Page image
Page image

11

C. -2

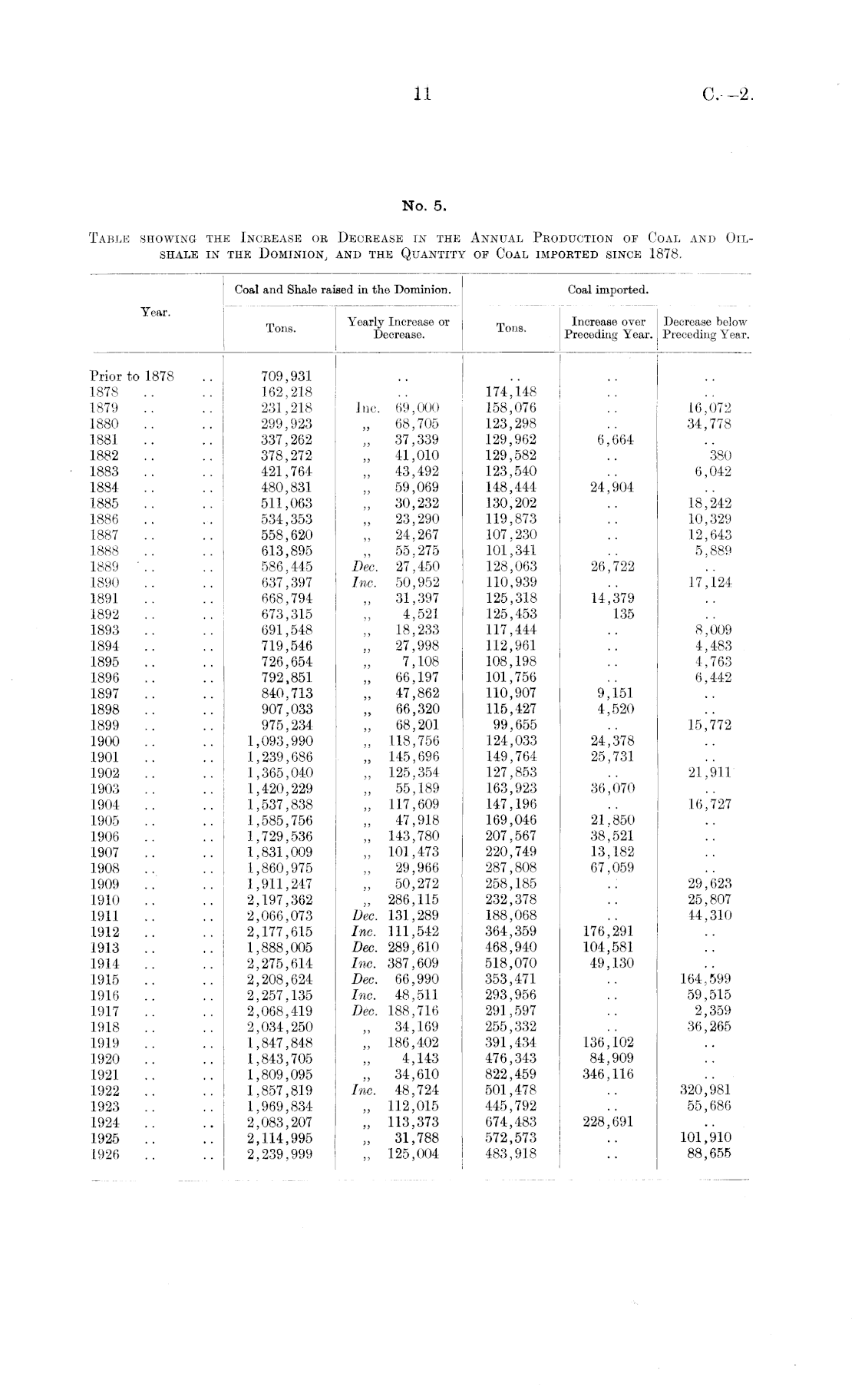
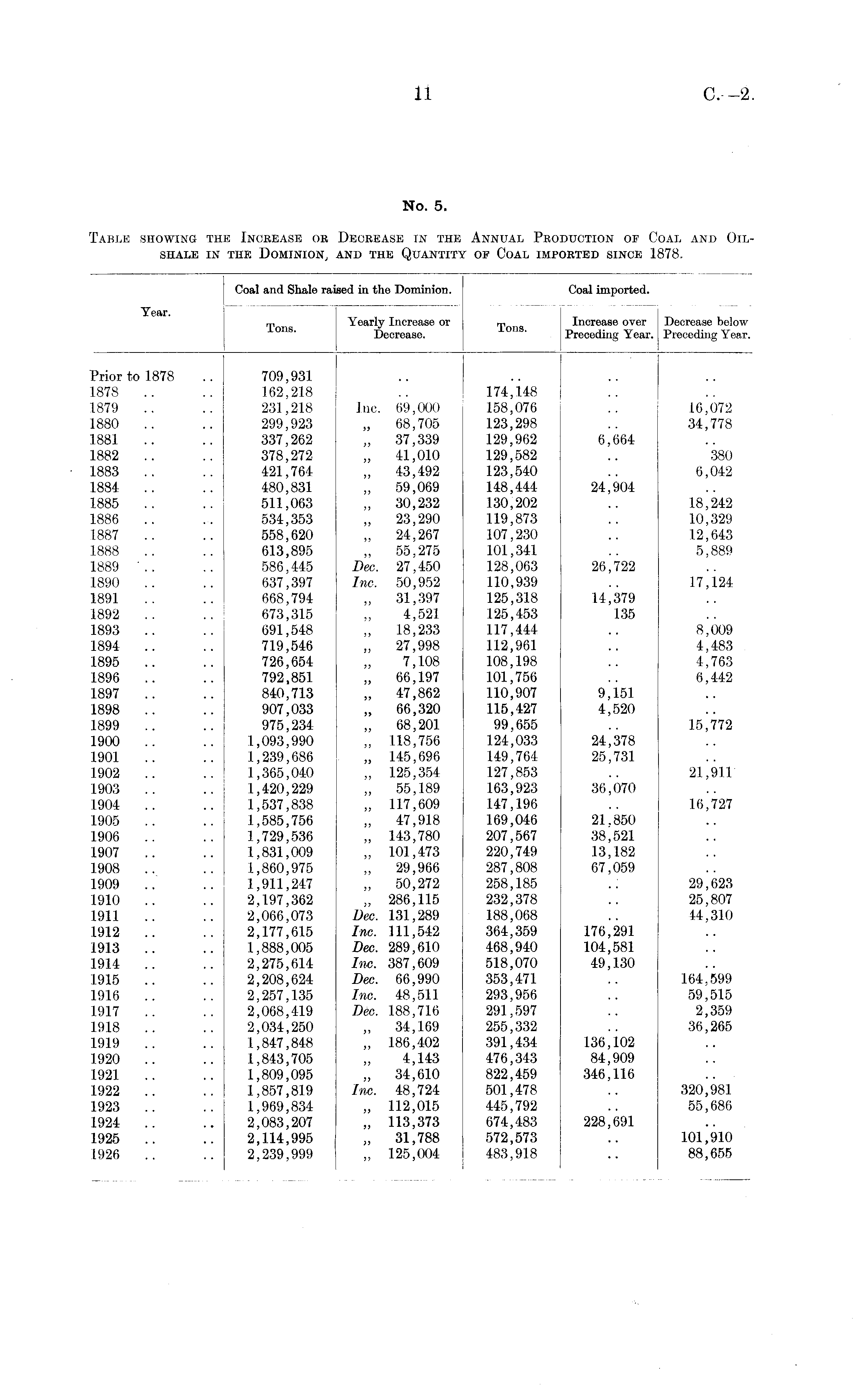
No. 5. Table showing the Increase or Decrease in the Annual Production of Coal and Oilshale in the Dominion, and the Quantity of Coal imported since 1878.

Coal and Shale raised in the Dominion. Coal imported. Year. m Yearly Increase or T Increase over Decrease below Decrease. n ' Preceding Year. Preceding Year. Prior to 1878 .. 709,931 1878 .. .. 162,218 .. 174,148 1879 .. .. 231,218 Inc. 69,000 158,076 .. 16,072 1880 .. .. 299,923 „ 68,705 123,298 .. 34,778 1881 .. .. 337,262 „ 37,339 129,962 6,664 1882 .. .. 378,272 „ 41,010 129,582 .. 380 1883 .. .. 421,764 „ 43,492 123,540 .. 6,042 1884 .. .. 480,831 „ 59,069 148,444 24,904 1885 .. .. 511,063 „ 30,232 130,202 .. 18,242 1886 .. .. 534,353 „ 23,290 119,873 .. 10,329 1887 .. .. 558,620 „ 24,267 107,230 .. 12,643 1888 .. .. 613,895 „ 55,275 101,341 .. 5,889 1889 '.. .. 586,445 Dec. 27,450 128,063 26,722 1890 .. .. 637,397 Inc. 50,952 110,939 .. 17,124 1891 .. .. 668,794 „ 31,397 125,318 14,379 1892 .. .. 673,315 „ 4,521 125,453 135 1893 .. .. 691,548 „ 18,233 117,444 .. 8,009 1894 .. .. 719,546 „ 27,998 112,961 .. 4,483 1895 .. .. 726,654 „ 7,108 108,198 .. 4,763 1896 .. .. 792,851 „ 66,197 101,756 .. 6,442 1897 .. .. 840,713 „ 47,862 110,907 9,151 1898 .. .. 907,033 „ 66,320 115,427 4,520 1899 .. .. 975,234 „ 68,201 99,655 .. 15,772 1900 .. .. 1,093,990 „ 118,756 124,033 24,378 1901 .. .. 1,239,686 „ 145,696 149,764 25,731 1902 .. .. 1,365,040 „ 125,354 127,853 .. 21,911 1903 .. .. 1,420,229 „ 55,189 163,923 36,070 1904 .. .. 1,537,838 „ 117,609 147,196 .. 16,727 1905 .. .. 1,585,756 „ 47,918 169,046 21.850 1906 .. .. 1,729,536 „ 143,780 207,567 38,521 1907 .. .. 1,831,009 „ 101,473 220,749 13,182 1908 .. .. 1,860,975 „ 29,966 287,808 67,059 1909 .. .. 1,911,247 „ 50,272 258,185 .. 29,623 1910 .. .. 2.197,362 „ 286,115 232,378 .. 25,807 1911 .. .. 2,066,073 Dec. 131,289 188,068 .. 44,310 1912 .. .. 2,177,615 Inc. 111,542 364,359 176,291 1913 .. .. 1,888,005 Dec. 289,610 468,940 104,581 1914 .. .. 2,275,614 Inc. 387,609 518,070 49,130 1915 .. .. 2,208,624 Dec. 66,990 353,471 .. 164,599 1916 .. .. 2,257,135 Inc. 48,511 293,956 .. 59,515 1917 .. .. 2,068,419 Dec. 188,716 291,597 .. 2,359 1918 .. .. 2,034,250 „ 34,169 255,332 .. 36,265 1919 .. .. 1,847,848 „ 186,402 391,434 136,102 1920 .. .. 1,843,705 „ 4,143 476,343 84,909 1921 .. .. 1,809,095 „ 34,610 822,459 346,116 1922 .. .. 1,857,819 Inc. 48,724 501,478 .. 320,981 1923 .. .. 1,969,834 „ 112,015 445,792 .. 55,686 1924 .. .. 2,083,207 „ 113,373 674,483 228,691 1925 .. .. 2,114,995 , „ 31,788 572,573 .. 101,910 1926 .. .. 2,239,999 „ 125,004 483,918 .. 88,655

Log in or create a Papers Past website account

Use your Papers Past website account to correct newspaper text.

By creating and using this account you agree to our terms of use.

Log in with RealMe®

If you’ve used a RealMe login somewhere else, you can use it here too. If you don’t already have a username and password, just click Log in and you can choose to create one.


Log in again to continue your work

Your session has expired.

Log in again with RealMe®


Alert