Roa. Morganty, Charles, Ngakawau. Park, Francis, Stirling. West, George Thomas, Waronui. Murdoch, Colin McColl, Stirling. Penman, Robert, Kaitangata. Young, Thomas Gardner, Waikaia. tssued under the Coal-mines Amendment Act, 1909, and the Coal-mines Act, 1925, after Examination. Abbott, Edward Arthur, Millerton. Clark. W. S., Dunollie. Ferguson, William, Wairaki. Abercrombie, William, Huntly. Clarke, John, Millerton. Finlayson, Robert, Millerton. Allison, David, Huntly. Clarke, S., Roa. Fleming, Robert Barclay, Denniston. Allison, John, Pukemiro. Cleveland, F. L., Kaitangata. Fleming, Robert, Glen Afton. Allan, George, Huntly. Cole, Walter G., Glen Afton. Fleming, Gavin, Pukemiro. Allan, James, Brunnerton. Colquboun, John C., Rotowaro. Foot, Sidney George, Hikurangi. Anderson, David Alexander, Kaitan- Colledge, A., Huntly. Ford, John, Dobson. gata. Colliga.n, Andrew, Nightcaps. Forrest, John, Runanga. Anderson, Walter, Blackball. Connolly, John Joseph, Runanga. Fowler, Murray, Blackball. Armstrong, V., Runanga. Connolly, John, Runanga. Freeman, Samuel Lawrence, NightAstbury, Harold, Huntly. Coppersmith, Edward, Denniston. caps. Atkin, William, Waikokowai. Cooper, J. J., Milton. Frew, W., Huntly. Atkinson, J., Puponga. Cosgriff, Edward, Nightcaps. Gage, Thomas, Kaitangata. Baker, Thomas, Huntly. Cowan, J., Millerton. Gaudion, David Robertson, Waikaia. Ball, A., Kimihia. Cowan, William, Millerton. Gavin, Hugh, Huntly. Barber, Robert, Shag Point. Craig, James, Waimate. Gordon, George William, Huntly. Barclay, F., Kaitangata. Crook, Henry, Rotowaro. Gore, Robert, Runanga. Barclay, William, Kaitangata. Cruikshank, P. G., Runanga. Gould, Edward, Denniston. Barker, Richard, Runanga. Crump, Robert, Huntly. Gox, Henry John, Blackball. Beardsmore, Abel, jun., Papakaio. Cumming, George, Denniston. Gilligan, H., Runanga. Beattie, George V., Nightcaps. Cunningham, Joseph, Hikurangi. Gilmour, George, Millerton. Bell, Thomas, Huntly. Curragh, A., Burnett's Face. Green, Albert, Pukemiro. Bennett, Thomas, Burnett's Face. Curran, Valentine, Pukemiro Junction. Green, George Edward, Huntly. Birchall, J., Burnett's Face. Curran, John William, Huntly. Green, T., Kaitangata. Bird, Robert William, Ohai. Curran, James, Ngakawau. Grimshaw, Thomas, Star Town, Huntly. Bird, Christopher, Huntly. Currie, Thomas H., Runanga. Griffiths, Horace, Brunnerton. Blair, Robert, Glen Massey. ' Curtis, Cecil Donald, Reefton. Griffiths, William, Runanga. Blair, Peter, Huntly. Cuthbertson, John, Glentunnel. Griffen, James, Kaitangata. Boddy, Archibald John, Runanga. Dalzell, Joseph, Runanga. Groom, George, Huntly. Bolger, John, Mataura. Dando, Walter, Brunnerton. Hale, Edmund, Granity. Bond, W. T., Huntly. Danks, Peter, Millerton. Hale, J., Kaitangata. Bougher, Lawrence Wilfred, Kamo. Davidson, James, Blackball. Hall, R. H., Huntly. Bowron, Christopher, Huntly. Davidson, Thomas, Mine Creek. Hall, Thomas, Kaitangata. Boyd, James Langwell, Huntly. Davi.es, F., Puponga. Halliday, Thomas, Dunollie. Brady, George Joseph, Blackball. Davies, Henry Hubert, Huntly. Hallinan, James Joseph, Brunnerton. Brady, William Richard, Roa. Davies, Llewellyn, Burnett's Face. Hamilton, James, Nightcaps. Braithwaite, Percy, Nightcaps. Davis, Oliver James, Runanga. Hannah, J., Glentunnel. Brennen, J., Kaitangata. Delaney, J. E., Puponga. Hardie, J., Millerton. Broadbent, Samuel, Huntly. Devlin, James, Roa. Harris, George S.. Mount Somers. Broadbent, Thomas, Huntly. Dick, Alexander Clark, Kaitangata. Harris, Thomas, Mount Somers. Brown, J., jun., Denniston. Dickson, John, Ngakawau. Harris, William, Mount Somers. Brownlie, Robert Aitken, Granity. Dillon, Joseph, Blackball. Harrison, William, Glen Afton. Brownlie, William Aitken, Dennis- Dinsdale, George, Rewanui. Harvey, D., Huntly. ton. Dixon, Andrew Cunningham, Wairio. Harvey, Joseph Shaw, Riccarton, East Bryson, John, Millerton. Dixon, Matthew, Nightcaps. Taieri. Buchanan, William, Millerton. Docherty, Edward, Rewanui. Hawkins, Joseph, Burnett's Face. Buist, Charles David, Roa. Docherty, John Edward, Nightcaps. Hendry, John, Millerton. Bullough, Ernest, Rotowaro. Doel, Alfred James, Hikurangi. Hewison, John, Reefton. Burdon, George, Denniston. Doel, Charles John, Hikurangi. Howard, Nathan, Runanga. Burnett, William, Reefton. Dove, John Thomas, Seddonville. Hicks, J. R., Kiripaka. Burnie, William, Glen Massey. Dover, William Niven, Ohai. Hill, A., Lovell's Flat. Burt, T., Huntly. Dowgray, John, Millerton. Hill, Alfred, Runanga. Butler, Samuel Arthur, Runanga. Downes, William Norbury, Cobden. Hill, E. E., Brunnerton. Byrne, Edward Francis, Granity. Duft'v, Owen, Burnett's Face. Hill, Henry Adamson, Huntly. Cairns, Adam, Kaitangata. Duggan, Francis, Runanga. Hill, Joseph, Milton. Colder, Thomas, Ngakawau. Duggan, John, Upper Rewanui. Hilton, Thomas, Denniston. Caldwell, Thomas, Blackball. Dunn, Samuel, Pukemiro. Hodge, William C., Pukemiro. Callaghan, M., Blackball. Dunlop, James, Green Island. Hogg, C., Blackball. Campbell, Archibald, Cobden. Durkin, Thomas, Millerton. Holland, Isaac, Huntly. Campbell, J. C., Glentunnel. Dutton, William, Rewanui. Hollows, W., Fairfield. Campbell, John, Allanholme Colliery, Dymond, J., Millerton. Holt, Thomas, Huntly. Waimate. Eaton, Robert, Kaitangata. Honey, Archibald John, Denniston. Cairuthers, Alexander Denton, Wa- Eckersley, W., Paparoa. Hopkinson, Joseph, Seddonville. ronui, Milton. Edge, Albert Henry, Waikaka. Howie, Archibald, Nightcaps. Carson, Frederick. Excell, Walter, Nightcaps. Howison, Christopher, Gladstone, SidChadwick, George, Blackball. ■ Fairhurst, R. W., Huntly. ing. Chadwick, A., Millerton. Fannigan, P., Ngakawau. Hughes, T. E., Huntly. Chapman, A. E.,'Kaitangata. Fazakerley, John, Stirling. Hunter, Albert Newman, Kaitangata. Chippendale, J., Millerton. Ferguson, A., Kaitangata. Ireland, Richard, Glen Afton. Clare, William, Pukemiro. Ferguson, Hugh, Nightcaps.

10 0.—2.

C.—2

68

E'iremen and Depoties' Certificates —continued. Issued under the Coal-mines Amendment Act, 1909, and tke Coal-mines Act, 1925, after Examination-^contmued. Isherwood, T., Runanga. Mercer, James, Burnett's Faoe. Rollerson, Edward Francis, Reefton. Jack, John, Kaitangata. Miles, B. C., Millerton. Hose, George, Pukemiro. James, E. V. P., Blackball. Milne, Charles, Kaitangata. Rose, Walter Albert, Rewanui. James, Isaac, Kaitangata. Mitchell, A., Seddonville. Ross, Alexander, Fairfield. Jenkins, William, St. Helens. Monaghan, Henry, Millerton. Rotch, Robert William, Orepuki. Johnson, •). H., Hikurangi. Moreland, S., Hikurangi. Rowse, J., Runanga. Johnson, Edward, Pukemiro. Morganti, Louis, Millerton. Russell, William, Ohai. Johnson, Frederick Richard, Hiku- Morrison, Alexander, Kaitangata. Huston, Edwin Walter, Hutitly. rangi Morris, Harry, Burnett's Face. Rutherford, John Yarrow, Dunollie. Johnson, Thomas, Huntly. Morrow, John, Kaitangata. Rutherford, W. R., Kaitangata. Johnston, William, Pukemiro. Mosley, J. T., Denniston. Scott, George R., Glen Afton. Johnstone, Thomas U., Huntly. Mossop, Isaac, Dunollie, Greymouth. Scott, James, Blackball. Jones, Ernest George, Millerton. Moseby, Edward, Nightcaps. Seddon, William, Huntly. Jones, Harry, Kimihia', Huntly. Moye, John Patrick, Denniston. Sharp, J. R., Kaitangata. Jones, William Isaac, Blackball. Mulholland, Robert McN,, Seddonville. Sharp, W T ilJiam Russell, Kaitangata. Jones, 8., Millerton. Murray, Thomas, Millerton. Shearer. William, Stockton. Jones, J., Hikurangi. Murphy, Francis William, Dunollie. Shore, W. M., Taratu. Jones, J., Kimihia. Myers, Richard, Millerton. Slack. Joseph, Darlington, Stockton. Jordan, Harry Leslie. Kaitangata. Nicholson, David, Huntly. Smith, Donald, Huntly. Kay, Fred, Huntly. Nicholson, J., State Collieries. Smith, Fred, Rotowaro. Keating, Edward, Dobson. Niven, James Quinn, Ngakawau. Smith, George, Hikurangi. Kerr, David, Green Island. Niven, Peter, Ngakawau. Smith, Harold, Millerton. Kerry, E., Huntly. Nuttall, John, Blackball. Smith, J. A., Seddonville. King, Michael Percival, Millerton. Oakley, Frank John, Runanga. Smith, Joseph, Denniston. King, Thomas Henry, Granity. O'Brien, Denis Quinsin, Millerton. Smith, Joseph William, Denniston. Kinson, Brinley, Huntly. O'Brien, Martin, Millerton. Smith, Thomas W., Millerton. Kinzett, Leonard Phipps, Roa. O'Donnell, Alphonsus, Roa. Smith, W. A., Denniston. Kyle, James, Kaitangata. O'Fee, J., Kaitangata. Smith, Wilfred, Millerton. Kyle, William, Nightcaps. Oldham, Joshua, Burnett's Face. Smillie, John H., Albury. Kyle, William, Kaitangata. Oliver, R., Kaitangata. Smylie, Thomas, Roa. Lancaster, Herbert, Puponga. Openshaw, Arnold, Blackball. Snedden, Thomas, Blackball. Lauder, Matt Currie, Runanga. Orr, Charles M., Ohai. Snedden, William Patterson, KaitanLees, Gavin Russell, Glen Massey. Orr, John 8., Hikurangi. gata. Lees, Robert, Glen Massey. O'Loughlin, Leo F., Runanga. Snell, J., Kaitangata. Leech, Richard, Runanga. Padfield, Charles, Huntly. Snowdon, W., Kaitangata. Lewis, 1., Puponga. Page, William, Dunollie. Southward. William, Runanga. Leitch., Robert, Blackball. Parfitt, William, Millerton. Spence, John Gibson Henderson, Leishman, Robert, Kaitangata. Parker, Andrew, Greymouth. Huntly. Leonard, John Patrick, Granity. Parr, Joseph. Burnett's Face. Steele, John, Preston Road, Greymouth, Lidbury, Charles Henry, Millerton. Parrott, W., Waiuta. Steele, Reginald, Huntly. Little, George, Runanga. Paul, James, Seddonville. Strongman, Charles James, Cobden. Longstaff, Robert, Roa. Patterson, James William, Reefton. Summers, William, Pukemiro. Long, Arthur Feltham, Hikurangi. Payne, Edwin, Kaitangata. Sutherland, J., Millerton. Lowden, W., Millerton. Peart, Frederick Smith, Millerton. Sutton, George Walker Dudley, MillerMackie, David Wardrop, Pukemiro. Pearson, James Thomas, Mataura. ton. Mackie, J., Kaitangata. Pearson, Samuel G., Burnett's Face. Sutton, John, Kaitangata. Mackinson, Job, Hikurangi. Pendleton, S.. Blackball. Sweeney, John Lewis, Runanga. Maddison, W., Huntly. Peterson, Nicholas, Blackball. Tansey, Michael Joseph, Kaitangata. Maguigan, Thomas, Roa. Pfeffer, Joseph Edward, Millerton. Tate, Anthony, Seddonville. Magee, Peter Lawrence, Kaitangata. Phillips, J., Puponga. Taylor, Christopher, Millerton. Makepeace, Henry, Runanga. Phillips, James, Nightcaps. Taylor, John Ralph, Roa. Manderson, Archibald, Mosgiel June- Philp, Thomas, Denniston. Teasdale, George William, Runanga. tion. Pollock, Archibald, Whangarei. Tennant, Alexander, Blackball. Mann, John Henry, Dunollie. Pollock, John, Denniston. Tennent, Henry Francis, Kaitangata. Mann, John, Mangatina. Ponton, F.. Millerton. Thawley, William, Denniston. Mann, William, Birchfield. Powell, 1., Dunollie. Thompson, Abel George, Kaitangata. Marshall, James, Nightcaps. Prendeville, Antonio Valli, Nightcaps. Thompson, James, jun., Kaitangata. Martin, Charles Richard, Stockton. Pratt, Alexander, Millerton. Thomson, J., Huntly. Martin, T. N., Huntly. Prosser, Arthur, Millerton. Thomson, Thomas, Mine Creek. McAuley, P., Ngakawau. Prosser, Frederick Oliver, Millerton. Thomson, Thomas, Nightcaps. McAvoy, William, Ngakawau. Purdie, Thomas Henry, Rotowaro. Throp, J.. Kaitangata. MeCaw, John, Kaitangata. Quinlan, Thomas, Huntly. Timms, H.. Huntly. McCallum, Andrew, Huntly. Quinn, Thomas, Seddonville. Tomasi, John, Seddonville. McCallum, John, Blackball. Rafferty, William, Runanga. Tunstall, A. G., Hikurangi. McCormick, Thomas, Blackball. Ralph, J„ Huntly. Tunstall, W., Hikurangi. McDonald, J., Ngakawau. Ramsay, J. McK., Kaitangata. Turner, F., Kiripaka. McDonald, Thomas, Burnett's Face. Rarity, Alexander C., Hikurangi. Turner, George, Reefton. McEwen, Harold Wallace, Stockton. Ratcliffe, John Thomas, Kaitangata. Turner, William James, Denniston. McGovern, R., Wairio. Rayner, Frank, Pukemiro. Turton, John, Huntly. McGuinness, E., Runanga. Reed, W. H., Hikurangi. Tyler, Ivor Llewellyn, Ngakawau. McGhie, George, Huntly. Rees, David John, Stockton. Tyson, Isaac, Runanga. McGhee, David, Granity. Reid, Henry, Millerton. Unwin, James, Runanga. Mcllwain, John, Denniston. lieid, Henry, Huntly. Vaughan, John, Blackball. Mclntyre, William H., Millerton. Reid, Samuel, Nightcaps. Veitch, IX, Blackball. Mclvor, David, Runanga. Richardson, Ernest, Kaitangata. Vurlow, Frederick Alexander, DenMcKenty, H., Denniston. Richardson, W., Dunollie, niston. McKernan, John, Millerton. Richmond, William, Runanga. Walker, Joseph, Mangatina. McLaughlin, J. W.. Huntly. Riggans, William M., Huntly. Walker, John, Pukemiro. McLean, Archibald Kennedy, Kai- Robson, W., State Collieries. Walker, W. J., Granity. tangata. Robertson, John, Runanga. Walls, James, Benhar. McLiskey, Edward Kemp, Pukemiro. Robertson, William, Runanga. Wallwork, Moses, Runanga. McMillan, John, Huntly. Rodgers, J., Huntly. Wall, Thomas, Mangatina. McMillan, John, Kaitangata. Rodgers, J., Ngakawau. Warne, John, Denniston. McMillan, R., Kaitangata. Rodgers, William, Granity. Waters, Thomas Edwin, Shag Point. McVie, Robert, Kaitangata. Rogers, A. G., Kaitangata. Watson, William T., Burnett's Face. Mee, Albert, Kaitangata. Rogers, Sidney, Kaitangata. Waugh, Robert, Huntly. Meekums, George, Glen Afton. Roe, James, Glen Afton. Wear, Daniel, Huntly.

C.—2

Firemen and Deputies' Certificates —continued. Issued under the Goal-mines Amendment Act, 1909, and the Coal-mines Act, 1925, after Examination—continued. Webster, Oliver, Huntly. Wilson, Thomas Laird, Stockton. Wood, W., Huntly. White, Edward, Granity. Wilson, Vernon, Kaitangata. Woods, A., Millerton. Whittle, George Handford, Granity. Williams, Benjamin John, Blackball. Worthington, T., Millerton. Wilcox. William, Pukemiro. Williams, Joseph Henry, Blackball. Wright, Richard C. D., Brighton. Wilson, Andrew, Blackball. Williamson, W. R., Rewanui. Wyse, A., Blackball. Wilson, J. T., Kamo. Wilkinson, Herbert, Pukemiro. Young, John, Glen Massey. Wilson, James Erie, Stockton. Wolstenholme, Frederick, Blackball. Young, Thomas, Granity. Wilson, Sidney Robert, Kaitangata. Certificates of Service issued under the Coal-mines Amendment Act, 1910. Broadfoot, W., Millerton. Halsey, W. J., Saddle Hill. Mcintosh, A. S., Shag Point. Burgess, R. S., Waikaka. Hartshorne, W. C., Brunnerton. Mclvor. W., Waikaka. Cain, Alexander, Waikaia. Hodgetts, 1., Burnett's Face. Nelson, J. H., Pukerau. Cameron, D., North Chatton. Junker, F. A., Waikaia. Ramsey, George, Waikaka. Churchill, S. G., Alexandra South. Kidd, G. C., Albury. Robinson, R., Ngakawau. Clasen, Charles, Shag Point. King, J., Granity. Russell, H. C.. Bannockburu. Crabbe, George, Alexandra South. Lee, S., Nightcaps. Saunders, W., Denniston. Cumining, J. S., Denniston. Mackie, N., Kaitangata. Stevenson, J., Shag Point. Dixon, A., Nightcaps. McAuley, John, Kaitangata. Thomas, 8., Denniston. Garrey, W., Kaitangata. McClimont, John, Mount Somers. Tinker, G.. Nightcaps. Gray, Hugh, Dunedin. McDowell, R., Nightcaps. Whittlestone, G. F., Abbotsford. Issued under the Coal-mines Amendment Act, 1914, on Production of Certificate of Corresponding Class granted in any British Possession or Foreign Country. Barr, T., Coalgate. Davies, W. C., Huntly. Quinlan, A. E., . Coan, R., Huntly. Malcolm, A., Nightcaps. Tucker, J., Kaitangata.

Approximate Cost of Paper.—Preparation, not given; printing (710 copies), £110

Authority : W. A. G. Skinner, Government Printer, Wellington.- 11)27.

Price Is. (id.\

69

This report text was automatically generated and may include errors. View the full page to see report in its original form.I whakaputaina aunoatia ēnei kuputuhi pūrongo, e kitea ai pea ētahi hapa i roto. Tirohia te whārangi katoa kia kitea te āhuatanga taketake o te pūrongo.
Permanent link to this item
Hononga pūmau ki tēnei tūemi

https://paperspast.natlib.govt.nz/parliamentary/AJHR1927-I.2.2.2.3

Bibliographic details
Ngā taipitopito pukapuka

MINES STATEMENT BY THE HON. G. J. ANDERSON, MINISTER OF MINES., Appendix to the Journals of the House of Representatives, 1927 Session I, C-02

Word count
Tapeke kupu
60,405

MINES STATEMENT BY THE HON. G. J. ANDERSON, MINISTER OF MINES. Appendix to the Journals of the House of Representatives, 1927 Session I, C-02

MINES STATEMENT BY THE HON. G. J. ANDERSON, MINISTER OF MINES. Appendix to the Journals of the House of Representatives, 1927 Session I, C-02

Log in or create a Papers Past website account

Use your Papers Past website account to correct newspaper text.

By creating and using this account you agree to our terms of use.

Log in with RealMe®

If you’ve used a RealMe login somewhere else, you can use it here too. If you don’t already have a username and password, just click Log in and you can choose to create one.


Log in again to continue your work

Your session has expired.

Log in again with RealMe®


Alert